分析研究
杨长俊1, 张申2
(1.神华宁夏煤业集团有限责任公司 红柳煤矿, 宁夏 灵武 750409;2.中国矿业大学 信息与控制工程学院, 江苏 徐州 221116)
摘要:针对煤矿工作面无线传感器网络传输问题,根据工作面无线通信空间特征,将工作面划分为2个通信空间。采用射线跟踪法分析了液压支架对工作面无线传感器网络节点通信的影响,针对无线信号源定义了工作面信号传输的近区、过渡区和远区,并通过分区数值计算,得出了只有在无线信号源的近区才存在2个通信空间信号耦合的规律。基于工作面2个通信空间的无线信号耦合规律,制定了适用于工作面环境的无线传感器网络节点部署策略,并采用NS2软件进行了仿真分析。仿真结果表明,该工作面无线传感器网络节点部署策略具有较长的网络生存期和较好的数据收发效果。
关键词:煤炭开采; 工作面; 液压支架; 无线传输; 无线传感器网络; 无线信号耦合; 网络节点部署; 射线跟踪法
无线传感器网络(Wireless Sensor Network,WSN)具有自组织、无线通信、分布式自治、维护简便等特点[1]。在煤矿工作面,WSN无线自组网的特点不仅满足工作面复杂环境要求,还可使监测网络有效跟随工作面推进而移动,具有较好的应用意义。
目前对于WSN的研究主要集中在各层网络协议及具体算法上[2],涉及井下信道来整体构建WSN的文献较少。仅有的煤矿WSN研究主要是针对普通隧道情况提出的,并没有专门针对工作面这种具体应用环境进行WSN设计及部署。煤矿工作面是一个十分复杂的隧道环境:工作面是有限的长条形隧道空间,四面分别为煤壁和金属壁,无线传播特性容易受工作面尺寸、设备分布、电磁波频率等因素影响。因此,只有在研究工作面电磁波传输特性和建立节点传播模型的基础上,才能建立适合工作面的WSN。
本文根据煤矿工作面液压支架结构和区域特性定义了工作面的2个通信空间;针对工作面液压支架对节点通信的影响,采用射线跟踪法分析了工作面环境下电磁波传播特性,描述了工作面空间信号传输模式,划分了节点通信的近区、过渡区和远区,并进行了分区的数值计算;根据工作面WSN分区理论,制定了适用于工作面环境的WSN节点部署策略。NS2仿真结果验证了该部署策略可达到较好的数据采集效果,对合理部署煤矿工作面WSN节点具有良好的指导意义。
煤矿工作面是有限空间,其中有采煤机、刮板输送机、液压支架等大型金属设备,人员,以及煤岩等介质,对无线传输有较大影响[3-4]:① 大型金属液压支架会对电磁波产生多次反射或散射,造成多径衰落效应;② 工作面四壁相对于空气来说属于光密媒质,会造成电磁波反射及较大的吸收衰减;③ 工作面中的障碍物、洞孔等因素会干扰电磁波正常传播;④ 井下无线空间的介质成分和密度具有不均匀性和时变性,如温度、湿度、有害气体浓度等不断变化,使电磁波的传播过程复杂化。
工作面宽和高一般为2~5 m,长约100 m。通常情况,人员和设备在液压支架掩护空间内活动,液压支架一般有2排金属支柱,即支架前柱排和支架后柱排。支架柱排将工作面分成2个平行的、通信特性差异明显的隧道空间,称为通信空间1,2,如图1所示。通信空间1即采煤机行进区域,上下壁为支架顶梁和支架底座、刮板输送机等设备,一侧面为金属支柱(支架前柱排),另一侧面为煤壁。在通信空间1内有采煤机沿液压支架排列方向移动。通信空间2即人员行走作业的区域,上下壁为顶梁和底座,两侧为2排支柱(支架前后柱排)。

图1 煤矿工作面的2个通信空间
Fig.1 Two communication spaces on coal face
在众多影响工作面无线通信特性的因素中,液压支架的影响最大[5],这也是工作面区别于其他隧道环境的根本因素。因此本文只考虑金属支柱对无线通信的影响,将图1简化为如图2所示的工作面通信空间(俯视),2个通信空间被金属支柱隔开。

图2 简化的煤矿工作面通信空间
Fig.2 Simplified communication spaces on coal face
要构建工作面WSN,需要进一步了解WSN节点在2个通信空间的传播模型。明确位置的节点布置能够减少节点数,避免节点分布不均匀和重复覆盖,因此工作面更适合采用节点确定部署策略。可将节点悬挂于液压支架上,使WSN与工作面推移保持一致,保证工作面一直在监控范围内。以下将在已知节点与液压支架金属支柱相对位置的前提下,讨论液压支架对节点无线传输的影响。
2.1 液压支架对单个节点传输特性的影响
由于电磁波在工作面传播时存在反射、散射等现象,所以其能量不能按照自由空间理论计算,通常采用经验公式、实际测量[6-7]等方法进行分析,难以得出工作面电磁波传输函数与节点、支柱相关的确切公式。本文采用射线跟踪法[8]分析工作面的电磁波分布情况。射线跟踪法是估算电磁场的近似方法[9],其基本思想:将发射点向各个方向发出的射线作为其发射的电磁波,电磁波在遇到障碍物时发生反射、透射或散射,在接收点将到达的射线叠加,从而实现电磁波传播预测[10]。工作面传输损耗和吸收衰减较大,电磁波直射和一次反射能量较强,而多次反射和散射的能量低于干扰阈值,因此本文只讨论节点在支柱间的直射和一次反射射线,不考虑其他射线。
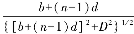
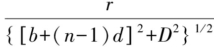
首先分析单个节点的电磁波在支柱间的传输情况。如图2所示,信号源S发出的射线传输到支柱柱面上的能量大部分发生反射,形成反射区域。以S与支柱圆心的连接线为界,将反射区分为前向反射区和后向反射区。图2中,S与各支柱圆心连线左侧的反射区为前向反射区,右侧为后向反射区。支柱按照离S由近到远的顺序依次编号为1,2,…,n;支柱半径为r;相邻支柱间距为d;S到支柱圆心连线的距离为D;1—n号支柱的圆心与S连线的垂直夹角为α1—αn;1—n号支柱前向反射区边界线的垂直夹角为β1—βn,各支柱前向反射区的角度为θ1—θn;S到1号支柱圆心在支柱圆心连线上的投影距离为b。
根据图2可分析归纳出以下结论:
(1) 信号源S与距离近的某个支柱能同时形成前向反射区和后向反射区,而且存在柱排间的直射区域。例如S的信号可通过1号支柱和2号支柱之间的空隙直射到柱排对面的区域,也可通过一次后向反射传输到柱排对面的区域。
(2) 稍远支柱的后向反射区逐渐被较近支柱的前向反射区遮盖,前向反射在该柱面的反射区内占主体,而后向反射减弱。如3号支柱的后向反射区被2号支柱的前向反射区遮盖一部分。发生遮盖后S与柱排对面区域不存在直射射线,所以S信号只有部分射线通过一次后向反射穿过2号支柱和3号支柱间的空隙。
(3) 随着支柱距信号源S越来越远,S与支柱只形成前向反射区,而没有后向反射区。如4号支柱的后向反射区全部被3号支柱的前向反射区遮盖,4号支柱没有后向反射区,所以S发射的信号不能穿过3号支柱和4号支柱间的空隙。
(4) 当支柱距信号源S更远时,前向反射区逐渐被距S较近支柱的前向反射区遮掩。如5号支柱的前向反射区缩小。距S更远支柱的前向反射区将减少为近似的点,此时排列的支柱类似于一面金属墙,S信号的反射类似金属波导壁上的反射。
2.2 分区定义
根据上述分析,对于信号源S,可将工作面空间分为近区、过渡区和远区。
(1) 近区:从S到与某支柱的后向反射区被临界覆盖之间的区域,该区域内支柱与S能同时形成前向反射区和后向反射区,波的反射情况与室内相似。
(2) 过渡区: S与某支柱仅形成明显的前向反射区,该区域内不存在因支柱引起的后向反射波。
(3) 远区:又称金属反射墙区,为距离S较远的区域,该区域内支柱对S信号的作用近似为平面反射。
2.3 分区划分的数值计算
根据图2得出如下公式:
b=Dtanα1
(1)
αn=arcsin
≈
(2)
θn=arcsin
≈
(3)
βn=αn+θn
(4)
drn≈![]()
(5)
式中drn为n号支柱未被n-1号支柱遮挡部分的横向长度。
可见随着n增加,drn不断减小,即距离S越远,柱排越来越近似于光滑金属壁。根据上述分析,可简化3个区域划分(假设drn≤λ/10时,柱排对于S近似为平滑金属壁,其中λ为电磁波波长)。
(1) 近区:从S到满足βn+1-βn≤θn的区域,同时存在前向反射区和后向反射区。
(2) 过渡区:从βn+1-βn≈θn到drn≈λ/10的区域,只有前向反射区。
(3) 远区:drn≤λ/10的区域,近似为平滑金属壁,可采用波导理论分析。
根据矿井实际数据设置参数:D=500 mm,d=1 200 mm,r=150 mm,b=600 mm,α1=π/4。以井下无线通信系统常用的900 MHz信号[11]为例,λ/10≈33.33 mm。分区计算结果见表1。
从表1可看出,1号支柱与4号支柱之间为近区,5号支柱与12号支柱之间为过渡区,12号支柱以外为远区。距S 0~4 m为近区,4~14 m为过渡区,14 m外为远区。过渡区的范围不仅与工作面尺寸、S位置、支架等有关,还与信号频率相关。当WSN节点工作频率为2.4 GHz时,λ/10=12.5 mm。近区范围不变,过渡区延长至距S23 m,23 m外为远区。3个区域对S信号传输的特性不同:在近区,支柱对S的作用类似于室内漫反射;在过渡区只有前向反射,但反射角不固定,特性介于近区和远区之间;在远区,支柱对S来说近似于波导壁,适合用隧道无线传输的帐篷定律[12]来描述。
2.4 工作面2个通信空间之间的信号耦合规律
根据工作面分区理论可知,近区存在2个通信空间之间的射线直射或一次反射效应,即2个空间存在信号耦合;在过渡区,2个通信空间基本不存在信号的直射或一次反射效应,所以基本不存在2个区间的耦合通信;在远区,金属壁效应使2个通信空间相互隔离。由此得出工作面2个通信空间的无线信号耦合规律——TCSC(Two Communication Spaces of Coalface)耦合规律。
表1 分区计算结果
Table 1 Each area calculation result

TCSC耦合规律: 煤矿工作面液压支架2排支柱将工作面空间分为2个通信空间,对于在任一通信空间的无线信号源S,只有在S的近区存在2个通信空间的信号耦合。近区大小仅与支架参数及信号源S的位置有关,与信号频率无关。
TCSC耦合规律可用于指导工作面WSN节点布置:① 仅在工作面的1个通信空间布置WSN节点,不易实现整个工作面可靠的无线全覆盖。② 在2个通信空间分别布置WSN节点,当2个通信空间中相邻节点相距2个近区距离以上时,2个WSN是相互独立的,如单个节点的近区范围为4 m,当2个通信空间中节点相距8 m以上时,2个空间的WSN是相互独立的。此时路由简单,数据吞吐量大。③ 若2个不同通信空间的2个相邻节点在近区范围内,则这2个WSN组成相互耦合的网络,此时相互之间有冗余通道,但路由相对复杂。
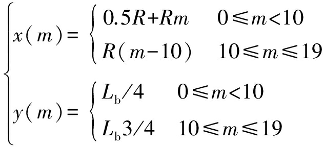
以2个通信空间相互独立的WSN节点部署策略为例来说明TCSC耦合规律的应用。NS2仿真模型为
node(m,x,y)=

(6)
式中:m为节点数;(x,y)为节点位置;R为节点最大通信半径;Lb为WSN宽度。
采用NS2仿真工作面200 m×2 m(长×宽)区域内WSN运行情况。该区域为带状,长度与宽度比值较大,需采用多跳路由。结合最小传输能量的多跳路由算法[13],比较基于TCSC耦合规律的工作面固定部署、工作面随机部署、普通巷道固定部署和普通巷道随机部署4种网络的运行结果,其中普通巷道是指巷道区域内不存在液压支架,工作面是指巷道内有液压支架。结合工作面尺寸和特性配置NS2场景参数,见表2。其余参数同文献[14-15]。
表2 NS2场景参数
Table 2 NS2 scene parameters

仿真中对液压支架对工作面无线通信的影响进行了简化,即通过设置接收和感知阈值,使位于2个通信空间中近区以外的节点不能直接通信。网络死亡节点数随时间的变化如图3所示,可看出不同仿真场景的死亡节点数有较明显的差别,其中普通巷道固定部署网络的生存期明显优于其他部署方式,这是因为在一般环境场景中,节点路由不受液压支架的限制,从而能选择能耗更小的路径。基于TCSC耦合规律的工作面固定部署略好于工作面随机部署和普通巷道随机部署,说明在工作面环境下,基于TCSC耦合规律的固定部署策略对于延长WSN工作时间有一定效果。

图3 网络死亡节点数
Fig.3 Number of dead network nodes
所有节点发送(共2 000个数据包)且被基站成功接收的数据量如图4所示,可看出4组仿真有效发送的数据量随时间而增加。其中基于TCSC耦合规律的工作面固定部署网络的有效发送数据总量远大于其他部署方式,这是因为2个通信空间的节点分别处于彼此近区之外,2个通信空间的节点相互独立,只有同一个空间的节点能相互通信,减少了2个通信空间节点间的干扰和丢包,使数据传输更有效。分2个通信空间部署节点还具有以下优点:2个通信空间特性不同,根据不同特征布置节点,使网络覆盖和连通性更好;即使某个通信空间的节点因能量耗尽或其他原因无法继续工作,另一个通信空间的节点仍能正常工作,使网络具有较强的鲁棒性。

图4 网络有效发送数据量
Fig.4 Number of effective network sending data
仿真结果表明,在其他条件相同的情况下,基于TCSC耦合规律的固定部署网络仿真结果优于随机部署网络,网络有效数据发送量比随机部署网络平均增加了50%,且提高了网络的稳定性。同时,固定部署网络的覆盖率基本为100%。工作面场景和普通巷道场景的对比结果表明,单纯从通信协议的角度设计网络的适用范围有限,因此在实际应用中需要结合具体的环境和通信特征来组网。
讨论了WSN在煤矿工作面具有的特殊性,将工作面划分成2个通信空间。采用射线跟踪法分析了电磁波在工作面液压支架环境中的传播特性,定义了工作面WSN节点的近区、过渡区和远区,推导并计算出分区划分的数值。根据TCSC耦合规律,提出了工作面2个通信空间WSN节点部署策略。仿真结果表明,该工作面WSN节点部署策略具有较好的网络生存期,减少了通信冲突率和冗余覆盖等,使得网络数据收发效率较高。
参考文献(References):
[1] YU L M,LI A Q,SUN Z,et al.Design of monitoring system for coal mine safety based on wireless sensor network [C]//IEEE/ASME International Conference on Mechatronics and Embedded Systems and Applications,Beijing:409-414.
[2] GUO Y L,WANG Q P,HUANG H,et al.The research and design of routing protocols of wireless sensor network in coal mine data acquisition[C]//Proceedings of International Conference on Information Acquisition,Seogwipo-si: 25-28.
[3] NIU X G,HUANG X,ZHAO Z,et al.The design and evaluation of a wireless sensor network for mine safety monitoring[C]//IEEE Global Telecommunications Conference,Washington,2007:1291-1295.
[4] 田成金.采煤工作面内短距离无线通信实验研究[J].煤矿开采,2006,11(5):6-8.
TIAN Chengjin. Experiment research of short-distance wireless communication in coal mining face[J].Coal Mining Technology,2006,11(5):6-8.
[5] 魏占永,孙继平,陆俭国.隧道横截面对电磁波传播特性的影响[J].电子科技大学学报,2003,32(6):620-623.
WEI Zhanyong,SUN Jiping,LU Jianguo.Effects of cross sections of tunnel on propagation characteristics of electromagnetic waves[J].Journal of University of Electronic Science and Technology of Chine,2003,32(6):620-623.
[6] YANG X X, LU Y M.Research on propagation characteristics of millimeter wave in tunnels [J].International Journal of Infrared and Millimeter Waves,2007,28(10):901-909.
[7] 王正斌,毛巍威,秦卫平.隧道内圆极化电磁波传播特性的研究[J].南京邮电大学学报(自然科学版),2009,29(2):47-50.
WANG Zhengbin,MAO Weiwei,QIN Weiping.Study on the propagation properties of the circular polarized wave in a long tunnel[J].Journal of Nanjing University of Posts and Telecommunications(Natural Science),2009,29(2):47-50.
[8] BURGHELEA R, AVRILLON S,UGUEN B.Efficient ray tracing post-processing schemes for UWB-IR channel simulation[C]//IEEE Antennas and Propagation Society International Symposium,Charleston,2009:1-4.
[9] LIN P D, JYWE W,CHEN C J.General method for determining the sensor readings of motion measurement systems by using skew-ray tracing method [J].Optik-International Journal for Light and Electron Optics,2009,120(6):257-264.
[10] YANG B, WANG Y T,LIU Y,et al.Efficient ray-tracing for free-form reflectors [J].Optik-International Journal for Light and Electron Optics,2009,120(1):40-44.
[11] 孙继平,张长森.梯形隧道中电磁波的传播特性[J].中国矿业大学学报,2003,23(1):64-67.
SUN Jiping,ZHANG Changsen.Propagation characteristic of electromagnetic wave in trapezium tunnel[J].Journal of China University of Mining & Technology,2003,23(1):64-67.
[12] 张申.隧道无线电射线传输规律的研究[J].电波科学学报,2002,17(2):114-118.
ZHANG Shen.Study on the law of radio ray transmission in tunnel[J].Chinese Journal of Radio Science, 2002,17(2):114-118.
[13] HEINZELMAN W R, CHANDRAKASAN A,BALAKRISHNAN H.Energy-efficient communication protocols for wireless microsensor networks[C]//Proceedings of the 33rd Hawaii International Conference on System Sciences,Maui,2000:8020-8029.
[14] ZHANG J G, LI W B,CUI D X,et al.The NS2-based simulation and research on wireless sensor network route protocol[C]//Proceedings of the 5th International Conference on Wireless Communications,Networking and Mobile Computing,Beijing,2009:1-4.
[15] ZHANG J G, LI W B,ZHAO X L,et al.Simulation and research on data fusion algorithm of the wireless sensor network based on NS2[C]// World Congress on Computer Science and Information Engineering,Los Angeles,2009: 66-70.
YANG Changjun1, ZHANG Shen2
(1.Hongliu Coal Mine, Shenhua Ningxia Coal Group Co., Ltd., Lingwu 750409, China; 2.School of Information and Control Engineering, China University of Mining and Technology, Xuzhou 221116, China)
Abstract:For the problem of wireless sensor network (WSN) transmission on coal face, communication space of coal face was divided into two spaces according to its wireless communication characteristics. Influence of hydraulic supports on WSN node communication of coal face was analyzed by use of ray tracing method, and three signal transmission areas on coal face were defined for wireless signal source, which were near area, transitional area and far area. Numerical calculation of each signal transmission area was taken out, and a law was gotten that signal coupling of two communication spaces was only in the near area of wireless signal source. A strategy of WSN node distribution on coal face was proposed according to the law, which was simulated in NS2 soft. The simulation results show that the strategy has long network lifetime and good effect of date receiving and sending.
Key words:coal mining; coal face; hydraulic support; wireless transmission; wireless sensor network; wireless signal coupling; network node distribution; ray tracing method
收稿日期:2017-03-01;
修回日期:2017-09-20;责任编辑李明。
基金项目:“十二五”国家科技支撑计划资助项目(2013BAK06B05)。
作者简介:杨长俊(1967-),男,宁夏隆德人,高级工程师,现主要从事煤矿机电设备管理工作,E-mail:742061688@qq.com。
引用格式:杨长俊,张申.煤矿工作面无线信号耦合规律分析[J].工矿自动化,2017,43(11):48-53.
YANG Changjun,ZHANG Shen.Analysis of wireless signal coupling law on coal face[J].Industry and Mine Automation,2017,43(11):48-53.
文章编号:1671-251X(2017)11-0048-06
DOI:10.13272/j.issn.1671-251x.2017.11.010
中图分类号:TD67
文献标志码:A 网络出版时间:2017-10-27 08:55
网络出版地址:http://kns.cnki.net/kcms/detail/32.1627.TP.20171027.0855.010.html