刘溯奇1,2, 谭建平1,2, 文学1,2
(1.高性能复杂制造国家重点实验室, 湖南 长沙 410083; 2.中南大学 机电工程学院, 湖南 长沙 410083)
摘要:针对无线电能传输系统在过耦合区因耦合距离变化导致传输性能劣化的问题,为了以定频方式实现最大功率输出,提出通过调节初级回路内的2个平面螺旋线圈间广义耦合因子变量实现系统阻抗动态补偿的方法,并对阻抗动态补偿机理进行了研究。首先,以一个E类双管LLC谐振逆变电路为研究对象,采用电路理论建模并分析系统输出功率、传输效率与特性参数的相互作用机理,获得了系统输出功率特性曲线与传输效率特性曲线的变化规律,得到了2个补偿线圈之间的广义耦合因子对系统输出功率曲线和传输效率曲线的直接影响关系;其次,分析了阻抗动态补偿机理,给出了系统在定频工作方式下的具体实施方案;最后,通过实验验证了理论分析的正确性和有效性。
关键词:磁耦合谐振; 无线电能传输; 阻抗动态补偿; 阻抗失配; 定频工作方式; 功率叠加
无线电能传输(Wireless Power Transmission, WPT)技术是用电设备以非接触方式从电源获取能量的一项技术,实现了电源和用电设备的完全电气隔离,传输过程安全、可靠、灵活度高,为人类摆脱电线束缚提供了可能[1-2]。2007年美国麻省理工学院科研团队突破性地提出了磁耦合谐振式WPT技术[3],采用耦合模理论进行建模。耦合模建模方法以储能元件上电压、电流为复变量,在数学上属于微扰分析法。耦合模理论是主要研究2个或多个电磁波模式间耦合的一般规律的理论,主要应用于微波行波管道分析与光波导中光的传递规律分析等。采用耦合模理论分析WPT机理,实际上是直接套用了耦合模理论一般表达形式,因此在机理上并未很好地解释WPT空间功率传递机理、频率分裂的本质等问题[4]。
采用耦合模建模方法时,在过耦合区存在频率分裂现象,为了使系统重新获得最大功率输出,主要有以下方法:一是使用频率跟踪技术[5-7],该方法可实时调节频率以获得最优输出功率或传输效率;二是使用阻抗匹配网络改变初级回路或次级回路的固有频率,实现阻抗匹配[8-11],该方法是基于阻抗失配的情况下,通过改变初次级回路的固有频率达到补偿的目的。上述方法对于定点补偿较为有效,由于受补偿步长的限制,对于耦合距离在较大范围连续变化的动态阻抗补偿的普适性相对较差,补偿精度有限,实现较为复杂,且回路结构参数的改变容易造成系统的“不共振”或出现波形畸变问题[12-15]。在耦合距离在较大范围变化的工况下,如何以定频工作方式实现最大功率输出是目前亟需解决的难点问题之一。
阻抗失配主要是由耦合距离的变化与初次级回路阻抗的变化造成的。这些变化导致反射阻抗为一动态变化值,表现为回路本身的无功功率与其他回路的反射折算到本回路的反射阻抗所表现的无功功率叠加之后出现不为零的情况,即阻抗失配。因此,本文构造和定义广义耦合因子来表征特性与参数之间的相互关系,提出通过补偿初次级回路之间的广义耦合因子变量的变化来实现阻抗动态补偿的方法,并具体提出了一种调节初级回路内的2个平面螺旋线圈间广义耦合因子变量以实现系统阻抗动态补偿的方法,使得初次级回路无功功率叠加之后始终为零。
本文研究思路:首先,研究了WPT系统输出功率、传输效率与特性参数的相互作用机理,分析得出了系统输出功率特性曲线与传输效率特性曲线的变化规律,得到了2个补偿线圈之间的广义耦合因子对系统输出功率曲线和传输效率曲线的直接影响关系;其次,分析与揭示了阻抗动态补偿机理,给出了系统在定频工作方式下的具体实施方案;最后,开展实验研究,验证了理论分析的正确性和有效性。
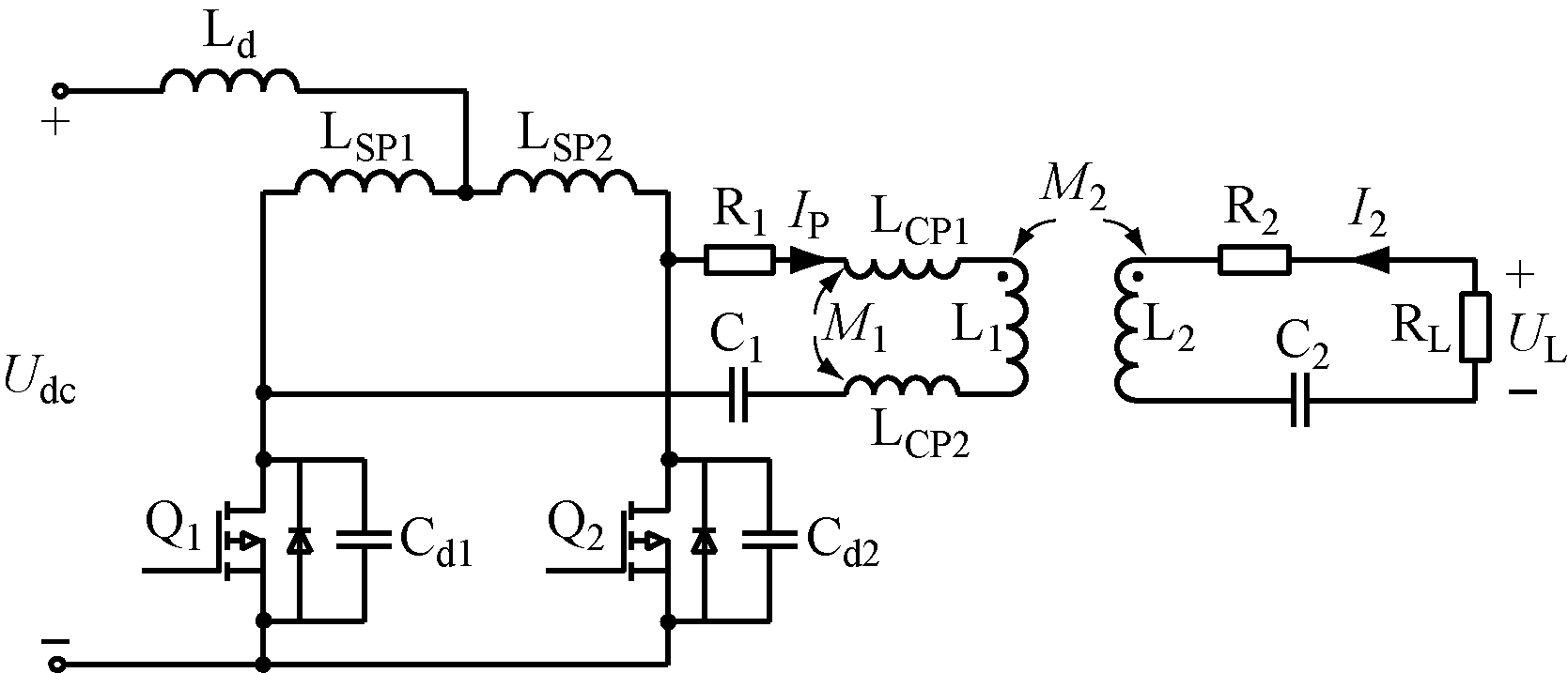
为了研究方便,以一个E类双管LLC谐振逆变电路构成的WPT系统为对象进行研究。初次级回路采用串联补偿结构,引入2个平面螺旋线圈轴向叠加串联接入初级回路中(使平面螺旋线圈间互感与初次级线圈间互感在数量级上一致),且平面螺旋线圈间在轴向方向可自由移动,引入的平面螺旋线圈(补偿线圈)LCP1,LCP2的互感用M1表示,耦合距离为d1。E类双管LLC谐振逆变电路如图1所示。图1中,Udc为直流电压源电压;Ld为扼流电感;LSP1和LSP2为分相电感;Q1和Q2为E类逆变器开关管;Cd1与Cd2为E类逆变器的分流电容;IP,I2分别为初次级线圈回路的高频电流;L1,L2分别为初次级线圈的电感;C1,C2分别为初次级线圈的等效电容;R1为初级线圈、补偿线圈的损耗电阻和辐射电阻之和;R2为次级线圈的损耗电阻和辐射电阻之和;RL为负载电阻;UL为负载电压;M2为初次级线圈间的互感,耦合距离为d2。

图1 E类双管LLC谐振逆变电路
Fig.1 E-type double-tube LLC resonant inverter circuit
对图1所示电路结构作进一步的抽象简化,建立如图2所示的WPT系统等效电路模型。简化思路如下:WPT系统中,在过耦合区,由于耦合距离或回路阻抗变化导致反射阻抗为一动态变化值,表现为回路本身的无功功率与其他回路的反射折算到本回路的反射阻抗所表现的无功功率叠加之后出现不为零的情况,如果不对阻抗进行补偿,那么系统能量将向无功功率转换,从而使有功功率减少。其次,功率和阻抗存在以下关系,即有功功率为电阻性负载所消耗,无功功率为电抗性负载所存储。所以,通过调节阻抗可以达到调节无功功率和有功功率的目的。基于以上分析,当初次级线圈耦合距离为最小值时,可通过调谐的方式使系统在频率分裂的高频分支(或低频分支)获得最大功率输出,此时系统无功功率再次为零,以当前频率为工作频率并保持不变。若初次级线圈耦合距离增加,则系统无功功率增加,为了重新使系统无功功率为零,本文提出在初级回路中串接一对平面螺旋线圈,始终使其中一线圈谐振耦合获得初级回路功率信号,生成补偿回路功率信号,该功率信号与初级回路功率信号进行无功功率叠加可使系统无功功率再次为零,达到阻抗补偿的目的。图2中,虚线框内为无线电能发射系统,包括初级回路和补偿回路;虚线框外为无线电能接收系统,即次级回路;US为高频电源;I1为补偿回路的高频电流;M21为初级回路中线圈L1与次级回路中线圈L2之间的互感;M22为补偿回路中线圈L1与次级回路中线圈L2之间的互感。

图2 WPT系统等效电路模型
Fig.2 Equivalent circuit model of WPT system
由于线圈的螺旋方向可分为右旋和左旋,连接方式可分为顺串和反串等情况,本文只研究两线圈的螺旋方向同为右旋且连接方式为反串这一情况。若传输系统工作角频率为ω,根据基尔霍夫电压定律(KVL),则有

(1)
式中:ZPP为初级回路自阻抗;Z11为补偿回路自阻抗;Z22为次级回路自阻抗。
ZPP和Z22计算公式为

(2)
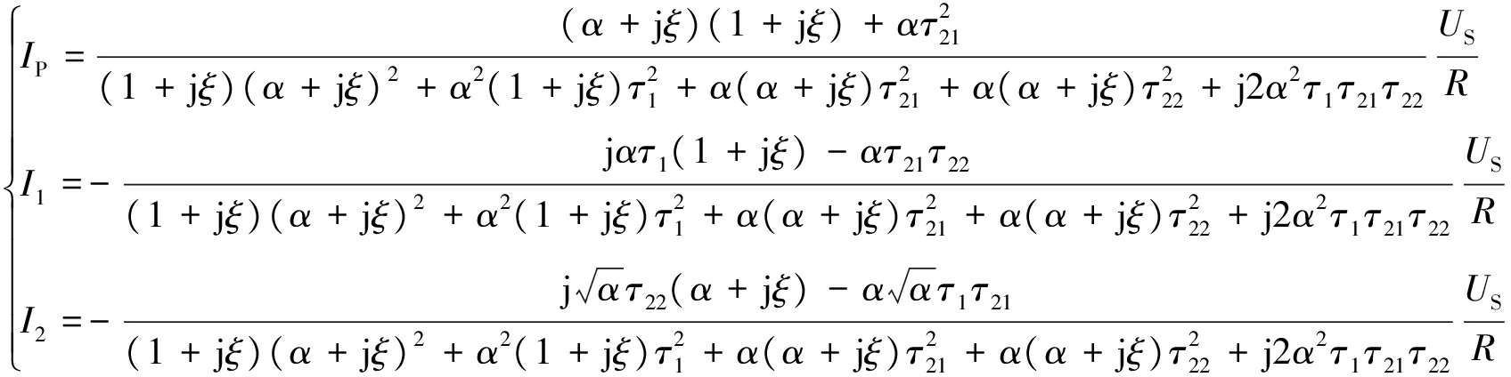
根据式(1)可求得回路电流为

(3)
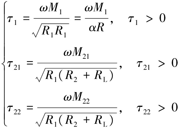
为研究方便,令C1=C2=C,L1+LCP1+LCP2=L2=L,R2+RL=R,R1=αR(α为初次级阻抗比例系数),RL=βR(β为次级回路阻抗负载系数),电路谐振角频率ω0=1/
,品质因数Q=ω0L/R=1/(ω0CR),广义失谐因子ξ=Q(ω/ω0-ω0/ω),则式(2)可进一步化简为[16]

(4)
定义广义耦合因子为

(5)
将式(4)和式(5)代入式(3),可求得初级线圈、补偿线圈和次级线圈等效回路电流为

(6)
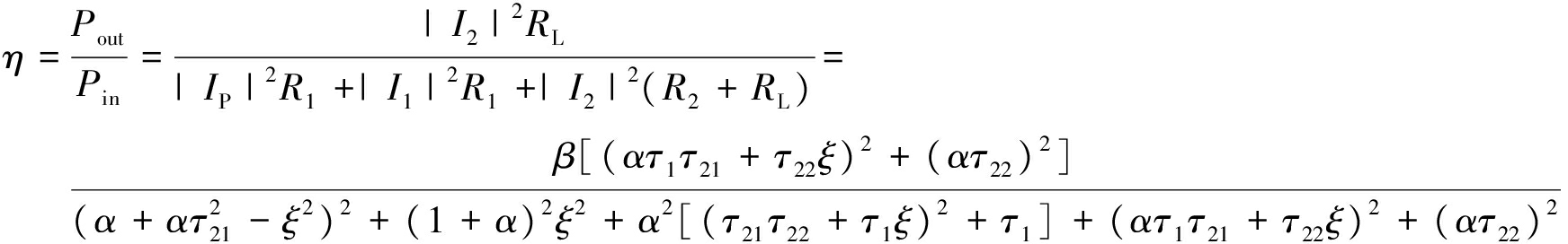
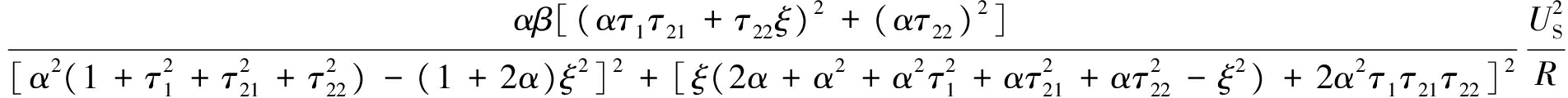
由次级回路等效电流I2容易得到负载RL吸收的功率(即系统输出功率)Pout为
Pout=![]()
(7)
系统输入功率Pin包含3部分:① 初级回路电阻所消耗的功率。② 补偿回路电阻所消耗的功率。③ 次级回路电阻所消耗的功率。因此,系统传输效率,即系统输出功率与系统输入功率比值为

(8)
1.3.1 系统输出功率与特性参数
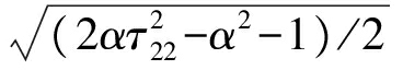
为了分析出补偿回路与初级回路之间的广义耦合因子对系统输出功率的变化规律,需研究系统输出功率与特性参数之间的内在关系。令式(1)中阻抗矩阵Z的行列式的虚部为0,忽略高次项2α2τ1τ21τ22,可得到系统在ξ0=0或ξ1,2=
±
时取得输出功率极值。当ξ1=0,τ1=τ21=0,τ22=1时,Pout取得最大值:
Pout max=![]()
(9)
由式(7)和式(9)可得归一化系统输出功率ψ:
ψ=
=![]()
(10)
由式(10)得到如图3所示的归一化系统输出功率ψ的特性响应曲线。


图3 归一化系统输出功率特性响应曲线
Fig.3 The normalized characteristic response curve of the outer power of the system
由归一化系统输出功率ψ与广义失谐因子ξ,广义耦合因子τ1、τ21与τ22的关系可知:
(1) 由图3(a)可知,α=1,τ1=0.1,即补偿回路与初级回路的耦合很弱时,系统主要表现为初级回路与次级回路的耦合关系,系统存在3种状态[6,8]:过耦合、临界耦合和欠耦合。当τ22=1时,归一化系统输出功率为最大值;当τ22>1时,存在频率分裂现象,即ξ1,2=±
,不管在哪个分裂频率点,归一化系统输出功率都能取得极大值;当τ22<1时,不存在频率分裂,但随着广义耦合因子τ22的减小,归一化系统输出功率快速下降。
(2) 由图3(c),(d)可知,随着τ1的增大,即补偿回路与初级回路耦合作用逐渐加强,次级回路的3种状态发生了明显变化,过耦合、临界耦合延伸到了欠耦合,特别当τ1=4时,次级回路已表现为完全分裂的2个功率峰值。
(3) 由图2和图3(c),(d)可知,由于受补偿回路与次级回路互感M21影响,2个分裂的功率峰值向高频方向发生了移动,导致2个分裂频率的中心频率向高频进行了移动,τ1值越大,移动量越大。由此分析得出,在WPT系统的频率分裂的高频分支上调节广义耦合因子τ1值可控制系统输出功率曲线向高频方向的移动量。
(4) 如图3(c)、(d)所示,α为频率分裂影响因子,α取值越大,频率分裂越严重。因此,α取较小值有利于降低频率分裂程度。
1.3.2 系统传输效率与特性参数
为了分析出补偿回路与初级回路之间的广义耦合因子对系统传输效率的变化规律,需研究系统传输效率与特性参数之间内在关系。由式(8)可知,当β=1时得到如图4所示的系统传输效率特性响应曲线,图4的投影如图5所示。

图4β=1时的传输效率特性响应曲线
Fig.4 Characteristic response curve of transmission efficiency whenβ=1

图5 图4的投影
Fig.5 Projection of Fig.4
同理,当0<β<1时,β取不同值可得到与图4类似的特性响应曲线。
由系统传输效率η与广义失谐因子ξ,广义耦合因子τ1、τ21与τ22的关系可知:
(1) 由图4(a)、图5(a)可知,当τ1=0.1,即忽略补偿回路线圈LCP1(或LCP2)与初级回路线圈LCP2(或LCP1)的耦合,系统演变为初次级两回路结构,其传输效率变化规律遵循两线圈结构系统内在规律[16]。
(2) 由于受补偿回路与次级回路互感M21的影响,系统传输效率η的效率峰值向高频发生了移动,τ1值越大,移动量越大。由此分析得出,在WPT系统的频率分裂的高频分支上调节广义耦合因子τ1值可控制系统传输效率曲线向高频方向的移动量。
在WPT系统的频率分裂的高频分支上,通过调节两补偿线圈之间的广义耦合因子变量τ1值,可实现系统输出功率曲线和传输效率曲线向高频方向移动量使系统时刻获得最大功率输出和较高传输效率。因此,本文以频率分裂的高频分支为对象进行阻抗动态补偿机理分析。首先,补偿回路与初级回路的互感很弱,予以忽略,系统演变为两回路结构,若系统工作于过耦合区并在频率ω1或ω2(即ξ1,2=±
)处获得最大功率输出[16],当初级线圈与次级线圈的耦合距离d2增加时(即τ22减小),应使频率ω1或ω2向固有频率ω0方向调节,减小频率分裂程度(即ξ1,2减小),重新获得最大功率输出。其基本思想是最大功率曲线固定不变,将广义耦合因子τ22中的工作频率重新移动到最大功率曲线上,使其系统电抗为零,即系统无功功率为零。然而,从另一角度分析,工作频率保持不变,当初次级线圈耦合距离增加时,控制最大功率曲线和传输效率曲线向高频方向移动,也可使工作频率重新位于最大功率曲线和效率曲线上,从而使系统电抗为零。
本文提出的通过调节广义耦合因子τ1控制高频ω2(即ξ2=
)功率曲线或效率曲线向高频方向移动量的方案正是这一阻抗动态补偿思想的具体体现。在两回路结构过渡到三回路结构中,根据初次级线圈的最小耦合距离和最大耦合距离要求,可按如下原理进行阻抗动态补偿:
(1) 根据系统固有频率f0可确定临界耦合点,并进一步确定最大耦合距离(即有效耦合距离)dS。
(2) 根据最小耦合距离dp经调谐确定系统最佳工作频率fH,即补偿回路未参入阻抗补偿时使系统获得最大输出功率的高频频率点,系统以fH为工作频率(定频),当初次级线圈耦合距离d2∈[dp,dS]时,可调节补偿回路与初级回路之间的广义耦合因子τ1对系统进行阻抗动态补偿,即调节两补偿线圈LCP1与LCP2之间的耦合距离d1。
阻抗动态补偿时的系统结构如图6所示。霍尔电流与电压传感器动态获取次级回路的电流I2和电压UL,经调理电路处理后送入接收系统DSP控制器进行处理,得到接收系统输出功率;然后通信模块将功率参数传输到发射系统,发射系统DSP控制器比较前后2次功率大小及功率变化方向,经调理电路处理后送入伺服电动机执行机构调节补偿线圈间的耦合距离d1,使系统跟踪实现最大功率输出。
为了验证阻抗动态补偿方案的正确性和有效性,构建了WPT实验系统。测试仪器及相关设备主要包括电压可调的直流稳压电源、信号发生器、功率放大器、TH2829C电桥分析仪、P6022电流探头和DS2202A数字示波器。WPT系统的主要参数见表1。

图6 阻抗动态补偿时的系统结构
Fig.6 System structure with impedance dynamic compensation
表1 WPT系统主要参数
Table 1 Main configuration values of WPT system

当初次级线圈耦合距离分别为12,35,40 mm且两补偿线圈处于弱耦合(视作未补偿)时,在不同频率下测得输入输出电压和电流,从而得到未补偿情况下的输出功率和传输效率。同理,当初次级线圈耦合距离分别为12,35,40 mm时,调整补偿线圈间的耦合距离,对系统每一个测量频点进行补偿,测量不同频率下输出功率最大时的输入输出电压和电流。将上面的2组实验数据处理之后得到如图7所示的输出功率曲线和图8所示的传输效率曲线。
图7中,初次级线圈耦合距离12,35,40 mm分别对应过耦合、临界耦合和欠耦合3种状态。在110 kHz频率点为系统频率分裂的低频点,该点功率峰值受补偿线圈的影响较小;在初次级线圈的较大变化范围内,系统频率分裂的高频点出现在135 kHz左右,但随着补偿线圈的耦合加剧,高频点向高频方向进行了移动,这些实验结果与图3的仿真结果吻合得较好。

图7 系统输出功率曲线
Fig.7 Curve of the output power of the system

图8 系统传输效率曲线
Fig.8 Curve of the transmission efficiency of the system
从图7可知,在3种状态下采用2个补偿线圈LCP1与LCP2分别对系统进行阻抗匹配,在较大的频率范围内和在3种不连续的耦合距离上分别获得了较为平坦的峰值功率和较高的输出功率,补偿效果明显。
从图8可知,无论系统是否进行了动态阻抗补偿,在135 kHz的频点上都出现了传输效率峰值;随着补偿线圈耦合的增强,造成部分能量交换发生在补偿回路里,导致阻抗动态补偿后的系统传输效率相对于调谐时的传输效率有不同程度的下降,即补偿线圈本身消耗了一部分功率。
(1) 系统在频率分裂的高频分支上的2个补偿线圈LCP1与LCP2之间的广义耦合因子变量τ1的变化对系统输出功率曲线和传输效率曲线向高频方向的移动量有直接影响。
(2) 根据最小耦合距离dp可确定系统最佳工作频率fH,即在补偿回路未加入阻抗补偿时使系统获得最大输出功率的频率分裂的高频频率点,系统以此频率点为工作频率,保持该频率不变,当初次级线圈耦合距离d2在最小耦合距离dp与最大耦合距离dS之间变化时,即d2∈[dp,dS],可通过调节补偿线区间的耦合距离,即调节广义耦合因子τ1值对系统进行阻抗动态补偿,实现系统最大功率输出和较高的传输效率。
参考文献(References):
[1] 程时杰,陈小良,王军华,等.无线输电关键技术及其应用[J].电工技术学报,2015,30(19):68-84.
CHENG Shijie,CHEN Xiaoliang,WANG Junhua,et al.Key technologies and applications of wireless power transmission[J].Transactions of China Electrotechnical Society,2015,30(19):68-84.
[2] HUI S Y R,ZHONG W,LEE C K.A critical review of recent progress in mid-range wireless power transfer[J].IEEE Transactions on Power Electronics,2014,29(9):4500-4511.
[3] KURS A,KARALIS A,MOFFATT R,et al.Wireless power transfer via strongly coupled magnetic resonances[J].Science,2007,317(5834):83-86.
[4] 杨庆新,章鹏程,祝丽花,等.无线电能传输技术的关键基础与技术瓶颈问题[J].电工技术学报,2015,30(5):1-8.
YANG Qingxin,ZHANG Pengcheng,ZHU Lihua,et al.Key fundamental problems and technical bottlenecks of the wireless power transmission technology[J].Transactions of China Electrotechnical Society,2015,30(5):1-8.
[5] SAMPLE A P,MEYER D A,SMITH J R.Analysis,experimental results,and range adaptation of magnetically coupled resonators for wireless power transfer[J].IEEE Transactions on Industrial Electronics,2011,58(2):544-554.
[6] TAN Linlin,YAN Changxin,HUANG Xueliang,et al.Online frequency and power regulation scheme of magnetic coupled resonant wireless power transfer[J].Journal of Southeast University(English Edition),2016,32(2):187-194.
[7] 杨鸣凯,麦瑞坤,徐丹露,等.采用同轴相位检测线圈的感应无线电能传输系统谐振调节技术[J].中国电机工程学报,2017,37(6):1867-1875.
YANG Mingkai,MAI Ruikun,XU Danlu,et al.Coaxial phase detection coil and its application for dynamic resonance tuning in inductive wireless power transfer systems[J].Proceedings of the CSEE,2017,37(6):1867-1875.
[8] 李阳,张雅希,闫卓,等.磁耦合谐振式无线电能传输系统阻抗分析与匹配电路设计方法[J].电工技术学报,2016,31(22):12-18.
LI Yang,ZHANG Yaxi,YAN Zhuo,et al.Impedance analysis and design of matching circuit in wireless power transfer system via coupled magnetic resonances[J].Transactions of China Electrotechnical Society,2016,31(22):12-18.
[9] 刘闯,郭赢,葛树昆,等.具备恒压特性的SP/S感应式无线电能传输系统[J].电工技术学报,2016,31(13):149-154.
LIU Chuang,GUO Ying,GE Shukun,et al.The SP/S inductive power transfer system with constant voltage characteristics[J].Transactions of China Electrotechnical Society,2016,31(13):149-154.
[10] 王维,黄学良,周亚龙,等.双中继无线电能传输系统建模及传输效率分析[J].电工技术学报,2014,29(9):1-6.
WANG Wei,HUANG Xueliang,ZHOU Yalong,et al.Modeling and transmission efficiency analysis of wireless power transmission system with dual relays[J].Transactions of China Electrotechnical Society,2014,29(9):1-6.
[11] 夏晨阳,陈国平,任思源,等.采用新型负载恒流供电复合谐振网络的无线电能传输系统[J].电力系统自动化,2017,41(2):46-52.
XIA Chenyang,CHEN Guoping,REN Siyuan,et al.Wireless power transfer system using composite resonant network for constant-current power supply of load[J].Automation of Electric Power Systems,2017,41(2):46-52.
[12] 罗斌,刘婉,钟晨明,等.磁耦合谐振三线圈无线电能传输的交叉耦合效应及电抗补偿[J].电力系统自动化,2015,39(8):105-112.
LUO Bin,LIU Wan,ZHONG Chenming,et al.Cross coupling effect and reactance compensation method for three-coil magnetic coupling resonant wireless power transmission system[J].Automation of Electric Power Systems,2015,39(8):105-112.
[13] KIM J,JEONG J.Range-adaptive wireless power transfer using multiloop and tunable matching techniques[J].IEEE Transactions on Industrial Electronics,2015,62(10):6233-6241.
[14] LEE W S,OH K S,YU J W.Distance-insensitive wireless power transfer and near-field communication using a current-controlled loop with a loaded capacitance[J].IEEE Transactions on Antennas and Propagation,2014,62(2):936-940.
[15] 辛文辉,华灯鑫,曹忠鲁,等.磁共振式无线电能传输相控电容调谐新方法[J].电机与控制学报,2016,20(12):1-8.
XIN Wenhui,HUA Dengxin,CAO Zhonglu,et al.Tuning method based on phase-cont rol capaciotr for magnetic rseo nant wireless power tranfser[J].Electric Machines and Control,2016,20(12):1-8.
[16] 刘溯奇,谭建平,薛少华,等.多负载无线电能传输系统耦合机理特性分析[J].电力系统自动化,2016,40(18):84-90.
LIU Suqi,TAN Jianping,XUE Shaohua,et al.Analysis on coupling mechanism characteristics of multi-load wireless power transmission system[J].Automation of Electric Power Systems,2016,40(18):84-90.
LIU Suqi1,2, TAN Jianping1,2, WEN Xue1,2
(1.State Key Laboratory of High Performance Complex Manufacturing, Changsha 410083, China; 2.School of Mechanical and Electrical Engineering, Central South University, Changsha 410083, China)
Abstract:In view of the problem that transmission performance of wireless power transmission system is deteriorated with change of coupling distance in over-coupled region and in order to achieve the maximum power output with fixed-frequency mode, a new method was proposed which achieves impedance dynamic compensation by changing the generalized coupled factor variable of two planar spiral coils in primary coil circuit, and the mechanism of impedance dynamic compensation strategy were studied. Firstly, taking E-type double-tube LLC resonant inverter circuit as research object, circuit theory was used to establish model and analyze system output power, transmission efficiency and interaction mechanism of characteristic parameters; the variation law of system output power curve and transmission efficiency curve of the system were obtained, and it is concluded that the generalized coupling factor between two compensation coils has a direct impact on the system output power curve and transmission efficiency curve. Secondly, the mechanism of impedance dynamic compensation strategy was revealed, and an implementation program with fixed-frequency mode was presented. In the end, the correctness and validity of the theoretical analysis were verified by experiments.
Key words:magnetic resonance coupling; wireless power transmission; impedance dynamic compensation; impedance mismatch; fixed-frequency mode; power superposition
文章编号:1671-251X(2017)12-0036-08
DOI:10.13272/j.issn.1671-251x.2017.12.008
中图分类号:TD61
文献标志码:A 网络出版时间:2017-12-06 10:15
网络出版地址:http://kns.cnki.net/kcms/detail/32.1627.TP.20171205.1745.013.html