赵红泽, 何桥, 韦钊, 原江涛
(中国矿业大学(北京) 资源与安全工程学院, 北京 100083)
摘要:针对煤矿安全隐患排查治理能力综合评估指标的不确定性,建立了煤矿安全隐患排查治理能力集对分析评估模型。该模型从人员因素和管理因素2个方面确定评估指标体系,考虑特定指标的正负同异反联系度,得到一个综合的联系度,从而实现煤矿安全隐患排查治理能力定量评估。实例分析结果表明,该模型能合理地评估煤矿安全隐患排查治理能力,评估结果与实际相符。
关键词:煤矿安全; 隐患排查; 隐患治理; 集对分析; 评估
近年来,随着国家《新安全法》的颁布与实施,各煤矿企业相继制定了隐患排查制度,开展了一系列隐患排查工作[1]。煤矿事故呈逐年减少的趋势,然而事故隐患数量依然较大,且近两年呈抬头趋势[2],因此,需要进一步加大煤矿安全隐患排查的力度,有效提高煤矿安全隐患治理能力。
由于各煤矿的隐患排查历史数据不完整,很难客观地从历史数据中挖掘出评判隐患排查治理能力的有用信息。鉴此,本文首先建立隐患排查治理能力等级模型,然后建立了评估隐患排查治理能力的集对分析[3]评估模型,最后进行了实例分析。
集对分析是一种新型的处理模糊和不确定知识的数学工具,能有效分析和处理各种不确定信息,并从中发现隐含的客观知识,揭示潜在规律。其基本思路是在特定的问题背景下,将有联系的2个集合看作1个集对,对2个集合所具有的特性进行相同、相异和相反性分析,通过联系度函数来分析该集对的不确定性[4-5]。
常用的三元同异反联系度的表达式为
μ=a+bi+cj
(1)
式中:μ为联系度;a为同一度;b为差异度;c为对立度,当c≠0时,集对势能有效反映2个集合在给定背景下的某种联系趋势;i为不确定系数,其取值在[-1,1]之间,体现了确定性与不确定性之间的相互转化;j为对立系数,一般取值为-1。
式(1)中的a,b,c,i,j相互影响、相互制约。a,b,c满足归一化条件,即a+b+c=1。
若差异项由几个不确定指标组成,则可把第2项展开,即可推广得到多元联系度:
μ=a+b1i+b2i+…+bki+cj
(2)
同一度与对立度的比值称为集对势,其值反映了集对的某种趋势。若将联系度函数中差异度转换为对立度,则可计算出悲观势,它反映了从悲观者的角度研究得出的集对的某种趋势;将所有差异度转换为同一度,可计算出乐观势,它反映了从乐观者的角度研究得出的集对的某种趋势。集对势越大,集对的同一性趋势越强。
2.1 等级模型
煤矿安全生产质量标准化与煤矿安全隐患排查同属煤矿安全隐患管控范畴,两者优势互补,共同保障煤矿安全生产[6-7]。借鉴煤矿安全生产质量标准化的等级划分方式来衡量煤矿安全隐患排查治理能力,即根据各专业标准化得失分来划分等级,同时借鉴软件能力成熟度模型[8]建立煤矿安全隐患排查治理能力等级模型,见表1。
2.2 评估指标体系
影响煤矿安全隐患排查治理能力的因素主要包括人、机、环、管4个方面[9-10]。隐患排查的主体是人,因此,对隐患排查治理能力成熟度的评估也应以人为中心,同时,指标的选取既要满足科学性、全面性、合理性,更要具有实用性和可操作性。本文从人员因素(B1)和管理因素(B2)2个方面对煤矿安全隐患治理能力进行评估[11]。人员方面的指标因素:职工文化素质指数(学历结构)C101、职工技术素质(工龄结构)C102、作业人员培训率C103、作业人员培训合格率C104、人员体检合格率C105、作业人员三违指数C106;管理方面的指标因素:隐患排查管理制度完善率C201、隐患排查人员配备率C202、应急响应机制完善率C203、隐患排查落实率C204、隐患整改率C205、隐患整改合格率C206、隐患超期整改率C207、工伤事故发生指数C208、安全投入指数C209、领导工作面全覆盖指数C210、隐患重复发现率C211。
表1 煤矿安全隐患排查治理能力等级模型

2.3 指标权重确定
采用基于熵值法和变异系数法的组合赋权方法计算隐患排查治理能力评估指标的权重,求得权重向量为
W=(0.032,0.035 7,0.038 8,0.043 1,0.044 1,0.097 2,0.056 1,0.033 8,0.043 2,0.046 2,0.044 0,0.043 2,0.103,0.148,0.054,0.034 6,0.103 0)
(3)
2.4 指标计算
职工文化素质指数计算方法:
C101=100E1+80E2+60E3+40E4+ 10E5
(4)
式中:E1为硕士及以上学历百分率;E2为本科(大专)学历百分率;E3为中学(初中、高中、中专、技校等)学历百分率;E4为小学学历百分率;E5为小学以下学历百分率。
职工技术素质计算方法:
C102=10D1+40D2+60D3+80D4+100D5
(5)
式中:D1为工龄小于4个月的百分率;D2为工龄为4个月到1 a的百分率;D3为工龄为1~2 a的百分率;D4为工龄为2~5 a的百分率;D5为工龄为5 a
及以上的百分率。
工伤事故发生指数计算方法:
C208=100-100A1-70A2-40A3-10A4
(6)
式中:A1为特大事故次数;A2为重大事故次数;A3为较大事故次数;A4为一般事故次数。
当C208<0时,按0计算。
其余负向指标(人员违法率、培训不合格率、隐患重复发现率)计算方法:
CN=100-100C
(7)
式中C为各指标值。
其余正向指标计算方法:
CP=100C
(8)
煤矿安全隐患排查治理能力具有不确定性,集对分析作为一门不确定性理论,可用于煤矿安全隐患排查治理能力评估中。将待评估煤矿的影响因素指标及其标准分为2个集合,构成1个集对。对于m种指标,共分为K个等级,则由m和K构成的2个集合即可看成1个集对H(m,K),用K元联系度来描述m和K之间的关系。
3.1 评估标准
采用扩展的一维四元正负同异反联系度模型[12]客观评估煤矿安全隐患排查治理能力。
(9)
式中:μm为联系度;am为第m个指标与K级标准的同一度;b1m为第m个指标与K级标准相差一级的优差异度,称为正差异度;b2m为第m个指标与K级标准的劣差异度,称为负差异度;cm为第m个指标与K级标准的相反度,称为对立度;i+∈[0,1];i-∈[-1,0];j取值为-1。
3.2 联系度函数
对于第m个指标,构造联系度函数如下。
当K=1时,联系度函数为

(10)
当K=2时,联系度函数为

(11)
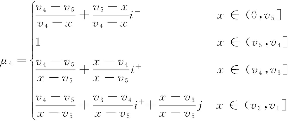
当K=3时,联系度函数为

(12)
当K=4时,联系度函数为

(13)
当K=5时,联系度函数为

(14)
联系度函数中v1-v5为评估标准的界限值,为消除不同等级范围不同带来的误差,需对其进行归一化处理,本文由于只有等外级别的范围与其他不同,故只需对μ5进行处理,处理后可得
μ5=

(15)
式中:k为x所属等级值。
根据各等级的联系度函数可计算出联系度矩阵R=(a+b1i++b2i-+cj)m×K,将其与权重向量W进行模糊运算,获得对应于K级标准的综合联系度。
3.3 评估等级的判定
将异、反联系度向同一度转化,转化方式为根据决策者的乐观指数,分别给i+,i-,j赋常数值。通常设j=-1,i+=0.5,i-=-0.5,代入各等级标准的联系度函数[13-14]进行计算。等级K所对应的转化后的同一度Smax为
Smax=max(Sk)k=1,2,3,4,5
(16)
转化后的同一度越大,说明属于该等级的趋势越大,乐观程度越高,因此,转化后的同一度Smax对应的等级即为评估结果。
北京地区某煤矿自2007年国家要求建立隐患排查制度、开展隐患排查工作起,便着手建立隐患排查信息管理系统,并不断地更新升级,现已拥有一套比较完善的煤矿安全隐患排查与安全预警智能决策系统、隐患排查组织机构、隐患闭环管理机制和培训考核机制。该矿2014年的隐患排查治理能力评估指标值见表2。
表2 某煤矿评估指标值

根据本文建立的集对分析评估模型,计算出联系度矩阵R(式17)。将R与权重向量W进行模糊运算,可得μ1=0.855+0.138i++0.007j,μ2=0.820+0.168i++0.012i-,μ3=0.559+0.337i++0.104j,μ4=0.353+0.341i++0.306j,μ5=0.257+0.257i++0.486j。

(17)
由于等级2的联系度函数中对立度c=0,所以不能用集对势对等级进行判定,下面采用联系度判定该矿隐患排查治理能力等级。将i-=-0.5,i+=0.5,j=-1,代入联系度函数计算可得等级1—5的联系度分别为0.779,0.899,0.623,0.217,-0.099。因此,该矿的隐患排查治理能力属于2级,说明该矿作业人员隐患排查素质较高,管理水平良好,同时也可看到属于1级的联系度也较大,说明该矿的隐患排查治理能力趋势乐观。
煤矿安全隐患排查能力等级模型采用熵值法和变异系数法确定权重,使得评估结果更加合理。煤矿安全隐患排查治理能力集对分析评估模型考虑了特定标准指标的正负同异反联系度,通过综合的联系度定量评估煤矿安全隐患排查治理能力。集对分析评估模型兼顾了主客观评估的优点,具有很强的可操作性和实用性。
参考文献:
[1] 国务院安委会办公室.国务院安委会办公室关于印发《全国集中开展煤矿隐患排查治理行动方案》的通知[EB/OL].(2014-11-06)[2016-07-20].http://www.chinasafety.gov.cn/newpage/Contents/Channel_4976/2014/1106/242787/content_242787.htm.
[2] 李要锋.煤矿安全隐患排查治理分析[J].中国管理信息化,2015,18(15):137-139.
[3] 赵克勤.SPA的同异反系统理论在人工智能研究中的应用[J].智能系统学报,2007,2(5):20-35.
[4] 蒋云良,徐从富.集对分析理论及其应用研究进展[J].计算机科学,2006,33(1):205-209.
[5] 张涛.基于集对分析的不确定多属性决策算法研究[D].重庆:重庆大学,2014.
[6] 梁子荣,辛广龙,井健.煤矿隐患排查治理、煤矿安全质量标准化与煤矿安全风险预控管理体系三项工作关系探讨[J].中国煤炭,2015,41(7):116-119.
[7] 中国煤炭工业协会.《煤矿安全质量标准化标准及考核评级办法(试行)》执行说明[M].北京:煤炭工业出版社,2005.
[8] 王欣艳.基于CMM的隐患治理能力成熟度模型研究与应用[J].微型机与应用,2015,34(2):7-10.
[9] 高晓旭.基于4M理论的煤矿本质安全研究[D].西安:西安科学大学,2010.
[10] 刘铁忠,李志祥.煤矿安全管理能力影响因素结构方程建模[J].煤炭学报,2008,33(12):1452-1456.
[11] 王欣艳.煤矿安全隐患治理能力评估与预测方法研究[D].北京:中国矿业大学(北京),2013.
[12] 南彩艳,粟晓玲.基于改进SPA的关中地区水土资源承载力综合评价[J].自然资源学报,2012,27(1):104-114.
[13] 刘双跃,王娟,王丹.基于SPA的煤矿安全质量标准化考评深度分析[J].采矿与安全工程学报,2012,29(5):725-729.
[14] 潘争伟.区域水环境系统脆弱性评价的集对分析方法研究[D].合肥:合肥工业大学,2010.
ZHAO Hongze, HE Qiao, WEI Zhao, YUAN Jiangtao
(School of Resources and Safety Engineering, China University of Mining and Technology (Beijing), Beijing 100083, China)
Abstract:In view of uncertainty of comprehensive evaluation index of security risks investigation and govern ability of coal mine, a set pair analysis and evaluation model was established. The model determines evaluation index system from two aspects of personnel factors and govern factors, taking positive and negative, similarity and dissimilarity connection degree into account to obtain a comprehensive connection degree, so as to realize quantitative evaluation of security risks investigation and govern ability of coal mine. The result of case analysis shows that the proposed model can reasonably evaluate security risks investigation and govern ability of coal mine, and the result is in line with the actual situation.
Key words:mine safety; security risks investigation; security risks govern; set pair analysis; evaluation
文章编号:1671-251X(2017)02-0081-05
DOI:10.13272/j.issn.1671-251x.2017.02.018
收稿日期:2016-08-29;
修回日期:2017-01-06;责任编辑:胡娴。
基金项目:国家科技支撑计划资助项目(2015BAK38B01);中央高校基本科研业务专项资金资助项目(2013QZ04)。
作者简介:赵红泽(1978-),男,山西河津人,副教授,博士,主要从事采矿工程及矿山信息化方面的研究工作,E-mail:hzzhao78@163.com。
中图分类号:TD79
文献标志码:A
网络出版:时间:2017-01-22 10:44
网络出版地址:http://www.cnki.net/kcms/detail/32.1627.TP.20170122.1044.018.html
赵红泽,何桥,韦钊,等.煤矿安全隐患排查治理能力集对分析评估模型[J].工矿自动化,2017,43(2):81-85.