孙慧影1, 林中鹏1, 黄灿1, 陈鹏2
(1.山东科技大学 电气与自动化工程学院, 山东 青岛 266590;2.国网山东省电力公司检修公司, 山东 济南 250000)
摘要:针对矿用通风机故障与征兆对应关系复杂的特点,提出一种用动态适应布谷鸟搜索算法优化BP神经网络并进行故障诊断的方法。利用动态适应布谷鸟搜索算法的全局搜索能力,求解神经网络的最优初始参数;然后对BP神经网络进行学习训练,得到最终的故障诊断模型。实例分析结果表明,该方法能有效地进行矿用通风机故障诊断,且具有收敛速度快、精度高的特点,对测试样本的诊断准确率达到了92.5%。
关键词:矿用通风机; 故障诊断; 动态适应布谷鸟搜索算法; BP神经网络
矿用通风机是保障矿井作业安全进行的关键设备,全国的瓦斯爆炸事故中,70%~80%都是由通风系统故障导致,因此,对矿用通风机进行故障诊断具有重要意义[1-2]。
由于系统的复杂性和非线性,故障特征与故障类别并非一一对应,而且各类故障之间也存在着复杂的耦合关系[3]。目前研究最广泛的是基于神经网络的故障诊断方法,如文献[4]提出用BP神经网络进行矿用通风机故障诊断,文献[5]研究了将小波分析和BP人工神经网络融合的诊断方法。此外,还有模糊神经网络、概率神经网络、Elman神经网络等,但这些神经网络大多采用单一的传统单点式搜索算法,收敛较慢,诊断效率较差,且容易陷入局部极小值。文献[6-7]针对小样本情况提出了结合小波分析和支持向量机的诊断方法,但是泛化能力较差;文献[8]提出了一种基于改进证据理论信息融合的故障诊断方法。以上方法大多存在准确率较低、学习速度慢等缺陷。
针对以上问题,本文将文献[7]中提出的动态适应布谷鸟搜索(Dynamic Adaptation Cuckoo Search,DACS)算法引入BP神经网络中进行矿用通风机故障诊断。DACS算法能在寻优中动态调整算法参数,平衡局部搜索精度和搜索范围[9]。利用DACS算法的全局搜索能力和较快的搜索速度对BP神经网络进行优化,克服了单纯BP神经网络存在的收敛慢、易陷入局部极小值等缺陷。将优化的BP神经网络应用于矿用通风机故障诊断领域有一定的研究意义。
1.1 基本布谷鸟算法
基本布谷鸟算法由YANG Xinshe于2009年提出,其具有很强的全局搜索能力,且控制参数少,搜索速度快,不易陷入局部最优[10-11],比传统群体智能算法效率更高。
基本布谷鸟算法模拟布谷鸟寄生育雏的行为,首先需要设立3个规则:① 每只布谷鸟1次产1个卵,随机选取1个鸟巢。② 质量最高的鸟巢将被保留到下一代。③ 鸟巢总数固定,寄生卵被发现的概率为P,P∈(0,1),存在寄生卵的鸟巢将被舍弃,并随机建立新巢。
存算法中鸟巢代表问题的解,其总数记为N,每个鸟巢用D维向量Xi=(xi1,xi2,…,xiD)表示,i=1,2,…,N。算法用以下2种方式更新鸟巢:① 使用Levy飞行随机搜索机制更新鸟巢;② 通过固定概率P更新鸟巢。
1.1.1 鸟巢更新方式1
鸟巢更新公式为
⊗
⊗rn
(1)
式中
和
分别表示第t代和第t+1代的第i个鸟巢;α为步长因子;sL~LD(λ),LD(λ)为D维Levy分布;Xbest为历史最优解;rn~ND(0,1),ND(0,1)为D维正态分布。
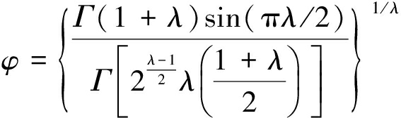
Levy飞行随机搜索机制比布朗随机运动更加有效,是一种最理想的搜索策略[12-13],为方便实现,根据文献[11]中的方法,将LD(λ)表示为
(2)
式中u,v服从标准正态分布,即
(3)

(4)
式中:Γ为标准gamma函数;1<λ≤3,一般取λ=1.5[12-13]。
由式(1)—式(4)得出新巢后,比较新旧鸟巢的目标函数值,若新巢更优,则更新鸟巢,否则不更新,即![]()
1.1.2 鸟巢更新方式2
鸟巢更新公式为
⊗H(P-ru)
(5)
式中
表示更新后的鸟巢;
和
表示第t代中随机选取的鸟巢;H(·)为Heaviside函数;ru~UD(0,1),UD(0,1)为定义在[0,1]上的均匀分布。
由式(5)求出新巢后,比较目标函数值,若新巢更优,则令
否则不变。
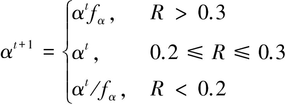
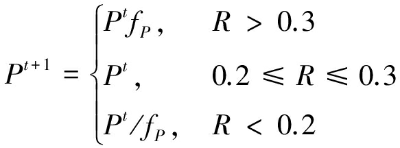
1.2 DACS算法
为进一步提高算法的搜索速度,平衡在解空间中的局部搜索精度和搜索范围,文献[7]对基本布谷鸟算法作出改进,提出DACS算法。在DACS算法中,每一代鸟巢替换后,对步长因子α和概率P进行调整,调整公式为

(6)

(7)
式中:fα为α的学习因子;R为鸟巢的改善率(所有鸟巢更新成功的比例),区间[0.2,0.3]为参考量;fP为发现概率的学习因子。
2.1 基本BP神经网络原理
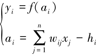
BP神经网络一般情况下分为输入层、隐含层和输出层,其学习过程分为信息正向传递和误差反向传递2个阶段,网络基本单元为神经元[14-15],其结构模型如图1所示。
根据模型,有

图1 神经元的结构模型

(8)
式中:yi为第i个神经元的输出;wij表示由神经元j到神经元i的连接权值,j=1,2,…,N;xj表示由神经元j到神经元i的输入;hi表示神经元i的阈值;f(·)为神经元的激发函数,本文采用Sigmoid函数,形式如下:
(9)
式中c为常数。
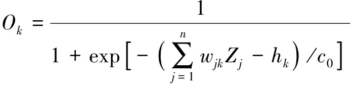
根据式(8)和式(9),得到第g个隐含层输出Zg、第k个输出层输出Ok分别为

(10)

(11)
式中:hg和hk分别为隐含层和输出层阈值;cZ,c0为常数;m,n分别为输入层和隐含层的神经元个数。
误差函数定义为
(12)
式中:E为误差均方和
为输出层输出的期望值。
输出层权值和隐含层权值的调整公式分别为
(13)
(14)
式中
为修正后的权值;Δwjk,Δwjg为权值修正量;η为学习速率。
2.2 BP神经网络优化流程
步骤1:初始化种群,设置步长控制因子和淘汰概率的初始值等参数。初始鸟巢可按下式生成:
Xi=Xmin+ζ(Xmax-Xmin)
(15)
式中:Xi为第i个初始鸟巢;Xmax和Xmin分别为种群个体上下界;ζ为随机数,ζ∈[0,1]。
步骤2:计算个体的目标函数值,求出最优鸟巢。
步骤3:通过式(1)产生新解,比较新旧鸟巢的目标函数值,保留质量更优的鸟巢。
步骤4:通过式(5)产生新解,比较目标函数值,保留质量更优的鸟巢,并选出当代全局最优解。
步骤5:计算种群改善率R,按照式(6)和式(7)调整下一代的步长因子和淘汰概率。
步骤6:若达到终止条件,结束学习,并记录最优解及目标函数值;否则返回步骤3。
步骤7:将步骤6输出的解作为BP神经网络的初始参数用于学习训练。
步骤8:用式(12)计算误差均方和E,若达到期望值则终止计算,否则进行下一步。
步骤9:根据式(13)和式(14)修正网络参数,返回步骤8重新计算。
3.1 神经网络拓扑结构的确定和样本数据选取
矿用通风机故障会引起振动频率变化,振动信号中含有反映其运行状态的信息,某一频段的信号可能预示着某一类或几类故障。本文把振动频率作为故障特征,通过分析振动频率进行故障诊断。
通过小波变换将频率分为7个故障特征频段(0~0.39f,0.4f~0.5f,0.51f~0.9f,f,2f,3f~5f,>5f),对应神经网络的7个输入层节点I1—I7,其中f为基频。矿用通风机常见故障主要有转子不平衡、不对中、基础松动、碰磨故障及叶片故障[5],其中转子不平衡和不对中占常见故障的70%,将这5类故障分别对应5个输出层节点O1—O5,神经网络结构如图2所示。

图2 神经网络拓扑结构
隐含层节点数l通过式(16)选取:
(16)
式中:m,n分别为输入、输出节点数;σ为整数,σ∈[1,10]。
由式(16)可知隐含层节点数为4~13。在网络输入和输出、学习速率相同的情况下,通过改变隐含层节点数进行训练,选取误差最小的隐含层节点数。
选取50组典型故障数据作为网络学习样本,40组故障数据作为测试样本,对确定后的故障诊断模型的诊断效果进行检测,样本数据见表1。
表1 故障数据样本构成

3.2 网络学习和训练
在Matlab平台上,将部分学习样本数据代入BP神经网络训练,将隐含层节点数选为4~13依次进行测试,相同训练次数下的训练误差见表2,通过比较可以发现,隐含层节点数取9时误差最小。
表2 训练误差对比

采用7-9-5结构的BP神经网络(BPNN)、布谷鸟算法优化BP神经网络(CS-BPNN)、DACS算法优化BP神经网络(DACS-BPNN)分别进行学习训练。网络寻优中的目标函数值变化曲线如图3所示,从图3可以看出,相比于基本布谷鸟算法,DACS算法能更好地平衡局部搜索精度和搜索范围,整体寻优效率也更高。将DACS算法输出的全局最优解作为初始参数后,对DACS-BPNN进行学习训练,误差曲线如图4所示。
3.3 测试结果及分析
学习结束后,分别用修正参数后的3类神经网络对选取的80组故障数据进行诊断,诊断结果见表3。分析表3可知,3类神经网络中,DACS-BPNN准确率最高,对测试样本的诊断准确率达到了92.5%,而BPNN和CS-BPNN的准确率分别为80.0%,87.5%。

(a) CS-BPNN目标函数值变化曲线

(b) DACS-BPNN目标函数值变化曲线
图3 网络寻优中的目标函数值变化曲线

图4 DACS-BPNN误差曲线
表3 诊断结果对比

将DACS算法引入BP神经网络进行矿用通风机的故障诊断,克服了单点式搜索算法的诸多缺陷。实例分析结果表明,由DACS算法优化后的BP神经网络具有较快的收敛速度和较高准确率,对矿用通风机的故障诊断具有一定实用价值。
参考文献:
[1] 汪义鹏,张树江,阚哲.矿井主要通风机远程安全监测方案[J].煤矿安全,2016,47(8):101-102.
[2] 李曼,李勇.基于全息谱的矿用通风机故障诊断虚拟仪器[J].煤炭科学技术,2010,38(3):93-96.
[3] 付华,尹丽娜,汪琦.基于小波和概率神经网络的煤矿主通风机故障诊断[J].电机与控制应用,2008,35(3):21-24.
[4] 江成玉,李春辉.BP神经网络在矿井通风机故障诊断中的应用[J].矿业安全与环保,2012,39(5):53-56.
[5] 荆双喜,冷军发,李臻.基于小波-神经网络的矿用通风机故障诊断研究[J].煤炭学报,2004,29(6):736-739.
[6] 荆双喜,华伟.基于小波-支持向量机的矿用通风机故障诊断[J].煤炭学报,2007,32(1):98-102.
[7] 尹洪胜,俞星,刘璠,等.基于KICA-SVM的矿用主要通风机故障诊断[J].煤矿安全,2011,42(2):130-132.
[8] 程加堂,熊伟,艾莉.基于改进D-S证据理论的煤矿通风机故障诊断[J].工业安全与环保,2014,40(1):35-37.
[9] 张永韡,汪镭,吴启迪.动态适应布谷鸟搜索算法[J].控制与决策,2014(4):617-622.
[10] 薛浩然,张珂珩,李斌,等.基于布谷鸟算法和支持向量机的变压器故障诊断[J].电力系统保护与控制,2015(8):8-13.
[11] 海广超,陈华,金晓虎.基于改进布谷鸟算法含光伏电站的无功优化[J].水电能源科学,2016(4):203-206.
[12] 王帅磊,张金春,曹彪,等.基于Levy飞行的蜂拥控制算法在目标跟踪中的应用[J].兵工自动化,2016,35(7):35-40.
[13] 张前图,房立清,赵玉龙.具有Levy飞行特征的双子群果蝇优化算法[J].计算机应用,2015,35(5):1348-1352.
[14] 宋云亭,吴俊玲,彭冬,等.基于BP神经网络的城网供电可靠性预测方法[J].电网技术,2008,32(20):56-59.
[15] 王元章,吴春华,周笛青,等.基于BP神经网络的光伏阵列故障诊断研究[J].电力系统保护与控制,2013(16):108-114.
Fault diagnosis of mine ventilator based on improved BP neural network
SUN Huiying1, LIN Zhongpeng1, HUANG Can1, CHEN Peng2
(1.College of Electrical Engineering and Automation, Shandong University of Science and Technology, Qingdao 266590, China; 2.State Grid Shandong Electric Power Corporation Maintenance Company, Jinan 250000, China)
Abstract:In view of characteristics of complicated correlation of mine ventilator failure and symptom, a fault diagnosis method using BP neural network optimized by dynamic adaptation cuckoo search algorithm was proposed. The optimal initial parameters of neural network are solved by using global search ability of dynamic adaptation cuckoo search algorithm. Then, the BP neural network is trained to obtain the final fault diagnosis model. The example analysis results show that the method can effectively achieve fault diagnosis of mine ventilator and has the characteristics of fast convergence and high precision, and the diagnosis accuracy of the test sample is 92.5%.
Key words:mine ventilator; fault diagnosis; dynamic adaptation cuckoo search algorithm; BP neural network
文章编号:1671-251X(2017)04-0037-05
DOI:10.13272/j.issn.1671-251x.2017.04.009孙慧影,林中鹏,黄灿,等.基于改进BP神经网络的矿用通风机故障诊断[J].工矿自动化,2017,43(4):37-41.
收稿日期:2016-10-31;
修回日期:2017-02-15;责任编辑:胡娴。
基金项目:国家自然科学基金项目(61304080)。
作者简介:孙慧影(1974-),女,山东青岛人,副教授,博士,主要研究方向为计算机仿真控制和电缆设备控制系统,E-mail:sunhying@gmail.com。
中图分类号:TD635
文献标志码:A
网络出版:时间:2017-03-28 17:18
网络出版地址:http://kns.cnki.net/kcms/detail/32.1627.TP.20170328.1718.009.html