韩楠楠1,2,3, 程园新1,2,3, 刘晓文1, 赵端1,2,3, 王昕1,2,3
(1.中国矿业大学 信息与控制工程学院, 江苏 徐州 221008;2.矿山互联网应用技术国家地方联合工程实验室, 江苏 徐州 221008;3.中国矿业大学 物联网(感知矿山)研究中心, 江苏 徐州 221008)
摘要:针对现有煤岩混合物煤含量判别方法存在测量时间长、误差大等问题,提出了一种基于相位差检测的煤岩混合物煤含量判别方法。通过实验得到了煤岩混合物煤含量与电容之间的关系,进而合理选取相位差检测电路各参数,通过数值模拟和电路仿真分析相位差和煤含量之间的关系。结果表明,相位差为正时,煤含量低于煤炭可开采的最低煤含量阈值,相位差为负时,煤含量高于煤炭可开采的最低煤含量阈值,通过检测相位差正负能准确地判断煤含量是否达到煤炭可开采的最低煤含量阈值要求。
关键词:煤炭开采; 煤岩混合物; 煤含量; 相位差
Abstract:In view of problems of long measuring time and big error existed in current coal content recognition methods of coal-rock mixture, a coal content recognition method of coal-rock mixture based on phase difference detection was proposed. Relationship between coal content of coal-rock mixture and capacitance was gotten through experiment, parameters of phase difference detection circuit were chosen reasonably, and relationship between phase difference and the coal content was analyzed through numerical simulation and circuit simulation. The results show that coal content is lower than the minimum coal content threshold of coal mining when phase difference is positive, and coal content is higher than the minimum coal content threshold of coal mining when phase difference is negative, which indicate whether coal content achieves the minimum coal content threshold of coal mining can be judged accurately through detecting positive or negative of phase difference.
Keywords:coal mining; coal-rock mixture; coal content; phase difference
在冶金、煤炭等动力工业中,煤含量是一个重要技术指标,对经济效益有重大影响[1-3]。陈凯等[4]利用ZZ-89B型煤灰分测定系统测量煤岩混合物中煤含量,测量误差较小,但测量时间较长;荣绍斌等[5]利用快速灰化法对煤岩样品进行化验,较快地测定出煤含量,但测量结果易受人员、设备等因素影响,测量误差较大;穆海军[6]分析了影响煤含量测量准确度的因素,但未提出提高测量准确度的有效方法。本文将煤含量作为煤炭可否开采的一个指标,提出了一种基于相位差检测的煤岩混合物煤含量判别方法。
相位差检测电路如图1所示,其中
为激励电压
为负载电压,R为负载,L为电感,C为可变电容。

图1 相位差检测电路
Fig.1 Phase difference detection circuit
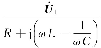
假设
的角频率为ω、初始相位为0,根据欧姆定律可得电路电流[7]:
=
(1)
则有
(2)
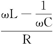
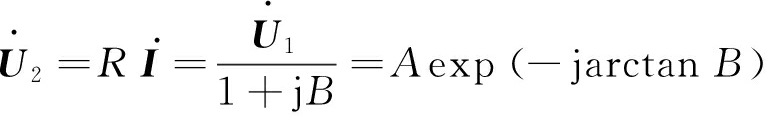
式中:A=
;B=
。
之间的相位差为[8]
Δθ=arctan
(3)
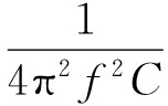
RLC串联电路谐振时[7],可得
L=![]()
(4)
式中f为激励频率,f=ω/2π。
煤岩混合物中煤含量的改变必然引起煤岩混合物介电常数的变化。为探究煤含量与电容的关系,采用Wayne Kerr 6500B精密阻抗分析仪及WK 1J1020测试夹具进行实验。Wayne Kerr 6500B精密阻抗分析仪的工作频率为20 Hz~120 MHz,测量精度为±0.05%,为避免外界环境对测量结果的干扰,测量前需对其进行开路校准、短路校准和高频补偿[9];WK 1J1020测试夹具最高测量频率为40 MHz,测试电容的极板间距可通过夹具上端的千分尺准确测量。
实验所用煤样和岩样均取自山东省济宁市兖州煤业股份有限公司,煤样为褐煤,岩样为砂岩。首先使用排水法测得煤样、岩样密度分别为1.478 8,2.664 7 g/cm3,然后利用连续式粉碎机研磨煤样、岩样制成煤粉、岩粉。按照煤粉、岩粉体积比分别为10∶0,9∶1,8∶2,7∶3,6∶4,5∶5,4∶6,3∶7,2∶8,1∶9,0∶10制备煤岩混合物样品。由于粉状样品的体积难以测量,根据煤样、岩样密度分别计算不同体积比对应的煤粉、岩粉质量,用电子天平秤分别称量、均匀混合后放入等体积容器中。选取对电容测量结果影响较小的纸盒作为盛放样品的容器。
将制备好的煤岩混合物样品依次放入WK 1J1020测试夹具中,利用Wayne Kerr 6500B精密阻抗分析仪依次测量激励频率为10,20,30,50,100,500,1×103,1×104,2×104,3×104kHz时不同煤含量样品对应的电容,测量结果如图2所示。

图2 不同激励频率下煤含量和电容关系
Fig.2 Relationship between coal content and capacitance under different excitation frequencies
从图2可看出,煤含量与电容存在单调的一一对应关系。因此,可用电容来表征煤含量。然而,皮法级电容检测对仪器精度要求较高[10]。由式(3)可知电容的改变会引起相位差变化,且相位差检测技术较为成熟[11],因此可从电路相位差的角度判断煤岩混合物中煤含量。
3.1.1 谐振电感、激励频率和负载选取
假设煤含量60%为判断煤炭可开采的最低煤含量阈值,根据煤含量60%对应的电容选择谐振电感和激励频率。由式(4)计算煤含量60%时不同激励频率对应的谐振电感,结果见表1。
表1 煤含量为60%时不同激励频率对应的谐振电感
Table 1 Resonant inductance under different excitation frequencies when coal content is 60%

由于常见电感的取值范围为0.1 μH~10 mH,从表1可看出,谐振电感宜选择0.030 155 H及以下,并通过电感串联实现[12]。根据谐振电感的取值范围,激励频率应选择500 kHz及以上,但激励频率过高对电路的要求更高,因此选择0.030 155 H作为谐振电感,500 kHz作为激励频率[13]。
为使电容的改变获得更明显、直观的相位差变化,经式(3)计算,选择10 kΩ作为相位差检测电路的负载。
3.1.2 相位差数值模拟
在Matlab中根据式(3)计算不同煤含量对应的相位差,结果见表2。可看出煤含量高于60%时相位差为负,煤含量低于60%时相位差为正,依据相位差正负能直观地判断煤含量是否超过煤炭可开采所需达到的最低煤含量阈值。
表2 相位差数值模拟结果
Table 2 Numerical simulation results of phase difference

利用PSCAD和Matlab搭建相位差检测电路仿真模型,仿真模型中各元件参数与数值模拟的参数一致。首先在PSCAD中测量激励电压和负载电压波形,再将这2组波形数据导入Matlab中,在Matlab中通过检测激励电压、负载电压波形的峰值计算相位差。首先根据采样频率和信号周期确定1个采样区间,然后在该采样区间寻找激励电压峰值、负载电压峰值对应的采样点横坐标[14],最后将2个采样点横坐标的差值Δx与整个采样区间的长度x相除再乘以2π,即可得到激励电压与负载电压之间的相位差,即
Δθ=2π![]()
(5)
2个角频率相同的正弦量之间相位差的取值范围为[-π,π][15],由于本文中激励电压与负载电压之间的相位差取值范围为[-
,
],所以相位差表达式修正为[8]
Δθ=2π
-π
(6)
3.2.1 采样频率选取
将波形数据从PSCAD导入Matlab的过程中,采样频率对相位差仿真结果的准确性起决定作用。根据奈奎斯特采样定理,采样频率应至少为信号频率的2倍,且采样频率越高,激励电压峰值、负载电压峰值对应的采样点取值越精确,相位差计算误差越小。
以煤含量50%对应的电容作为电路仿真模型的电容参数,得到不同采样频率下相位差仿真结果,见表3。从表3可看出,采样频率在5×107Hz及以上时,相位差仿真结果与表2中煤含量50%时的相位差数值模拟结果24.52°相接近。一般情况下,常见示波器的实际采样频率最高为100 MHz,因此选择5×107Hz作为电路仿真模型的采样频率。
表3 煤含量为50%时不同采样频率下相位差仿真结果
Table 3 Simulation results of phase difference under different sampling frequencies when coal content is 50%

3.2.2 相位差仿真结果
根据不同煤含量设置对应的仿真模型电容,得到相位差仿真结果,见表4。
表4 相位差仿真结果
Table 4 Simulation results of phase difference

根据表2、表4可得不同煤含量对应的相位差数值模拟结果和仿真结果对比曲线,如图3所示。可看出仿真结果与数值模拟结果基本一致,表明相位差检测电路中各参数选取合理、准确,验证了基于相位差检测的煤岩混合物煤含量判别方法的有效性。
将块状的煤、岩研磨、加工制备成煤岩混合物样品,通过实验得出煤岩混合物的煤含量与电容的关系;合理选取相位差检测电路各参数,通过数值模拟和电路仿真分析相位差和煤含量的关系。结果表明,通过检测相位差正负能直观地判断煤含量是否达到煤炭可开采的最低煤含量阈值要求,为煤含量判别提供了一种新方法。

图3 不同煤含量对应的相位差数值模拟结果和仿真结果对比曲线
Fig.3 Comparison curves of numerical simulation results and circuit simulation results of difference phase under different coal contents
参考文献(References):
[1] 韩银成.煤质检验在选煤过程中的指导作用[J].山东工业技术,2017(16):59.
HAN Yincheng.Guiding function of coal quality test in coal preparation process[J].Shandong Industrial Technology,2017(16):59.
[2] 张海阳,匡亚莉,刘春华.基于.Net架构选煤标准管理系统[J].选煤技术,2012(3):63-65.
ZHANG Haiyang,KUANG Yali,LIU Chunhua.Research on coal preparation standard management system base on .Net framework[J].Coal Preparation Technology,2012(3):63-65.
[3] 潘三梅.我国煤炭检测方法标准化现状及其发展[J].科技创新与应用,2014(20):69-70.
PAN Sanmei.Current status and development of standardization of coal inspection methods in China[J].Technology Innovation and Application,2014(20):69-70.
[4] 陈凯,王丽君,白巧枝.多煤种灰份快速测定系统的应用[J].河南冶金,1996(4):53-54.
CHEN Kai,WANG Lijun,BAI Qiaozhi.The application of rapid determination system of multi coal ash[J].Henan Metallurgy,1996(4):53-54.
[5] 荣绍斌,丁继昌.煤中灰份的快速测定[J].鸡西大学学报(综合版),2002(3):51.
RONG Shaobin,DING Jichang.Quick check of dust element in coal[J].Journal of Jixi University(Comprehensive Edition),2002(3):51.
[6] 穆海军.影响煤的灰分测定准确度的因素[J].技术与市场,2013,20(11):52.
MU Haijun.Factors affecting the accuracy of ash determination in coal[J].Technology and Market,2013,20(11):52.
[7] 程亚洲,徐建强,咸夫正,等.RLC串联谐振电路实验的相关问题探讨[J].物理实验,2017,37(6):32-33.
CHENG Yazhou,XU Jianqiang,XIAN Fuzheng,et al.Some problems in the experiment of RLC series resonance circuit[J].Physics Experimentation,2017,37(6):32-33.
[8] 杨三三,贾豫东,张晓青.一种带超前滞后检测的数字相位差测量仪[J].现代计算机,2016(36):67-70.
YANG Sansan,JIA Yudong,ZHANG Xiaoqing.A digital phase difference measuring instrument with lead and lag detection[J].Modern Computer,2016(36):67-70.
[9] 仇亚芳,杜明星,窦汝振,等.屏蔽层对电缆寄生参数的影响分析[J].电测与仪表,2015,52(20):47-50.
QIU Yafang,DU Mingxing,DOU Ruzhen,et al.The influence analysis of shielding layer on cable parasitic parameter[J].Electrical Measurement & Instrumen-tation,2015,52(20):47-50.
[10] 云子,骆玉霞,崔晶.pF级电容式变换器性能检测系统的设计[J].电子测量技术,2015,38(8):104-108.
YUN Zi,LUO Yuxia,CUI Jing.System design for performance test of pF capacitive transducer[J].Electronic Measurement Technology,2015,38(8):104-108.
[11] 曾玲,陈伟,陶金.低信噪比正弦信号相位差测量算法对比研究[J].电子测量技术,2017,40(1):71-75.
ZENG Ling,CHEN Wei,TAO Jin.Comparative study of the phase difference measurement algorithms for low signal to noise ratio sine signal[J].Electronic Measurement Technology,2017,40(1):71-75.
[12] 吴炜,严利平,鲍志业,等.电感传感器金属探测定位系统设计[J].单片机与嵌入式系统应用,2015,15(5):54-56.
WU Wei,YAN Liping,BAO Zhiye,et al.Metal detecting and positioning system based on inductance sensor[J].Microcontrollers & Embedded Systems,2015,15(5):54-56.
[13] 王保坡,杜劲松,田星,等.基于混合遗传算法的去耦电容网络设计[J].电子技术应用,2015,41(7):146-149.
WANG Baopo,DU Jinsong,TIAN Xing,et al.Design of decoupling capacitor network based on hybrid GA[J].Application of Electronic Technique,2015,41(7):146-149.
[14] 吴静,金海彬.高准确度的相位差测量方法[J].中国电机工程学报,2010,30(13):41-45.
WU Jing,JIN Haibin.High accurate measurement method on phase difference[J].Proceedings of the Chinese Society for Electrical Engineering,2010,30(13):41-45.
[15] 宋鑫超,刘启明,苏庆堂.基于FFT最大谱线处相位差的频谱校正方法[J].控制工程,2017,24(5):1086-1089.
SONG Xinchao,LIU Qiming,SU Qingtang.Spectrum correction method based on FFT maximum spectrum phase difference[J].Control Engineering of China,2017,24(5):1086-1089.
HAN Nannan1,2,3, CHENG Yuanxin1,2,3, LIU Xiaowen1, ZHAO Duan1,2,3, WANG Xin1,2,3
(1.School of Information and Control Engineering, China University of Mining and Technology, Xuzhou 221008, China; 2.The National and Local Joint Engineering Laboratory of Internet Technology on Mine, Xuzhou 221008, China; 3.Internet of Things (Perception Mine) Research Center, China University of Mining and Technology, Xuzhou 221008, China)
中图分类号:TD67
文献标志码:A 网络出版时间:2017-09-27 14:51
网络出版地址:http://kns.cnki.net/kcms/detail/32.1627.TP.20170927.1451.014.html
文章编号:1671-251X(2017)10-0069-05
DOI:10.13272/j.issn.1671-251x.2017.10.014
收稿日期:2017-05-27;
修回日期:2017-09-07;责任编辑盛男。
基金项目:江苏省产学研联合创新资金前瞻性联合研究资助项目(BY2015023-04);江苏省研究生培养创新工程项目(KYLX_1385)。
作者简介:韩楠楠(1992—),女,河南三门峡人,硕士研究生,主要研究方向为煤岩识别技术,E-mail:hannan545@163.com。
引用格式:韩楠楠,程园新,刘晓文,等.基于相位差检测的煤岩混合物煤含量判别方法[J].工矿自动化,2017,43(10):69-73. HAN Nannan,CHENG Yuanxin,LIU Xiaowen,et al.Coal content recognition method of coal-rock mixture based on phase difference detection[J].Industry and Mine Automation,2017,43(10):69-73.