王敏1, 武兵1, 王娟2
(1.太原理工大学 机械工程学院, 山西 太原 030024;2.合肥天鹅制冷科技有限公司, 安徽 合肥 230000)
摘要:以提升机制动系统制动力不足故障作为具体研究对象,分析了提升机制动系统可靠度函数模型;通过相关性分析得出制动力不足故障的故障链,结合独立故障率和相关系数计算了考虑相关性的总故障率;分析了考虑相关性和不考虑相关性2种情况下的制动力不足故障间隔时间分布,线性拟合结果表明,考虑相关性的制动力不足故障间隔时间分布更符合威布尔分布模型。实验结果表明,故障率理论值与实际值的误差范围为1.33%~3.25%,验证了可靠度函数模型的正确性。
关键词:提升机; 制动系统; 可靠性; 相关性; 故障率; 威布尔分布模型
矿井提升机是集机械传动、电气系统、液压系统及润滑系统等为一体的复杂机械。其中制动系统是提升机最后也是最关键的一道安全保障。目前研究的提升机制动系统相关故障[1]一般只限于3种:共因失效、连锁失效和负相关失效。其中共因失效和连锁失效增加了子系统的实际故障率,而负相关失效则可起到保护子系统的作用,降低了系统的故障率。通过大量的数据统计分析发现,机械设备中存在另外一种相关故障形式,即相互干扰故障。设备相互干扰的影响有时候非常严重,会对系统造成不可估量的破坏。
制动系统主要由液压站和盘形制动器组成。为了分析制动力不足故障,将液压站从制动系统分离出来,作为一个单一系统进行研究。由提升机自身运行特点可知,与制动系统发生直接关联的有液压站和润滑系统,研究其对制动系统的影响可以更精确地建立可靠度函数模型,分析故障发生规律,从而指导检修人员有针对性地检修。
本文从相关性角度出发,分析制动系统、液压站及润滑系统的相关作用,以提升机制动系统制动力不足故障作为具体研究对象,分析其故障链、故障率及故障间隔时间分布,得出故障累积分布函数和可靠度函数,并通过实验验证了可靠度函数模型的正确性。
确定检修标准可为可靠度函数模型的推导提供数据支撑。决策树归纳算法的关键思想是应用信息增益的方法来帮助确定生成每个节点时应采用的合适属性[2]。按照决策树归纳算法思想,结合某煤矿KSJ预警系统[3]的监测数据,对产生的决策树规则进行归纳,并确定以下标准。
制动系统检修标准:闸瓦间隙超过0.5 mm,视为故障。
液压站检修标准:制动油压大于2.6 MPa,视为故障。
润滑系统检修标准:润滑油压大于0.16 MPa,相应的轴瓦及滚筒温度范围超过33.7~41.56 ℃,视为故障。
2.1 可靠度函数模型
故障累积分布函数F(t)与故障率h(t)之间的关系[4]为
(1)
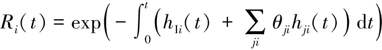
可靠度函数R(t)为
(2)
假设子系统的综合故障率与独立故障率之间的关系为
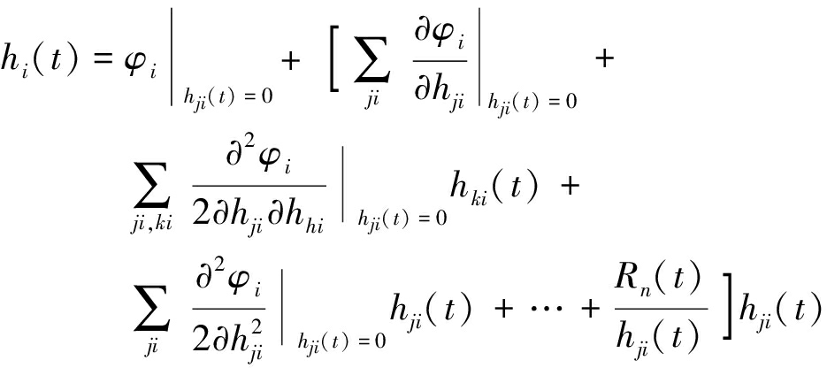
hi(t)=φi[hIi(t),hji(t),t]
(3)
式中:hi(t),hIi(t)分别为子系统i的综合故障率和独立故障率;φi为关系函数;hji(t)为对子系统i产生相关干扰的系统j的故障率;t为时间;i,j=1,2,…。
将式(3)作泰勒展开后整理可得

(4)
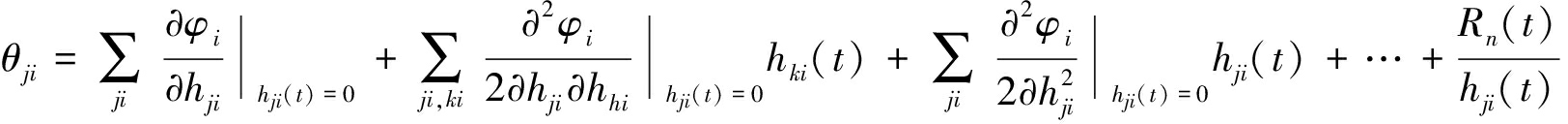
令式(4)方括号中的部分为θji,即
(5)
式中:θji为相关系数,表示系统j对系统i的作用程度;h,k,n=1,2,…。
对式(4)处理后可得
(6)
由上述分析可推导出故障累积分布函数和可靠度函数[5]:
(7)
(8)
2.2 故障链分析
根据决策试验和评价实验室(Decision Making Trialand Evaluation Laboratory, DEMATEL)方法将故障系统之间的联系归为5类:① 单向相关,作用方向为单向。② 双向相关,即作用方向为双向。③ 单个系统同时对多个系统有影响。④ 多个系统同时对单个系统有影响。⑤ 多系统复杂相关。
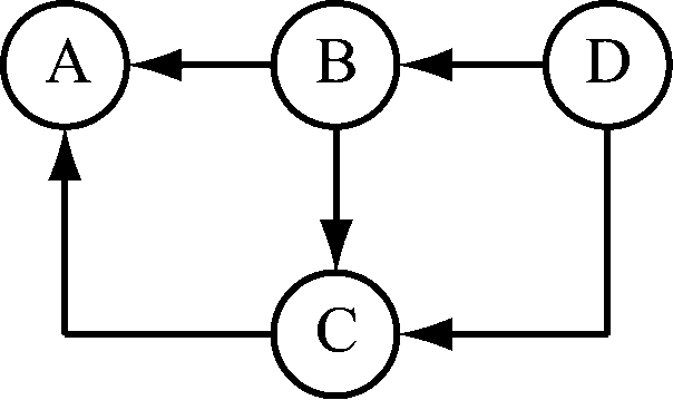
以提升机制动系统制动力不足作为具体故障研究对象,其故障链如图1所示。其中A表示制动系统,B表示液压站,C表示闸瓦间隙,D表示润滑系统 [6]。闸瓦间隙C可表征制动系统故障,因此,将其作为相关性连接桥梁。

图1 提升机制动系统制动力不足故障链
对2 a内KSJ系统采集的数据进行每日取均值、剔除不合理数据等处理,共得到200组检修记录。其中A,B,D单元检修数分别为88,28,84,则3个单元的检修率分别为 0.44,0.14,0.42。
对2 a内正常运行的记录以24 h为单位进行分组[7-8],即1 d的数据为1组,总监测数据为2×365=730组,则总的检修故障率为
的独立故障率分别为
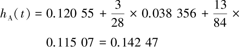
hIA=0.44×0.273 97=0.120 55
hIB=0.14×0.273 97=0.038 356
hID=0.42×0.273 97=0.115 07
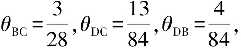
采用检修统计的方法求取提升机制动系统及直接相关系统的相关系数[9-10]。统计可得,制动油压过大时(≥2.6 MPa),闸瓦间隙超过0.5 mm的数据有3例,表示为B→C:3,同理可得D→C:13,D→B:4。相关系数为
则有[11-12]
(9)
式中:hB(t)为液压站总故障率;hIB(t)为液压站独立故障率;hDB(t)为润滑系统故障对液压站影响的故障率;hA(t)为制动力不足总故障率;hIC(t)为制动系统独立故障率;hBC,hDC分别为液压站、润滑系统影响制动系统产生的故障率[12]。
将相关系数及各单元的独立故障率代入式(9)可得

2.3 制动力不足故障间隔时间分布
通过故障数据的散点图和累积故障函数的散点图来判断制动力不足故障间隔时间分布模型。将730 d平均分为N组,组数由式(10)[1]确定。
N=1+3.3lg n
(10)
式中n为2 a内发生的制动力不足故障数。
若不考虑相关性,则n=88;若考虑相关性,则n=104。根据式(10)计算后,对结果取整得2种情况下的N值均为8。
不考虑相关性和考虑相关性2种情况下制动力不足故障的分组统计数据见表1和表2。
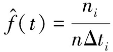
发生制动力不足故障的概率密度观察值[1]为
(11)
式中:ni为每组故障数;Δti为组间距,由于检修频率为1次/d,所以取Δti为1。
表1 不考虑相关性时的故障分组统计数据

表2 考虑相关性时的故障分组统计数据

以时间中值为[13]横坐标
为纵坐标绘制不考虑相关性和考虑相关性2种情况下制动力不足故障的概率密度曲线,如图2所示。

(a) 不考虑相关性

(b) 考虑相关性
图2 制动力不足故障概率密度曲线
当考虑其他系统对制动系统的影响时,概率密度曲线随着间隔时间的延长呈下降趋势。而作为概率密度函数的积分函数,经验分布函数曲线呈外凸形态,且没有拐点,所以初步判定提升机制动力不足故障间隔时间服从威布尔分布。假设故障从t=0时刻就开始,则为两参数威布尔分布。根据式(7)进行推导可得威布尔分布模型的故障累积分布函数为
(12)
对式(12)进行取对数变换得
(13)
式中:β为形状参数;α为尺度参数。
令
则式(13)可变换为y=A+Bx。将表1与表2的数据分别按照上述变换规则进行变换,并在Matlab中拟合,可得到不考虑相关性和考虑相关性2种情况下的威布尔概率图纸(Weibull Plotting Paper,WPP),如图3所示。WPP主要用于判断所建模型与威布尔分布模型的拟合情况,数据拟合线越接近直线,拟合效果越好。

(a) 不考虑相关性

(b) 考虑相关性
图3 威布尔概率图纸
从图3可以看出,考虑相关性的线性拟合性更好,更符合威布尔分布的特点。
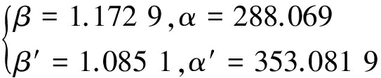
应用Matlab线性拟合可得
(14)

(15)

(16)

(17)
式中:β,β′分别为不考虑相关性和考虑相关性的形状参数;α,α′分别为不考虑相关性和考虑相关性的尺度参数;F(t),F′(t) 分别为不考虑相关性和考虑相关性的故障累积分布函数;R(t),R′(t) 分别为不考虑相关性和考虑相关性的可靠度函数;λ(t),λ′(t)分别为不考虑相关性和考虑相关性的故障率函数。
上述函数模型可定量呈现提升机制动力不足这一故障的分布特点,研究故障分布特点可作为参考来指导提升机的检修,甚至为故障预警[14]提供理论依据。
对提升机制动系统实验平台进行监测,运用LabVIEW设计采集界面,采集闸瓦间隙、制动油压、润滑油压等数据,并分别将数值0.5 mm,2.6 MPa,0.16 MPa作为预警值。在同样的工作条件及时间下,A,B,D三个单元的检修数分别为78,24,88,经统计计算可知,故障率与所建理论模型故障率的误差范围为1.33%~3.25%,验证了所建模型的正确性。
对提升机制动系统及对其有直接影响的液压站和润滑系统进行深入分析,建立了制动系统可靠度函数模型。应用故障链的作用方向建立起相关系数模型,并采用检修统计的方式计算出相关系数。分析得出,提升机制动力不足故障间隔分布基本符合威布尔分布模型,考虑相关性的WPP线性拟合效果比不考虑相关性的WPP线性拟合效果更好,因此,可将考虑相关性的可靠度函数和故障率函数作为提升机工况检修时的参考。
参考文献:
[1] 张英芝,吴茂坤,申桂香,等.基于DEMATEL/ISM的组合机床故障相关性分析[J].工业工程,2014,17(3):92-96.
[2] 刘涛,赵慧明.基于决策树的矿用提升机故障预警系统设计[J].计算机仿真,2012,29(9):228-231.
[3] 杨发长,寇子明.浅析KSJ型矿用大型固定设备监测预警系统[J].机械管理开发,2009,24(1):181-182.
[4] 李娟莉,杨兆建.提升机故障诊断不确定性推理方法[J].煤炭学报,2014,39(3):586-592.
[5] 栗志荣,高崎,刘慎洋,等.一种故障相关多单元系统可靠性分析[J].火力与指挥控制,2014,39(6):104-107.
[6] 赵德志.JK系列矿井提升机液压制动系统[J].中小企业管理与科技,2014(26):127-128.
[7] 魏永胜.基于计算机的矿井提升机监控系统研究[J].科技与企业,2014(3):110.
[8] 刘兵,张大方,段智勇,等.基于贪婪算法的系统级故障的概率诊断[J].电子学报,2004,32(8):1360-1363.
[9] 贾玉景,代颖军.矿井提升机盘式制动器设计[J].机床与液压,2014,42(10):57-58.
[10] 封士彩,朱松青.矿井提升机盘形闸制动失效分析[J].煤矿机电,2002(2):28-29.
[11] 杜雷,高建民,陈琨.基于故障相关性分析的可靠性配置[J].计算机集成制造系统,2011,17(9):1973-1980.
[12] 唐家银,王沁,何平,等.同时考虑故障相关和变故障率的可修系统可靠性计算[J].数学的实践与认识,2010,40(19):119-126.
[13] 高文科,张志胜,周一帆,等.存在故障相关及不完备检测的主辅并联系统可靠性建模与维修策略[J].自动化学报,2015,41(12):2100-2114.
[14] 李曼,公书华.网络化矿井提升机状态监测与故障报警系统[J].矿山机械,2011,39(3):40-44.
Reliability analysis of braking system of hoister considering relevance
WANG Min1, WU Bing1, WANG Juan2
(1.College of Mechanical Engineering, Taiyuan University of Technology, Taiyuan 030024, China; 2.Hefei Swan Refrigeration Technology Co., Ltd., Hefei 230000, China)
Abstract:Reliability function model of braking system of hoister was analyzed taking braking force failure as specific study object. Fault chain of the braking force failure was obtained by correlation analysis, and total failure rate considering relevance was calculated combined with independent failure rate and correlation coefficient. Time interval distributions of braking force failure in two cases of considering relevance and not considering relevance were analyzed, and linear fitting results show that the time interval distribution of braking force failure considering relevance is more consistent with Weibull distribution model. The experimental results show that the error range of theoretical and practical values of failure rate is 1.33%~3.25%, which verifies correctness of the reliability function model.
Key words:hoister; braking system; reliability; correlation; failure rate; Weibull distribution model
文章编号:1671-251X(2017)04-0041-05
DOI:10.13272/j.issn.1671-251x.2017.04.010
收稿日期:2016-10-27;
修回日期:2017-02-16;责任编辑:胡娴。
基金项目:山西省科技基础条件平台建设计划项目(2015091007)。
作者简介:王敏 (1990-),男,山西朔州人,硕士研究生,研究方向为机电系统动态测试与故障诊断,E-mail:905908137@qq.com。
中图分类号:TD534
文献标志码:A
网络出版:时间:2017-03-28 17:21
网络出版地址:http://kns.cnki.net/kcms/detail/32.1627.TP.20170328.1721.010.html
王敏,武兵,王娟.考虑相关性的提升机制动系统可靠性分析[J].工矿自动化,2017,43(4):41-45.