张宇通, 刘启蒙, 蔡梦雅, 赵晋, 叶梅, 张丹丹
(安徽理工大学 地球与环境学院, 安徽 淮南 232001)
摘要:针对现有顶板稳定性评价方法存在准确性较差、可操作性不强等问题,提出将可拓学理论应用于煤层顶板稳定性分析中。针对潘谢外围3煤层顶板稳定性问题,以断裂分维值、硬岩比例系数、直接顶强度系数、统计厚度内岩层层数为评价指标,综合四分法和数理统计分析确定各评价指标的分级标准,结合灰色关联度法和可拓学物元模型对顶板稳定性做出了评价。评价结果表明,潘谢外围稳定区占较大面积,中等稳定区零星分布,不稳定区和极不稳定区分布于外围中部、F66断层和岩浆岩侵入区附近;南部顶板总体稳定性较好,北部和南部局部地区顶板稳定性较差,主要与岩浆侵蚀有关;自西北向东南,F66断层对附近煤层顶板稳定性影响逐渐减小。
关键词:煤炭开采; 顶板稳定性; 可拓学物元理论; 灰色关联度法; 断裂分维值; 硬岩比例系数; 直接顶强度系数
Abstract:In view of problems of poor accuracy and weak maneuverability existed in roof stability evaluation methods, the extension theory was applied to stability analysis of coal seam roof. For problem of roof stability of No.3 coal seam of Panxie peripheral, fault fractal value, hard-rock ratio, strength coefficient of immediate roof and number of layers in the statistical thickness were used as evaluation factors. And classification standard of each factor was determined by quartering and mathematical statistics analysis. Finally, the grey relation method and the extension matter-element model were used to evaluate roof stability. The evaluation results show that stable region has a large area in Panxie peripheral, mid-stable zone is scattered, unstable and extreme unstable areas are located in the central of peripheral and the vicinity of F66 fault and magmatic intrusive area; the overall roof stability in the south is better, while roof stability in the northern and southern parts is poor, which mainly related to magmatic erosion; from northwest to southeast, the influence of F66 fault on roof stability of nearby coal seam decreases gradually.
Keywords:coal mining; roof stability; extension matter-element theory; grey relation method; fault fractal value; hard-rock ratio; strength coefficient of immediate roof
煤层顶板稳定性是其内在结构和外部荷载综合作用的结果,宏观表现为顶板完整性程度及应力响应特征的不同[1]。由于地质体本身具有不均一性和各向异性,它的受力状态难以准确测量和模拟,所以,顶板稳定性评价常利用定性和定量指标。此外,勘查阶段钻孔间距较大,实测点数据只能较准确代表测点周围情况,对于测点间顶板稳定性,通过不同测点推测的结果可能矛盾。文献[2]用顶板沉积环境及其与工程地质、水文地质的关系进行分析,得到了顶板岩层形成时的稳定性及其含水层的分布、富水性等水文地质特征,结果较为可信,但理论性太强,现场应用可行性值得商榷。文献[3]用煤层顶板岩性组合特征、岩石质量指标(RQD)、测井曲线和岩石力学性质等数据综合评定顶板稳定性,适合现场工作,但得到的结果较粗糙。文献[4-5]利用模糊综合评判、单因素分析相结合的方法确定顶板稳定性,评价指标权重由专家评分确定,主观性较强,难以推广。上述方法在评价准确性、可操作性和可推广性方面不同程度地存在缺陷。文献[6]提出的可拓学理论很好地解决了上述问题。该理论利用形式化工具,从定性和定量2个角度研究不相容问题的转换规律和解决方法[7],比较适合顶板稳定性评价。该理论在泥石流危险性[8]、黄土斜坡稳定性[9]评价中得到了较好的应用。本文拟采用可拓学物元理论,结合灰色关联度法对潘谢矿区外围3煤层顶板稳定性进行评价。
潘谢矿区外围(以下简称外围)位于潘谢矿区东部,区内潘集背斜轴向为北西西向。北翼受南倾的F66逆断层和北倾的明龙山逆断层切割,地层走向由近东西向变为北北西向。背斜两翼的西北边缘有岩浆侵入,但分布范围小。
由外围43个揭露3煤层的钻孔可知,3煤层顶板以细、中砂岩为主,次为泥岩或砂质泥岩,泥岩、粉砂岩、砂岩的抗压强度分别约为24.04,46.37,57.88 MPa。根据文献[10]中的含煤岩系岩石力学强度类型划分方法,确定覆岩岩性为中硬。根据厚煤层分层开采垮落带和导水裂缝带高度计算经验公式[11]可得,垮落带高度为10.45±2.2 m,导水裂缝带高度为39.28±5.6 m,“两带”高度为42.28~57.88 m,平均高度为50.08 m。
由于不同矿区的开采条件、勘探程度不同,能够获取的地质资料的详实程度也不同。外围尚处于勘探阶段,结合文献[12-13],笔者拟采用断裂分维值、硬岩比例系数、直接顶强度系数、统计厚度内岩层层数作为评价指标。
直接顶强度系数计算公式见式(1)。砂岩包括粗砂岩、中砂岩和细砂岩,泥质岩包括泥岩、砂质泥岩、砂泥岩互层及炭质泥岩。砂岩、粉砂岩、泥质岩权重分别为1.00、0.80、0.42,由抗压强度的统计值计算得到。直接顶岩层在回采后短期即垮落,取垮落带高度10.45 m为直接顶厚度,“两带”高度之和为顶板稳定性研究的统计厚度。
S=![]()
(1)
式中:S为直接顶强度系数;h1为砂岩厚度,m;h2为粉砂岩厚度,m;h3为泥质岩厚度,m。
评价指标是根据矿区的实际情况并结合经验确定的,相应的分级标准不一定通用。在自然现象中,大量随机变量服从或近似服从正态分布[14]。变量分布在区间(μ-σ,μ+σ)、(μ-2σ,μ+2σ)、(μ-3σ,μ+3σ)的概率依次为68.26%、95.44%、99.74%,此即“3σ原则”,其中μ为均值,σ为标准差。文中假设影响顶板稳定性因素的值也服从或近似服从正态分布,应用“3σ原则”,以μ-σ,μ,μ+σ处的值为分界点来划分评价指标稳定性等级。个别数据有所调整。
上述方法为纯数学方法。笔者又将各个评价指标的统计值从小到大排列,取1/4、2/4和3/4处的值作为稳定性等级划分的临界值,此即实际生产中经常采用的“四分法”。取2种分类结果的平均值,评价指标稳定性等级划分结果见表1。
表1 评价指标稳定性等级划分结果
Table 1 Division result of stability level of evaluation index

在煤层顶板稳定性评价中,建立可拓学物元模型。其中经典域模型、节域模型、待评价物元模型分别如式(2)—式(4)所示。

(2)
式中:Ri为钻孔N确定的顶板稳定性等级为i(i=1,2,3,4)时的钻孔各个评价指标的取值范围;Vij为等级i下第j个评价指标xj(j=1,2,3,4)的取值范围,Vij=<aij,bij>。

(3)
式中:Rp为所有评价指标取值范围的全体;p为外围所有钻孔的全体;Vpj为第j个评价指标xj的最大取值范围,Vpj=<apj,bpj>。

(4)
式中:R为待评价物元;vj为钻孔N的评价指标xj的实际取值。
经典域的建立为顶板稳定性评价确立了分级标准,节域则确定了评价指标的最大取值范围,即未发生质变的临界区间。通过建立经典域和节域,为顶板物元模型提供了评价依据,将定性评价和定量评价结合起来,为关联函数和关联度的计算打下基础。煤层顶板稳定性等级的经典域和节域见表2。
表2 煤层顶板稳定性等级的经典域和节域
Table 2 Classical field and joint domain of coal seam roof stability

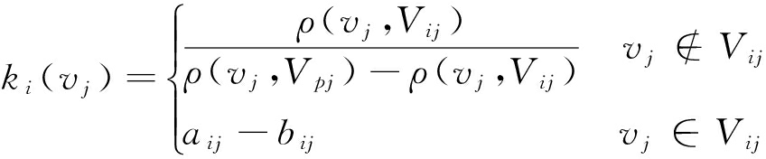
为了将事物具有某种性质的程度用数学的方法表示出来,可拓学中引入了“距”的概念来确定关联函数。根据评价指标实际取值在其对应的经典域、节域的位置,得到该指标隶属于该经典域的程度,实现由“类内为同”向“类内存异”的精确划分。评价指标实际取值与其对应的经典域、节域的位置关系可由关联函数综合表示。

(5)
式中:ki(vj)为评价指标xj属于等级i的程度,即关联函数值;ρ(vj,Vij),ρ(vj,Vpj)分别为评价指标值vj与经典域Vij=<aij,bij>及节域![]()
评价指标权重的确定方法有专家经验法、层次分析法、首尾比率法、聚类权法和主成分因子分析法[15-16]、灰色关联度法[17]等。其中,专家经验法、层次分析法对于缺少经验的研究者并不合适。首尾比率法以首尾标准值的变化程度确定权重,当某一指标变化范围较大,但对总体的重要性较小时,赋予其较大权重并不合理。聚类权重法仅适用于一个样本的综合评价,对多个样本难以综合考虑。主成分因子分析法对评价指标指示信息的准确性要求较高,不适用于实际应用。
灰色关联度法不要求样本数据的量,适合样本有限的情况,同时计算量小,不会出现量化结果与定性分析结果不一致的情况。该方法是唯一一种将数据与几何图形发展态势相结合的求权方法,通过关联度大小来判断评价指标与参考数列的关联程度。利用灰色关联度法确定评价指标权重可以较好地反映实际情况。灰色关联度法首先要确定参考数列。因为硬岩比例系数的资料直接来源于钻孔统计,能够较直接、较准确地反映顶板稳定性,笔者将该因素列为参考数列。
3.3.1 数据标准化处理
相比其他数据处理方法,均值化处理可以保留各指标变异程度的信息[18],故采用式(6)对原始数据进行处理,处理结果见表3。
=![]()
(6)
式中:
为均值化处理后的评价指标;xi为原始评价指标;
i为原始评价指标的平均值。
表3 均值化处理后的评价指标值
Table 3 Evaluation index value after mean processing

3.3.2 评价指标数列相对参考数列的绝差数列
从几何的角度来看,关联程度实质上是参考数列曲线与评价指标数列曲线的相似程度。两数列对应点的绝对差可以作为关联程度的衡量标准,而其中绝对差的极值可以反映出关联程度的极端状态。
(7)
(8)
(9)
式中
(k)、
(k)分别为参考数列、评价指标数列均值化处理后的值,k为钻孔数。
根据式(7)—式(9),可得Δk(j)max=0.003,Δk(j)min=1.285,见表4。
表4 评价指标数列相对参考数列的绝差数列
Table 4 The absolute difference sequence of the index series relative to the reference sequence

3.3.3 关联系数、关联度和权重集
第k个钻孔硬岩比例系数
(k)与第j个评价指标
(k)的灰色关联系数为rk(j),4个稳定性等级的关联度为rj,各评价指标的权重为aj。根据式(10)—式(12)可得灰色关联系数、关联度和权重的计算结果,见表5、表6。
rk(j)=![]()
(10)
式中θ为分辨系数,一般取0.5。
(11)
aj=![]()
(12)
表5 评价指标关于硬岩比例系数的灰色关联系数
Table 5 Grey correlation coefficient of evaluation factor about hard rock proportion coefficient

表6 关联度和权重
Table 6 Correlation degree and weight

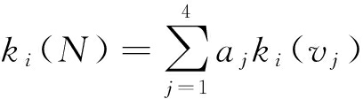
由式(13)得到钻孔N隶属于等级i的程度,ki(N)取值最大者所属等级作为该钻孔最终评价等级(式(14)),从而得到各钻孔周围3煤层顶板的稳定性。各钻孔的稳定性等级评定结果见表7。限于篇幅,仅列出部分数据。
(13)
(14)
表7 各钻孔的稳定性等级评定结果
Table 7 Evaluation results of stability level of each borehole

外围勘探线分别平行、垂直于潘集背斜轴线交叉布设,笔者搜集勘探线上普查和详查阶段钻孔,从中选取贯穿3煤层的钻孔共43个。其中,每一勘探线上钻孔相距500 m,相邻普查阶段或详查阶段勘探线相距1 000 m,相邻普查阶段和详查阶段勘探线相距500 m,即每一钻孔控制以钻孔为中心、直径约为500 m的范围。由于本区尚未达到精查阶段,且贯穿3煤层的钻孔数目有限,所以各钻孔实际控制的范围并非与上述完全一致。大致得到3煤层顶板稳定性分区图, 如图1所示。从图1可看出,不稳定区、极不稳定区与岩浆岩侵入区相邻,推测岩浆岩对3煤层顶板的稳定性起到了负面作用;F66断层西北段是不稳定区,东南段逐渐过渡到稳定区,说明断层对煤层顶板的影响向东南逐渐减弱。

图1 3煤层顶板稳定性分区
Fig.1 Zoning map of roof stability of No.3 coal seam
(1) 利用可拓学物元理论建立了煤层顶板稳定性评价物元模型,结合灰色关联度法确定评价指标权重,确定了各钻孔周围区域的稳定性,由此大致圈定外围顶板稳定性分区的分布范围。分析结果表明,外围稳定区占较大面积,中等稳定区零星分布,不稳定区和极不稳定区分布于外围中部、F66断层和岩浆岩侵入区附近;南部顶板总体较稳定,局部稳定性差;岩浆岩对周围煤层顶板稳定性具有一定破坏作用;自西北向东南,F66断层对附近煤层顶板稳定性影响逐渐减弱。
(2) 在勘探区,下一步工作中可以对不稳定区和极不稳定区、断层及岩浆岩影响区加大勘查工作量。
参考文献(References):
[1] 高峰,周科平.基于可拓学理论的采场顶板稳定性评价[J].矿业研究与开发,2005,25(5):76-79.
GAO Feng,ZHOU Keping.Evaluation of the stability of stope roof based on extenics theory [J].Mining Research and Development,2005,25(5):76-79.
[2] 王海军.永陇矿区LYL井田2号煤层顶板沉积环境及其稳定性评价[J].煤田地质与勘探,2016,44(6):38-44.
WANG Haijun.Sedimentary environment and stability evaluation of seam roof of No.2 seam in LYL coal mine of Yonglong coal field [J].Coal Geology & Exploration,2016,44(6):38-44.
[3] 李智学,易万亿.陕北三叠纪煤田蟠龙至高家屯勘查区5号煤层顶板工程地质特征[J].中国煤炭地质,2013,25(5):36-39.
LI Zhixue,YI Wanyi.No.5 coal roof engineering geological characteristics of Panlong to Gaojiatun exploration areas in northern Shannxi Triassic coal field [J].Coal Geology of China,2013,25(5):36-39.
[4] 刘衡秋,刘钦甫,孟召平.模糊综合评判在煤层顶板稳定性评价中的应用[J].煤田地质与勘探,2002,30(4):18-20.
LIU Hengqiu,LIU Qinpu,MENG Zhaoping.Application of fuzzy synthesis evaluation to coal seam-roof stability [J].Coal Geology & Exploration,2002,30(4):18-20.
[5] 张保东.利用煤田地质勘探成果资料评价煤层顶板稳定性的方法[J].煤矿安全,2007,38(10):73-75.
ZHANG Baodong.A method for evaluating the stability of coal seam roof by using the data of coal geological exploration [J].Safety in Coal Mines,2007,38(10):73-75.
[6] 杨春燕,蔡文.可拓集中关联函数的研究进展[J].广东工业大学学报,2012,29(2):7-14.
YANG Chunyan,CAI Wen.Recent research progress in dependent functions in extension sets [J].Journal of Guangdong University of Technology,2012,29(2):7-14.
[7] 石华旺,牛俊萍,高爱坤.物元模型在煤层顶板稳定性评价与预测中的应用[J].矿业安全与环保,2009,36(1):38-41.
SHI Huawang,NIU Junping,GAO Aikun.Application of matter element model in evaluation and prediction of coal seam roof stability [J].Mining Safety & Environmental Protection,2009,36(1):38-41.
[8] 吕擎峰,李军鹏,赵本山,等.基于灰色关联度法的可拓理论在霍尔古吐水电站坝址区泥石流危险性评价中的应用[J].工程地质学报,2016,24(2):211-219.
LYU Qingfeng,LI Junpeng,ZHAO Benshan,et al.Debris flow risk assessment at Huoergutu hydropower dam site using correlation method and extension theory [J].Journal of Engineering Geology,2016,24(2):211-219.
[9] 赵永虎,武小鹏,米维军,等.基于可拓灰色关联分析法的黄土斜坡稳定性评价[J].铁道建筑,2016(10):96-100.
ZHAO Yonghu,WU Xiaopeng,MI Weijun,et al.Stability evaluation of loess slope based on method of extension grey correlation analysis [J].Railway Engineering,2016(10):96-100.
[10] 孟召平,彭苏萍,傅继彤.含煤岩系岩石力学性质控制因素探讨[J].岩石力学与工程学报,2002,21(1):102-106.
MENG Zhaoping,PENG Suping,FU Jitong.Study on control factors of rock mechanics properties of coal-bearing formation [J].Chinese Journal of Rock Mechanics and Engineering,2002,21(1):102-106.
[11] 国家煤炭工业局.建筑物、水体、铁路及主要井巷煤柱留设与压煤开采规程[M].北京:煤炭工业出版社,2000.
[12] 苗霖田.煤层顶板稳定性模糊综合评判和预测[C]// 陕西省煤炭学会2009年学术年会,西安,2009:155-161.
[13] 陈庆发,牛文静,黄仁贵,等.基于块体化程度和物元可拓理论的顶板稳定性分级方法及应用[J].工程科学学报,2015,37(12):1550-1556.
CHEN Qingfa,NIU Wenjing,HUANG Rengui,et al.Roof stability classification method based on blockiness and the matter-element extension theory and its application [J].Chinese Journal of Engineering, 2015,37(12):1550-1556.
[14] 盛骤,谢式千,潘承毅.概率论与数理统计 [M].4版.北京:高等教育出版社,2008.
[15] 吴东杰,王金生,丁爱中.地下水质量评价中两种确定指标权重方法的比较[J].工程勘察,2006(7):17-22.
WU Dongjie,WANG Jinsheng,DING Aizhong.Comparison of two methods of determining index weight during groundwater quality assessment[J].Journal of Geotechnical Investigation & Surveying,2006(7):17-22.
[16] 李立东,寇长林,郭战玲,等.地下水硝酸盐脆弱性评价指标权重确定方法的比较研究[J].河南农业科学,2013,42(7):46-51.
LI Lidong,KOU Changlin,GUO Zhanling,et al.Comparison of different methods to achieve the weight for groundwater vulnerability assessment of nitrate pollution [J].Journal of Henan Agricultural Sciences,2013,42(7):46-51.
[17] 周琳琳,李晓奇.基于灰色关联度法确定权重及其应用[C]//第八届中国智能计算大会暨国际电子商务联合会中国分会第三届年会,秦皇岛,2014:19-23.
[18] 张卫华,赵铭军.指标无量纲化方法对综合评价结果可靠性的影响及其实证分析[J].统计与信息论坛,2005,20(3):33-36.
ZHANG Weihua,ZHAO Mingjun.The influence of undimensionalization on the reliability of comprehensive evaluation results and an empirical analysis [J].Statistics & Information Forum,2005,20(3):33-36.
ZHANG Yutong, LIU Qimeng, CAI Mengya, ZHAO Jin, YE Mei, ZHANG Dandan
(School of Earth and Environment, Anhui University of Science and Technology, Huainan 232001, China)
中图分类号:TD322
文献标志码:A 网络出版时间:2017-09-27 14:15
网络出版地址:http://kns.cnki.net/kcms/detail/32.1627.TP.20170927.1415.007.html
文章编号:1671-251X(2017)10-0037-06
DOI:10.13272/j.issn.1671-251x.2017.10.007
收稿日期:2017-03-20;
修回日期:2017-07-20;责任编辑张强。
基金项目:国家自然科学基金项目(41472235);安徽省高等学校省级自然科学研究重大项目(KJ2014ZD11)。
作者简介:张宇通(1991-),男,山西长治人,硕士研究生,研究方向为水文地质与工程地质,E-mail:1174480142@qq.com。
引用格式:张宇通,刘启蒙,蔡梦雅,等.潘谢外围3煤层顶板稳定性分析[J].工矿自动化,2017,43(10):37-42. ZHANG Yutong, LIU Qimeng, CAI Mengya, et al. Roof stability analysis in No.3 coal seam of Panxie peripheral[J].Industry and Mine Automation,2017,43(10):37-42.