刘溯奇1,2, 谭建平1,2, 文学1,2
(1.高性能复杂制造国家重点实验室, 湖南 长沙 410083; 2.中南大学 机电工程学院, 湖南 长沙 410083)
摘要:针对无线电能传输系统中单个逆变器输出功率难以满足大功率应用需求的问题,研究了无线电能传输系统多路逆变器功率合成机理,通过建立基于2路逆变器功率合成拓扑结构的无线电能传输系统等效电路模型,得出了基于多路逆变器功率合成的无线电能传输系统的输出功率、传输效率规律。研究结果表明,基于多路逆变器功率合成的无线电能传输系统的输出功率、传输效率均由各支路逆变器共同承担,且因各支路功率驱动能力不同而在各支路互补转移分配;多逆变器功率合成后的系统特性与单逆变器工作时一致。
关键词:无线电能传输; 多路逆变器; 功率合成; 谐振耦合
无线电能传输(Wireless Power Transmission,WPT)是用电设备以非接触方式从电源获取能量的技术,实现了电源和用电设备的完全电气隔离,传输过程安全、可靠、灵活度高,为人类摆脱电线束缚提供了可能[1-4]。
磁耦合谐振式WPT技术经过多年的发展,已转入应用发展阶段[5]。在大功率应用需求场合,要求WPT系统的逆变器具有足够的电能转换能力,同时具有可控的输出频率与功率,因此,大功率逆变器的构造是一个难点。目前WPT系统的逆变器主要有两类:基于逆变技术的逆变器,主要有推挽型谐振逆变器、半桥逆变器或全桥逆变器等[6];基于功率放大器的逆变器,其功率放大器类型主要有E类、DE类、F类等[7-10]。由于MOSFET,IGBT,E、DE与F类放大器等功率开关器件容量与成本等受限,单个逆变器的容量往往无法满足WPT系统大功率需求[11]。
在大功率逆变器构造研究中,往往通过多逆变器并联方式实现功率扩容[12-13]。参考文献[14]针对用于WPT系统的E 类逆变器存在磁元件损耗大、谐振参数容差能力差及输出功率有限等缺点,提出了一种新颖的双路(或偶数路)E类逆变器功率合成输出的WPT系统拓扑。参考文献[15]提出了一种为感应电力传输(Inductive Power Transfer,IPT)系统提供能量的多逆变器并联拓扑,使用电感进行能量耦合,实现大功率输出,并通过改变逆变器并联数量灵活地调节IPT系统的输出功率,具有设计方便、生产成本低、功能冗余等特点。参考文献[16]在参考文献[15]研究基础上,详细分析了基于该逆变器并联拓扑供电的IPT系统工作原理,并采用逆变器输出电压脉宽与移相角控制方法控制逆变器,有效消除了IPT系统初级线圈电流的3次谐波,同时实现了IPT系统输出功率的调节。
以上研究在多路逆变器功率合成的拓扑结构、大功率合成的系统优化、逆变器并联产生的环流的消除等方面取得了较大进展,但均未对多路逆变器各支路输出功率、传输效率对合成后系统输出功率、系统传输效率的影响关系进行研究。本文在现有研究成果基础上,深入分析和揭示了多路逆变器的功率合成机理,并通过实验验证了理论分析的正确性。
1.1 拓扑结构
按照逆变器的结构形式,可把多路逆变器功率合成拓扑结构分为3类:采用逆变技术构建的拓扑结构;采用功率放大技术构建的拓扑结构;采用逆变技术与功率放大技术构建的混合拓扑结构。基于混合拓扑结构的WPT系统如图1所示。Ek(k=1,2,…)为各逆变器输入直流电压;Ck为各逆变器并联构成的初级回路补偿电容;ik为各逆变器的输出电流;Qk1,Qk2,Qk3,Qk4为前k项全桥逆变器MOSFET开关管;Dk1,Dk2,Dk3,Dk4为前k项全桥逆变器MOSFET开关管续流二极管;Qk+1,Qk+2,…,Qn(n为并联逆变器个数) 为E类功率放大器开关管;Ldc为E类功率放大器的扼流电感;Lf为E类功率放大器的调相电感;Cd为E类功率放大器的分流电容;iP为发射线圈(初级线圈)回路电流;LP为发射线圈电感;M为发射线圈与接收线圈(次级线圈)间的互感;LS为接收线圈电感;CS为接收线圈回路补偿电容;iS为接收线圈回路电流;RL为等效负载;uout为负载两端电压。

图1 基于多路逆变器功率合成混合拓扑结构的WPT系统
1.2 等效电路模型及原理
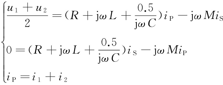
在遵循研究对象内部基本规律的情况下,为便于分析,以2路逆变器功率合成为例进行研究。基于2路逆变器功率合成的WPT系统等效电路如图2所示。u1,u2为高频电压源;i1,i2分别为2个逆变器支路的高频电流;C1,C2分别为2个逆变器支路的补偿电容;RP,RS分别为发射线圈与接收线圈的损耗电阻和辐射电阻之和。

图2 基于2路逆变器功率合成的WPT系统等效电路
若WPT系统工作角频率为ω,根据基尔霍夫电压定律,有

(1)
为简化分析,令C1=C2=CS/2=C,RP=RS+RL=R,RL=βR(β为负载阻抗比例因子),LP=LS=L。引入广义失谐因子ξ=Q(ω/ω0-ω0/ω),其中Q为品质因数,Q=ω0L/R=1/(2ω0CR);ω0为电路谐振频率,
。则式(1)可化简为

(2)
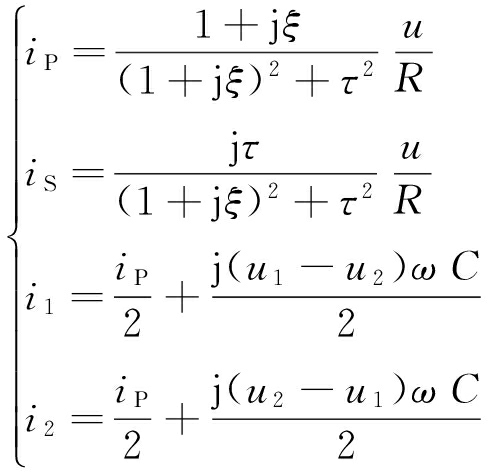
根据式(2)可得

(3)
式中:ZP为发射线圈回路自阻抗;ZS为接收线圈回路自阻抗;u为发射线圈回路等效电压源。

(4)
定义广义耦合因子:
(5)
将式(4)和式(5)代入式(3),可得

(6)
接收线圈回路自阻抗ZS通过互感反射到发射线圈回路的等效阻抗为
(7)
式中
P分别为等效阻抗
P的等效电阻和等效电抗。
(8)
由接收线圈回路等效电流iS可得负载RL吸收的功率(即系统输出功率):
(9)
系统输入功率Pin包含2个部分:① 发射线圈回路电阻RP=R所消耗的功率;② 接收线圈回路反射到发射线圈回路中等效电阻
P所消耗的功率。因此,系统传输效率(系统输出功率与系统输入功率比值)为
(10)
1.3 功率合成后的系统特性
1.3.1 系统输出功率与特性参数的关系
令∂Pout/∂ξ=0,可知在
时取得系统输出功率极值。当ξ=0,τ=1时,取得系统输出功率最大值,为
(11)
由式(9)和式(11)可得归一化的系统输出功率为
(12)
采用Matlab仿真软件,由式(12)得到归一化的系统输出功率特性响应曲线,如图3所示。
由归一化系统输出功率Ψ与广义失谐因子ξ、广义耦合因子τ的关系可知:
(1) 系统存在过耦合、临界耦合和欠耦合3种状态[17-18]。在τ=1(临界耦合)处,系统工作在谐振点时,系统输出功率取得最大值;在τ>1(过耦合)处,存在频率分裂现象,当
时,不管在哪个分裂频率点,系统输出功率都能取得较大值;在τ<1(欠耦合)处,不存在频率分裂,但随着τ减小,系统输出功率快速下降。

图3 归一化的系统输出功率特性响应曲线
(2) 由式(6)与式(12)可知,逆变器支路电流i1或i2包含iP/2与±j(u1-u2)ωC/2。i1+i2=iP,表明i1或i2中的iP/2对发射线圈回路电流有贡献,而±j(u1-u2)ωC/2只起调节i1或i2分配比例的作用。i1或i2互补转换由Δu=u1-u2驱动,互补转换剧烈程度还与系统工作角频率及支路补偿电容有关。这就意味着在系统输出功率一定的情况下,系统输出功率由各支路逆变器共同承担,由于各支路功率驱动能力不同,使得总功率在各支路互补转移分配。
(3) 由于系统特性参数与支路逆变器参数没有必然的关联,多逆变器功率合成后的系统特性与单逆变器工作时的系统特性一致,如多逆变器功率合成后的系统同样存在过耦合、临界耦合、欠耦合3种状态等。
1.3.2 系统传输效率与特性参数的关系
令∂η/∂ξ=0,可知当ξ=0,τ=∞时,η取得极值。系统传输效率最大值为
(13)
采用Matlab仿真软件,由式(10)可得到系统传输效率特性响应曲线,如图4所示。

图4 系统传输效率特性响应曲线
由系统传输效率η与广义失谐因子ξ、广义耦合因子τ及负载阻抗比例因子β的关系可知:
(1) 系统传输效率η、广义耦合因子τ构成的关系曲线以负载阻抗比例因子β为渐近线,且具有相同的变化趋势。负载阻抗比例因子β称为效率影响因子,其对系统传输效率η有重要影响。当β≥0.8时,系统传输效率较高。
(2) 当系统工作于频率分裂点,即ξ≠0时,系统传输效率低于ξ=0时的值。|ξ|越大,相应的系统传输效率减少越多。
(3) 系统传输效率η除了受β影响外,还与τ有关。当ξ=0,0<τ<2时,系统传输效率η受广义耦合因子τ的影响较大;当ξ=0,τ>2时,系统传输效率η以相对平缓的方式趋向于负载阻抗比例因子β。
(4) 由式(6)、式(10)可知,由于系统特性参数与支路逆变器参数没有必然的关联,多逆变器功率合成后的系统传输效率与各支路的传输效率无必然关联。在系统传输效率一定的情况下,系统传输效率由各支路逆变器共同承担。由于各支路功率驱动能力不同,使得系统传输效率在各支路互补转移分配。
为了验证理论分析的正确性,构建了如图1所示的2路逆变器功率合成的WPT实验系统,并针对基于本文所述的多路逆变器功率合成混合拓扑结构的WPT系统进行了实验。实验仪器及相关设备主要为2台电压可调的直流稳压电源、TH2829C型电桥分析仪、P6022型电流探头、DS2202A型双通道数字示波器等。TH2829C型电桥分析仪用于测量高频状态下的电阻、电容和电感,测量误差为1%,测量结果见表1,其中系统固有频率
C分别为功率合成后的系统等效电感与等效补偿电容)。P6022型电流探头用于测量高频电流。DS2202A型双通道数字示波器用于测量高频电压,从而计算系统输出功率与系统传输效率。
表1 WPT系统主要参数

经实验验证,多路逆变器功率合成后的系统表现,即1.3中关于系统输出功率与系统传输效率的理论分析结果与实验结果较为一致。系统存在的过耦合、临界耦合和欠耦合3种状态及频率分裂现象可参考文献[17-18]。本文重点分析多路逆变器各支路输出功率、传输效率对合成后系统输出功率、系统传输效率的影响关系,以及当一路逆变器支路工作于系统固有频率且保持不变、另一路逆变器支路工作频率可调时的实验现象。
2路逆变器驱动功率与初级线圈回路输出功率曲线如图5所示。结合图5与式(6)可知,在输出功率一定的情况下,输出功率由各支路逆变器共同承担,由于各支路功率驱动能力不同,总功率在各支路互补转移分配,表现为电流互补转移分配。当提升功率输出能力时,如从发射线圈回路输出功率A曲线提升到发射线圈回路输出功率B曲线,需同时提升逆变器1与逆变器2驱动功率能力或调节某一路逆变器驱动功率能力,使其回路总功率转移并由其完全承担,才能继续提升功率输出能力。同理,在系统传输效率一定的情况下,系统传输效率由各支路逆变器共同承担,由于各支路功率驱动能力不同,系统传输效率在各支路互补转移分配,其变化曲线与图5类似。

图5 2路逆变器驱动功率与初级线圈回路输出功率曲线
2路逆变器电压合成输出波形如图6所示,通道1、通道2分别为发射线圈回路、接收线圈回路电压波形。在图6(a)中,2路逆变器的驱动频率与固有频率一致或一路频率是基波频率的倍频时,经2路逆变器支路电压波形叠加之后,发射线圈回路、接收线圈回路的电压幅值与频率是稳定的,但倍频逆变器对系统功率贡献较少;在图6(b)中,发射线圈回路中的一路逆变器的驱动频率与固有频率一致,另一路不等于基波频率及倍频,逆变器支路电压波形叠加出现了电压振幅与频率的抖动,调节一路逆变器频率,在某些频点电压振幅与频率抖动达到最大值,逆变器功耗明显增加。从信号处理的角度可知,频率不等于基波频率及倍频的能量信号可看作噪声。因此,多路逆变器的工作频率应需一致。

(a) 同频率电压波形

(b) 不同频率电压波形
图6 2路逆变器电压合成输出波形
(1) 在系统输出功率一定的情况下,系统输出功率由各支路逆变器共同承担。由于各支路功率驱动能力不同,系统输出功率在各支路互补转移分配。
(2) 多逆变器功率合成后的系统传输效率与各支路的传输效率无必然关联,在系统传输效率一定的情况下,系统传输效率由各支路逆变器共同承担。由于各支路功率驱动能力不同,系统传输效率在各支路互补转移分配。
(3) 由于系统的特性参数与支路逆变器参数没有必然的关联,多路逆变器功率合成后的系统特性与单逆变器工作时的系统特性一致,如多路逆变器功率合成系统同样存在过耦合、临界耦合和欠耦合3种状态等。
(4) 当一路逆变器工作于系统固有频率且保持不变,另一路逆变器工作频率可调时,在基频(固有频率)处,系统波形是稳定的,传输效率较高;当频率为倍频时,系统波形也是稳定的,其他频率处的波形叠加后不稳定,出现电压振幅与系统频率抖动现象。
(5) 由于WPT系统的功率是由多路逆变器共同承担的,在功率与电流均分的情况下,应同时提升或降低功率驱动能力,避免功率由某一路或几路逆变器承担的极端情况,从而超出容量极限,造成系统损坏。
参考文献:
[1] KURS A, KARALIS A, MOFFATT R, et al. Wireless power transfer via strongly coupled magnetic resonances[J].Science,2007,317(5834):83-86.
[2] 范兴明,莫小勇,张鑫.无线电能传输技术的研究现状与应用[J].中国电机工程学报,2015,35(10): 2584-2600.
[3] 杨庆新,章鹏程,祝丽花,等.无线电能传输技术的关键基础与技术瓶颈问题[J].电工技术学报,2015,30(5):1-8.
[4] HUI S Y R, ZHONG Wenxing, LEE C K. A critical review of recent progress in mid-range wireless power transfer[J]. IEEE Transactions on Industrial Electronics, 2014, 29(9): 4500-4511.
[5] 程时杰,陈小良,王军华,等.无线输电关键技术及其应用[J].电工技术学报,2015,30(19):68-84.
[6] 侯洁.中小功率等级感应耦合电能传输系统的设计与实现[D].重庆:重庆大学, 2013.
[7] 李均锋, 廖承林, 王丽芳.基于E类放大器的中距离无线能量传输系统[J].电工技术学报, 2014,29(9): 7-11.
[8] ZHANG L. Design of wireless power transfer system using E-class amplifier[C]//International Conference on Advanced Material Science and Engineeering, Shenzhen, 2016:231-239.
[9] NAGASHIMA T, WEI X Q, BOU E, et al. Analytical design for resonant inductive coupling wireless power transfer system with class-E inverter and class-DE rectifier[C]//IEEE International Symposium on Circuits and Systems, Lisbon, 2015:686-689.
[10] LIU M, FU M, MA C. Parameter design for a 6.78 MHz wireless power transfer system based on analytical derivation of class E current-driven rectifier[J]. IEEE Transactions on Power Electronics, 2015, 31(6):1-12.
[11] 麦瑞坤, 陆立文,李勇.两逆变器并联IPT系统的环流消除方法研究[J].电工技术学报,2016,31(3):8-15.
[12] ZHANG Y, YU M, LIU F, et al.Instantaneous current-sharing control strategy for parallel operation of UPS modules using virtual impedance[J].IEEE Transactions on Power Electronics, 2013, 28(1): 432-440.
[13] SCHONKNECHT A, DE DONCKER R W. Novel topology for parallel connection of soft switching, high power, high frequency inverters[J].IEEE Transactions on Industrial Electronics,2003,39(2):550-555.
[14] 黄晓生,陈为,陈庆彬.用于WPT的双路E类逆变器功率合成拓扑及其电感耦合集成[J].中国电机工程学报, 2015,35(21): 5577-5584.
[15] HAO H, COVIC G, KISSIN M,et al.A parallel topology for inductive power transfer power supplies[J].IEEE Transactions on Power Electronics, 2014, 29(3):2027-2034.
[16] LI Y, MAI R, LU L, et al.Active and reactive currents decomposition based control of angle and magnitude of current for a parallel multi-inverter IPT system[J].IEEE Transactions on Power Electronics, 2017,32(2):1602-1614.
[17] SAMPLE A P, MEYER D A, SMITH J R.Analysis, experimental results, and range adaptation of magnetically coupled resonators for wireless power transfer[J].IEEE Transactions on Industrial Electronics,2011,58(2):544-554.
[18] 李阳,杨庆新,闫卓,等.无线电能有效传输距离及其影响因素分析[J].电工技术学报,2013,28(1):106-112.
LIU Suqi1,2, TAN Jianping1,2, WEN Xue1,2
(1.State Key Laboratory of High Performance and Complex Manufacturing, Changsha 410083, China;2.School of Mechanical and Electrical Engineering, Central South University, Changsha 410083, China)
Abstract:For the problem that output power of a single inverter in wireless power transmission system could not satisfy large power requirement, power combination mechanics of wireless power transmission system based on multi inverters was researched. An equivalent circuit model of wireless power transmission system was built which was based on power combination topology of two inverters, and laws of output power and transfer efficiency of the system were obtained. The research results are as following. Output power and transfer efficiency of the system are shared by each branch inverter, and distributed in each branch complementarily because of different power driving ability of each branch. System characteristics of wireless power transmission system based on power combination of multi inverters is identical with that of the system based on single inverter.
Key words:wireless power transmission; multi inverters; power combination; resonant coupling
文章编号:1671-251X(2017)01-0060-06
DOI:10.13272/j.issn.1671-251x.2017.01.015
收稿日期:2016-09-28;
修回日期:2016-12-09;责任编辑:李明。
基金项目:国家重点基础研究发展计划(973计划)资助项目(2014CB049405)。
作者简介:刘溯奇(1977-),男,广西桂林人,讲师,博士研究生,研究方向为近场无线通信与无线电能传输技术,E-mail:Liusuqi2009@126.com。
中图分类号:TD60
文献标志码:A
网络出版:时间:2016-12-30 10:32
网络出版地址:http://www.cnki.net/kcms/detail/32.1627.TP.20161230.1032.015.html
刘溯奇,谭建平,文学.无线电能传输系统多路逆变器功率合成机理[J].工矿自动化,2017,43(1):60-65.