焦晓峰
(中国煤炭科工集团太原研究院有限公司, 山西 太原 030006)
摘要:针对掘锚机组异步电动机故障诊断可靠性和准确性不高的问题,提出将对称分量法应用到掘锚机组保护系统中,实现不对称性过流故障诊断。将三相电压分解为正序分量、负序分量和零序分量,通过有源移相电路和相序判别电路判别主回路的相序,通过负序分量采集电路得到负序电压值,根据负序电流值判断故障及其类型。工业性试验结果表明,对称分量法的应用提高了掘锚机组保护系统的灵敏度、可靠性、准确性和智能化水平,降低了系统维护成本,同时提高了掘锚机组异步电动机的使用寿命和掘进工作面的掘进速度。
关键词:煤炭开采; 掘锚机组; 过流保护; 对称分量法; 不对称性故障; 故障诊断
Abstract:In view of problems of low reliability and accuracy of fault diagnosis of asynchronous motor in bolter-miner, symmetrical component method was purposed to apply in protection system of bolter-miner to realize asymmetry over-current fault diagnosis. Three-phase voltage is decomposed into positive sequence component, negative sequence component and zero sequence component, then active phase shifting circuit and phase sequence judgment circuit are used to judge phase sequence of main circuit, and the negative sequence voltage is obtained by negative sequence component acquisition circuit and is used to judge fault and its type. Industrial test results show that application of the symmetrical component method improves sensitivity, reliability, accuracy and intelligence level of the protection system of bolter-miner, reduces system maintenance cost, and improves service life of asynchronous motor and excavation speed on working face.
Keywords:coal mining; bolter-miner; over-current protection; symmetrical component method; asymmetry fault; fault diagnosis
掘锚机组是适用于高产高效矿井煤巷高效掘进的掘锚一体化新型掘进设备[1],它将掘进和支护有机结合起来,可有效减少掘进和支护设备的换位作业时间。掘锚机组集掘进、装载、运输、支护于一体,电气系统较复杂,它的正常工作保证了整个掘进工作面的掘进速度。由于掘锚机组处在粉尘较大、湿度高、空间狭小的工作环境中,所以对其电气系统的稳定性、安全性、可靠性提出了较高的要求。
目前掘锚机组主要通过比较异步电动机的三相电流值来判断电动机的各种故障,保护功能可靠性和准确性差,一定程度上影响了其持续稳定运行及整个掘进工作面的掘进速度[2]。因此,本文提出将对称分量法应用于掘锚机组保护系统中,通过对称分量法诊断掘锚机组电气系统的不对称性过流故障及其类型,根据诊断结果可采取相应的保护措施,提高掘锚机组电气系统保护的灵敏度、可靠性和稳定性。
由对称分量法可知,任意一组三相不对称量都可以分解为3组对称分量,即正序分量、负序分量和零序分量。因此,任何故障点的不对称电压和电流可分解为三相对称的正序﹑负序和零序分量,从而可以通过三相对称电路的计算方法计算各相序分量,然后按照叠加原理相加,得到不对称故障电流和故障电压[3]。
设
为三相电流,
A1,
A2,
A0分别为A相电流正序、负序、零序分量
也进行同样分解,根据叠加原理可得
A=
A1+
A2+
A0
(1)
B=
B1+
B2+
B0
(2)
C=
C1+
C2+
C0
(3)
设A相为基准相,则B相和C相的正序、负序、零序分量分别为
(4)
(5)
A0=
B0=
C0
(6)
式中a为旋转向量,其表达式为
a=exp(j120°)=-
+j![]()
(7)
根据式(1)—式(7)可得
A1=
(
A+a
B+a2
C)
(8)
A2=
(
A+a2
B+a
C)
(9)
A0=
(
A+
B+
C)
(10)
由式(8)—式(10)可知,当供电系统正常运行时,几乎没有负序和零序分量,当系统发生不对称性故障时,就会明显出现负序分量和零序分量。因此,通过分析回路中负序分量的大小可判断各类不对称故障。
负序电压可通过移相的方法得到[4]。分解后的电压各相序分量如图1所示。

图1 分解后电压各相序分量
Fig.1 Phase sequence components of voltage after decomposition
将A相电压前移120°,C相电压后移120°,B相电压不动,得到如图2所示的各相序分量。将移相处理后的各电压信号相加,即可提取出三相电压中的负序分量,其幅值为B相负序电压的1/3。

图2 移相后电压各相序分量
Fig.2 Phase sequence components of voltage after phase shifting
本文中的掘锚机组采用交流变频调速牵引,整机拥有2台截割电动机、2台牵引电动机、1台油泵电动机、2台装载电动机、2台运输电动机和1台除尘电动机,分别为截割部、装运机构、液压系统、行走系统和除尘机构提供动力。电动机采用三相鼠笼式异步电动机[5],其常见故障分为对称性和不对称性故障。对称性故障可以通过线路的过流程度来反映,不对称性故障主要分为断相、相间短路、单相接地和两相接地等故障。当电动机发生不对称性故障时,回路中会出现负序分量,负序分量的大小可反映系统回路的不对称程度[6]。
掘锚机组保护系统功能主要包括过流保护、漏电保护、接地保护、传感器保护、通信保护等。本文主要针对其中的过流保护,应用对称分量法诊断掘锚机组电气系统中的不对称性过流故障及其类型。
将对称分量法应用于掘锚机组保护系统中时,应注意其前提是主回路供电系统的相序为正相序,否则不能使用。因此,应用时首先要通过有源移相电路和相序判别电路判别主回路的相序[7],然后通过负序分量采集电路得到负序电压值,最后根据负序电流值判断故障及其类型。
2.2.1 有源移相电路
有源移相电路如图3所示[8]。以图3(a)为例进行分析,R1为输入电阻,R2为反馈电阻,电阻R3和电容C为移相元件
为输入侧电压
为输出侧电压。

图3 有源移相电路
Fig.3 Active phase shifting circuit
由图3可列出以下方程:
(11)
(12)
(13)
式中:ω为电流角频率
分别为运算放大器的同相和反向输入端电压。
令R1=R2,由式(11)—式(13)可得
CR3-1)/(jωCR3+1)
(14)
设
与
相位差为Δθ,由式(14)可得
Δθ=arccos[(ω2C2
-1)/(ω2C2
+1)]
(15)
由式(15)可知,改变电阻R3和电容C的值就可以改变
的相角。
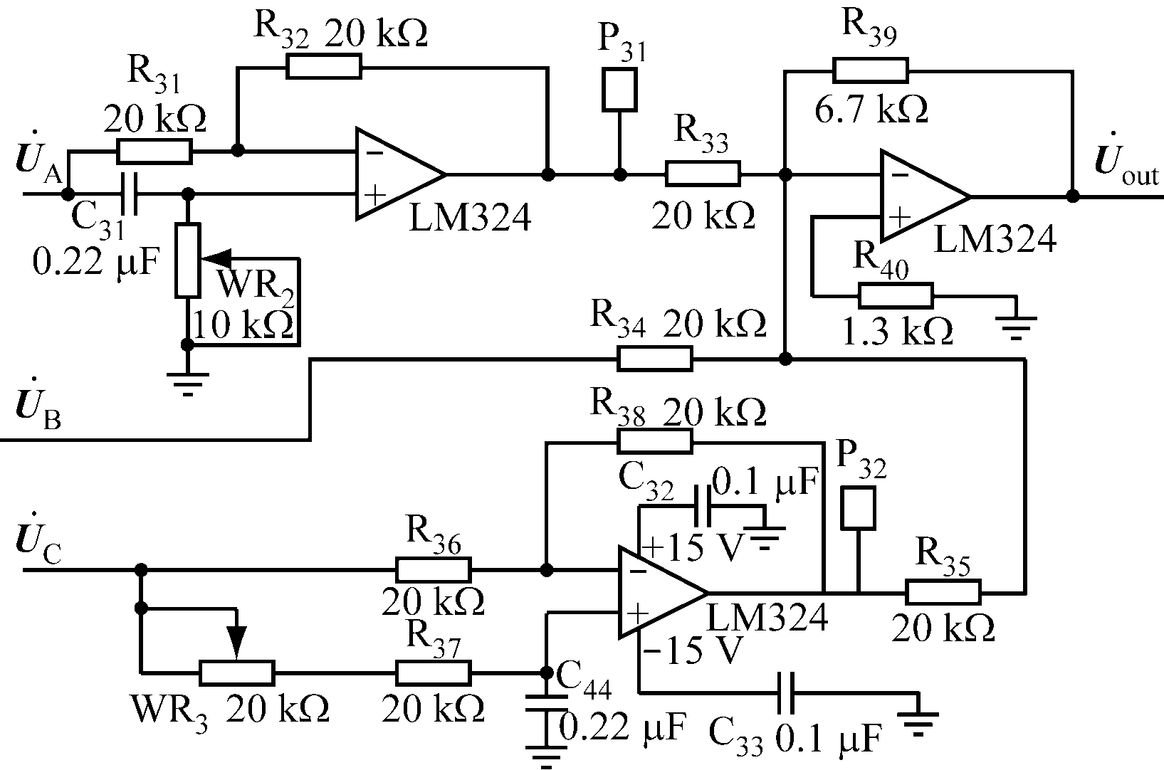
2.2.2 相序判别电路
判别相序的依据:当三相电压为正相序时,将B相电压前移120°可与A相电压重合;当三相电压为负相序时,B相电压经过移相后不能与A相电压重合。相序判别电路如图4所示[9]。
经滤波后的A相电压信号通过过零比较器转换成方波信号,B相电压信号先经过有源移相电路前移120°,然后通过过零比较器转换成方波信号;对A相和B相的方波信号进行异或处理,将信号滤波放大后输出。当三相电压为正相序时,发光二极管不亮;当三相电压为负相序时,发光二极管点亮,同时将结果输出给中央控制器[10-11]。

图4 相序判别电路
Fig.4 Phase sequence discrimination circuit
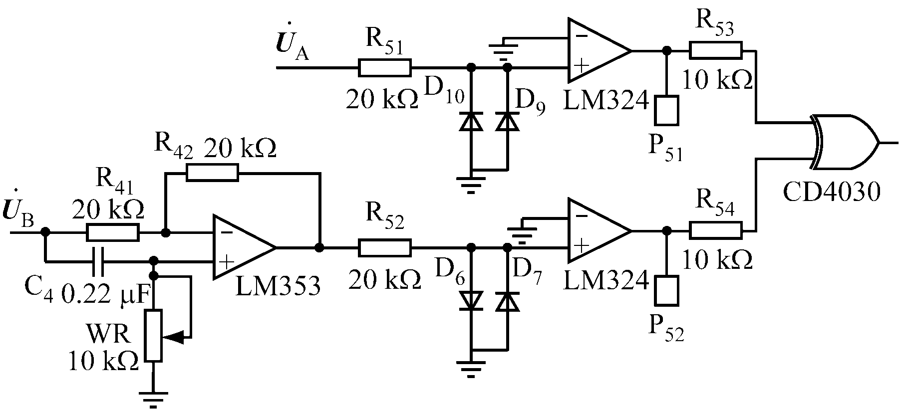
2.2.3 负序分量采集电路
中央控制器判断主回路三相电压的相序为正相序后,通过负序分量采集电路(图5)采集负序分量。A相电压
经过由电阻R31,R32,滑动电阻器WR2,电容C31和运算放大器LM324组成的有源移相电路后,前移120°;B相电压
不做移相处理;C相电压
经过移相电路后后移120°。通过由R33,R39,R34,R35,R40和LM324组成的加法电路输出负序电压信号,然后经过偏置电路和稳压电路输入PLC的AI输入模块,在PLC中完成相应故障的判断,并将结果通过人机界面显示。

图5 负序分量采集电路
Fig.5 Negative sequence component acquisition circuit
掘锚机组中央控制器利用负序分量值来判断不对称故障。当负序电流大于额定电流的30%时,可判断系统发生了不对称性故障[12];当负序电流大于额定电流的30%且小于额定电流的68.3%时,保护系统采用反时限跳闸保护方式进行保护;当负序电流大于额定电流的68.3%且小于2倍额定电流时,可判断为断相故障,7 s后跳闸;当负序电流大于2倍额定电流时,可判断为两相不对称短路故障。
将对称分量法应用于掘锚机组保护系统中实现不对称性过流故障诊断;介绍了对称分量法的原理及其具体实现,设计了有源移相电路、相序判别电路和负序分量采集电路。目前应用对称分量法进行过流保护的掘锚机组已在阳泉煤业股份有限公司进行工业性试验,实际运行情况表明,对称分量法的应用提高了掘锚机组保护系统的灵敏度、可靠性、准确性和智能化水平,降低了系统维护成本,同时提高了掘锚机组异步电动机的使用寿命和掘进工作面的掘进速度。
参考文献(References):
[1] 王虹.我国煤矿巷道掘进技术和装备的现状与发展[J].煤炭科学技术,2010,38(1):57-62.
WANG Hong.Present status and development of mine roadway heading technology and equipment in China coal mine[J].Coal Science and Technology,2010,38(1):57-62.
[2] 国家安全生产监督管理总局,国家煤矿安全监察局.煤矿安全规程[M].北京:煤炭工业出版社,2010.
[3] 呼守信.连续采煤机变频调速装置独立控制保护电路设计[J].煤矿机电,2011(6):36-38.
HU Shouxin.Design of individual control and protection circuit in frequency control device of continuous miner[J].Colliery Mechanical & Electrical Technology,2011(6):36-38.
[4] 宋建成,石宗义,杨毅,等.矿井电网过电流特征分析及其保护系统的研究[J].煤炭学报,2001,26(1):81-86.
SONG Jiancheng,SHI Zongyi,YANG Yi,et al.Study on the overcurrent character analysis and its protective system of underground LV distribution networks[J].Journal of China Coal Society,2001,26(1):81-86.
[5] 冯凯,陈迎松,胡涛.负序保护在低压隔爆电动机综合保护中应用[J].电力自动化设备,2007,27(2):101-103.
FENG Kai,CHEN Yingsong,HU Tao.Negative sequence protection in comprehensive protection of LV flameproof motor[J].Electric Power Automation Equipment,2007,27(2):101-103.
[6] 张玲玉,李丽敏,张玉峰,等.对称分量法在过载保护电路中的应用[J].长沙通信职业技术学院学报,2009,8(1):62-64.
ZHANG Lingyu,LI Limin,ZHANG Yufeng,et al.Application of the symmetrical components method in the polyphase asymmetrical AC systems[J].Journal of Changsha Telecommunications and Technology Vocational College,2009,8(1):62-64.
[7] 冷旭东.电动机保护中负序算法研究[J].电气开关,2002,40(4):11-12.
LENG Xudong.Study of negative current calculation on motor protection[J].Electric Switchgear,2002,40(4):11-12.
[8] 高俊岭,欧阳名三,朱成杰.新型掘进机电气控制系统设计[J].煤炭科学技术,2011,39(10):96-99.
GAO Junling,OUYANG Mingsan,ZHU Chengjie.Design on electric control system of mine roadheader[J].Coal Science and Technology,2011,39(10):96-99.
[9] 王惠中,効迎春,张荧,等.电动机故障诊断技术探讨[J].工矿自动化,2015,41(1):40-44.
WANG Huizhong,XIAO Yingchun,ZHANG Ying,et al.Study on fault diagnosis technologies of motor[J].Industry and Mine Automation,2015,41(1):40-44.
[10] 孙继平.煤矿监控新技术与新装备[J].工矿自动化,2015,41(1):1-5.
SUN Jiping.New technologies and new equipments of coal mine monitoring[J].Industry and Mine Automation,2015,41(1):1-5.
[11] 黄鹤松,毕忠思,薛琳,等.一种新型矿用高压保护器综合测试台设计[J].工矿自动化,2016,42(7):1-4.
HUANG Hesong,BI Zhongsi,XUE Lin,et al.Design of a new type of integrated test bench for mine-used high-voltage protector[J].Industry and Mine Automation,2016,42(7):1-4.
[12] 邹文学,庞兵,陈庆国.非线性电力系统中对称分量法的应用[J].电机与控制学报,2011,15(5):83-88.
ZOU Wenxue,PANG Bing,CHEN Qingguo.Application of symmetrical component method and comparison with other power theory in nonlinear power system[J].Electric Machines and Control,2011,15(5):83-88.
JIAO Xiaofeng
(CCTEG Taiyuan Research Institute,Taiyuan 030006, China)
中图分类号:TD421.5
文献标志码:A 网络出版时间:2017-09-27 13:45
网络出版地址:http://kns.cnki.net/kcms/detail/32.1627.TP.20170927.1345.003.html
文章编号:1671-251X(2017)10-0014-04
DOI:10.13272/j.issn.1671-251x.2017.10.003
收稿日期:2016-11-10;
修回日期:2017-08-09;责任编辑胡娴。
基金项目:山西省科技攻关项目(2015031006-1)。
作者简介:焦晓峰(1987-),男,山西晋城人,助理工程师,硕士,从事煤矿自动化方面的研究工作,E-mail:724114975@qq.com。
引用格式:焦晓峰.对称分量法在掘锚机组保护系统中的应用[J].工矿自动化,2017,43(10):14-17. JIAO Xiaofeng. Application of symmetrical component method in protection system of bolter-miner[J].Industry and Mine Automation,2017,43(10):14-17.