郭天文1, 惠强2, 潘元洪1, 乔子昱1, 吉晓祥1
(1.南京工业大学 计算机科学与技术学院, 江苏 南京 211800; 2.西安电子科技大学 通信工程学院, 陕西 西安 710071)
摘要:提出了一种井下人员生理数据采集与处理系统设计方案,着重介绍了数据采集终端硬件设计、数据采集与处理方法、ZigBee数据传输设计。该系统可实时采集井下人员的血氧饱和度、脉搏和体动数据,经处理后得出井下人员生理状态,并在上位机监控界面上显示。测试结果表明,该系统数据采集准确率在90%以上,且数据传输可靠,未出现丢包现象。
关键词:井下人员; 生理状态; 生理数据; 血氧饱和度; 脉搏; 体动; ZigBee网络
煤矿井下巷道结构复杂,工作环境恶劣,易发生安全事故。井下作业相对于其他职业来说危险系数较高[1-4]。对井下人员的生理数据进行实时监测,对保障其职业健康具有重要意义。文献[3]提出了一种井下人员生理数据采集方案,并依靠ZigBee网络实现了人员定位,在发生矿难时可为制定人员搜救计划提供合理依据。其着重阐述了信号传输方案,对数据采集与处理的描述不够深入。事实上,从传感器返回的数据并不能直接反映生理数据,必须通过相应处理才能得到人员生理状态信息,而数据处理方法和流程决定了结果的准确性。
本文在文献[3]基础上,对井下人员生理数据采集的范围做了进一步拓展,详细描述井下人员生理数据处理方法与流程,在此基础上设计了一种井下人员生理数据采集与处理系统。该系统主要采集井下人员的血氧饱和度、脉搏和体动信号,通过对3种数据进行相应处理,判断井下人员生理状态,对不正常数据进行报警,为井下人员健康管理提供依据。
井下人员生理数据采集与处理系统由数据采集终端、数据传输网络、井上数据中心组成,如图1所示。每位井下人员携带1个数据采集终端,其以STM32L1151C8T6为核心处理器,通过血氧饱和度探头和加速度传感器采集井下人员的血氧饱和度、脉搏及体动数据。采集数据经ZigBee网络传送至井下工业以太环网,最终传至井上数据中心服务器,由服务器完成数据存储、分析、显示和异常数据报警等功能。

图1 井下人员生理数据采集与处理系统组成
Fig.1 Composition of physiological data acquisition and processing system for underground personnel
数据采集终端主要由核心板和外围扩展电路构成。核心板主要包括STM32L1151C8T6、时钟和电源模块等。外围扩展电路采用DS-100A血氧饱和度探头及适用于脉冲血氧仪的完全集成模拟前端器件AFE4400,实现井下人员血氧饱和度和脉搏数据的采集;采用低功耗、高精度ADXL345加速度传感器采集人员体动加速度,经计算获得人员能耗数据[5-6];采用基于CC2530的ZigBee无线传输模块。数据采集终端硬件组成如图2所示。

图2 数据采集终端硬件组成
Fig.2 Hardware composition of data acquisition terminal
STM32L1151C8T6接收ADXL345加速度传感器和DS-100A血氧饱和度探头采集的数据,采用线性回归法[7]、极值法[8]和阈值法分别处理血氧饱和度、脉搏和体动数据,得到血氧饱和度、脉搏和体动实时值,并将处理数据通过ZigBee模块发送至ZigBee网络。监测数据最终在井上数据中心服务器显示。
2.2.1 血氧饱和度
目前对于血氧饱和度的无创检测通常基于Lambert-Beer定律,根据氧合血红蛋白和脱氧血红蛋白在红光区和红外光区的光吸收系数差异来实现[7]。人体脉搏频率一般为1~2 Hz,为提高采样精度,系统采样频率设置为250 Hz[9]。血氧饱和度数据处理流程如图3所示。

图3 血氧饱和度数据处理流程
Fig.3 Data processing of oxygen saturation of blood
采用线性函数经验公式计算血氧饱和度[7]:
S=C1+C2L
(1)
式中:C1,C2为经验常数,可通过实验定标得到;L为特征值,可通过线性回归法得到。
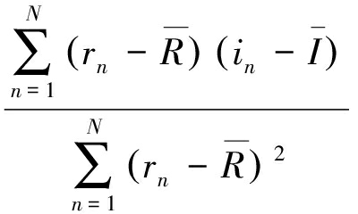
由DS-100A采集的红光光强信号和红外光透射光强信号是2个存在相关性的序列,分别设为R={r1,r2,…,rN},I={i1,i2,…,iN},其中rn,in分别为第n(n=1,2,…,N,N为采样次数)次采样得到的红光光强信号和红外光透射光强信号。对2个序列建立一元线性回归方程:
I=A+BR
(2)
式中A,B为回归系数。
采用最小二乘法求解A,B:
(3)
B=
(4)
式中
分别为I,R的均值。
进一步可得
L=![]()
(5)
在实验室环境中通过多次测量计算得到L。将C1,C2,L代入式(1),即可得到井下人员的实时血氧饱和度。
2.2.2 脉搏
系统采用极值法[8]测量人体脉搏信号。脉搏波中的极大值点一般为主波、潮波、重搏波等特征信息点[10]。采用极值法在红外光透射光强信号序列I中找到相邻2个极大值点,分别标记为P1,P2。考虑到人体脉搏正常范围及井下人员劳动强度大的特点,设定脉搏正常范围为60~150 次/min。系统采样频率为250 Hz,则设定P2-P1≥100时为有效脉搏跳动位置,则脉搏计算公式为
p=60×![]()
(6)
2.2.3 体动
G A Meijer等[11]证实了人体各种类型的运动量消耗与人体加速度之间存在很好的线性关系,因此可采用加速度传感器监测井下人员能耗,从而判断井下人员工作强度。加速度a与能耗E的线性关系为[12]
E=1.294a+77.988
(7)
系统根据ADXL345返回的三轴加速度得出合加速度a,带入式(7)求得该次动作所消耗能量,若结果大于设定的有效动作消耗能量阈值,则判定该次动作有效。计算每分钟内有效动作次数,则可求出井下人员能耗。通过统计固定时间内井下人员能耗可判定其工作强度。
ZigBee具有短距离、低成本、低功耗和自组网特点[13]。本文采用CC2530片上解决方案,配合Z-Stack协议栈即操作系统抽象层协议(Operating System Abstraction Layer,OSAL)实现ZigBee组网。
ZigBee数据传输流程:设备串口接收到数据采集终端数据后,内部以ZigBee协议规定的格式打包,然后将数据转换为无线数据发送出去;最近的路由节点接收到数据后,查路由表进行数据转发;汇聚节点接收到数据后,从数据包中获得源节点的地址信息和测量数据。数据报文格式如图4所示。一个报文中包含数据类型DataType、信息Message、结束标志EndMark。DataType包括正常数据类型0xF0和异常数据类型0xFF。Message中包含传输地址Addr和传输数据Data,其中Addr包含源节点地址SrcAddr和目的节点地址DstAddr,各分配6个字节,Data包含脉搏数据p、血氧饱和度数据S和体动能耗数据E,各分配1个字节。EndMark统一用0x00表示。

图4 报文格式
Fig.4 Message form
为验证提出的血氧饱和度、脉搏和体动数据计算方法的正确性,以及数据传输的可靠性,在实验室环境下对系统进行测试。
首先针对脉搏与血氧饱和度数据进行准确性测试。被测人员同时佩戴系统数据采集终端和专业的血氧仪,进行100组测试。结果表明,脉搏、血氧饱和度与专业血氧仪所测结果一致的分别为90,94组,误差为±2%的分别为8,5组,误差为±5%的分别为2,1组,准确率均在90%以上。
为测试体动数据测量的可靠性,被测人员佩戴数据采集终端,分别进行10 min剧烈、中度和轻微运动。将采集的体动信号转换为能耗,所得结果表明剧烈运动时能耗明显大于中度运动时能耗,中度运动时能耗明显大于轻微运动时能耗,符合实际情况。
为验证数据传输的可靠性,在实验室环境下,采用4个ZigBee节点构建树形拓扑网络。该网络包括1个终端节点、2个路由节点、1个汇聚节点。按照设计的报文格式对数据进行打包和解析,最终比较接收数据与原始数据,结果表明接收数据完整,传输过程中没有出现丢包现象。
采用C#语言在Win7环境下开发上位机监控界面,以显示保存在服务器上的井下人员基本信息及各项监测数据,如图5所示。

图5 上位机监控界面
Fig.5 Monitoring interface of upper computer
从数据采集和处理、数据传输方面构建了完整的井下人员生理数据采集与处理系统。该系统通过对井下人员血氧饱和度、脉搏和体动信号进行实时采集,实现对井下人员生理状态的实时监测。该系统不仅可实时查看井下人员生理状态,还可查看一周、一个月甚至更长时间的生理状态数据,为井下人员健康管理提供了数据支持。
参考文献(References):
[1] 庞海娟.ZigBee技术在矿井人员管理系统中的应用[D].曲阜:曲阜师范大学,2010.
[2] 胡兴志,李学哲,杨兴波,等.被动式煤矿井下环境安全监测系统设计[J].工矿自动化,2014,40(6):77-80.
HU Xingzhi, LI Xuezhe, YANG Xingbo, et al. Design of passive environmental safety monitoring system of underground coal mine[J].Industry and Mine Automation,2014,40(6):77-80.
[3] 黄剑波.基于ZigBee的井下人员生理指标监测系统设计[D].淮南:安徽理工大学,2014.
[4] 刘学先.煤矿井下人员定位及环境监测系统的设计与实现[D].沈阳:东北大学,2014.
[5] 杨凤霞.基于脉搏信号的亚健康状态识别方法的研究[D].兰州:兰州理工大学,2006.
[6] 李兴法,尹冠飞.数字式加速度传感器ADXL345的原理及应用[J].黑龙江科技信息,2010(36):2.
[7] 张根选,石波,刘胜洋,等.一种高效实时脉搏血氧监测系统的研究[J].激光与红外,2014,44(2):187-191.
ZHANG Genxuan, SHI Bo, LIU Shengyang, et al. Efficient real-time pulse oximetry monitoring system[J].Laser & Infrared,2014,44(2):187-191.
[8] 唐铭一,李凯,马小铁.脉搏波信号时域特征提取与算法的研究[J].计算机与现代化,2010(4):15-17.
TANG Mingyi, LI Kai, MA Xiaotie.Research on pulse wave signal and time-domain feature extraction algorithm[J]. Computer and Modernazation, 2010(4):15-17.
[9] 蒋伟平,蒋平,朱劲,等.基于卡尔曼滤波的动态脉搏波处理和脉率提取[J].计算机与现代化,2011(2):84-88.
JIANG Weiping, JIANG Ping, ZHU Jin, et al. Dynamic pulse wave processing and pulse rate extraction based on Kalman filter[J]. Computer and Modernazation, 2011(2):84-88.
[10] 范志祥.基于腕动信息的睡眠监测仪的研究[D].重庆:重庆大学,2008.
[11] MEIJER G A, WESTERTERP K R, KOPER H, et al. Assessment of energy expenditure by recording heart rate and body acceleration[J].Medicine and Science in Sports and Exercise,1989,21(3):343-347.
[12] 王国富,郑善友.无线自组网语音通信终端设计[J].电子技术应用,2013,39(9):21-23.
WANG Guofu, ZHENG Shanyou. Design of wireless Ad-hoc networking voice communication terminal[J]. Application of Electronic Technique, 2013,39(9):21-23.
[13] 黄平云.基于Zigbee的矿井人员体征监测系统研究[D].西安:长安大学, 2011.
GUO Tianwen1, HUI Qiang2, PAN Yuanhong1, QIAO Ziyu1, JI Xiaoxiang1
(1.College of Computer Science and Technology, Nanjing Tech University, Nanjing 211800, China; 2.School of Teleommunications Engineering, Xidian University, Xi'an 710071, China)
Abstract:A design scheme of physiological data acquisition and processing system for underground personnel was proposed. Hardware design of data acquisition terminal, data acquisition and processing method and ZigBee data transmission design of the system were introduced. The system can acquire the data of oxygen saturation of blood, pulse and body motion of underground personnel real-timely, and get physiological condition of the personnel by processing the acquired data, which displays on monitoring interface of upper computer. The test results show that the accuracy of data acquisition of the system is over 90%, and data transmission is reliable without data packet loss.
Key words:underground personnel; physiological condition; physiological data; oxygen saturation of blood; pulse; body motion; ZigBee network
文章编号:1671-251X(2017)12-0086-04
DOI:10.13272/j.issn.1671-251x.2017.12.017
中图分类号:TD67
文献标志码:A 网络出版时间:2017-12-06 10:15
网络出版地址:http://kns.cnki.net/kcms/detail/32.1627.TP.20171205.1736.005.html
收稿日期:2017-08-31;
修回日期:2017-10-24;责任编辑李明。
基金项目:国家级大学生创新创业训练计划项目(201510291018Z)。
作者简介:郭天文(1982-),女,江苏徐州人,讲师,博士,主要研究方向为无线通信、智能穿戴、物联网等,E-mail:gtw930@163.com。
引用格式:郭天文,惠强,潘元洪,等.井下人员生理数据采集与处理系统设计[J].工矿自动化,2017,43(12):86-89.
GUO Tianwen, HUI Qiang, PAN Yuanhong,et al. Design of physiological data acquisition and processing system for underground personnel[J].Industry and Mine Automation,2017,43(12):86-89.