陈鹏, 潘东, 石开仪, 籍永华
(六盘水师范学院 化学与化学工程系, 贵州 六盘水 553004)
摘要:为了反映选煤厂产品满足指标要求的情况,提出了多层次模糊综合评价方法。以某选煤厂7个月的生产数据为研究对象,选取重介分选产品指标、粗煤泥分选产品指标和浮选产品指标构成模糊关系矩阵,运用专家评分法建立权重向量,通过多层次模糊综合评价方法对该选煤厂7个月的分选效果进行评价。结果表明,1月和7月的分选效果为“好”,2—5月的分选效果为“较好”,6月的分选效果为“一般”,此结论与现场分选效果相符。
关键词:选煤厂; 分选效果评价; 重选; 浮选; 多层次模糊综合评价
选煤厂分选效果评定主要包括重选效果评定和浮选效果评定2个部分[1-4]。评定重介分选[5]效果最常用的评价指标为可能偏差Ep,而评定水介质重选设备的分选效果一般采用不完善度I值。此外,错配物总量在评定重选分选效果时也经常被用到。对于重选过程来说,在一定时间段内原煤性质不变,操作水平不变,分选设备的结构参数不变,则表示其设备性能的Ep值或I值[6-8]也不变。在实际的生产过程中需根据快灰数据不断调整分选密度,在调节分选密度的过程中,Ep或I值不变,但是分选产品灰分会发生变化。在实际生产中会出现Ep或I值相同,而分选效果不同的情况,同样也会出现错配物总量相同而产品灰分不同的情况。以上重选评价指标均不能反映分选后产品满足指标要求的情况。此外,我国常用的几种浮选[9]评价指标也不能反映分选后产品满足指标要求的情况,并且重选与浮选分选效果是分开来评定的。对选煤分选效果评价指标进行分析,发现现有评价指标均不能从选后产品满足生产要求的角度进行评价,而选煤厂关注的一个重点问题就是产品是否满足生产要求。为解决以上问题,本文提出了多层次模糊综合评价方法,用于对选煤厂分选效果进行综合评价,得到了满意的效果。
1.1 多层次模糊综合评价原理
针对复杂系统的评价往往要考虑多种因素,并且一个因素中还经常包括多个层次,多层模糊综合评价[10-11]描述如下:
设定因素集为U={u1,u2,…,un},然后将U中因素按某些属性分为m个子集,ui={ui1,ui2,…,uim},对每一个ui进行模糊综合评判,其评价集为V={v1,v2,…,vj},对ui各因素分配权重,建立权重向量Ai=(a1,a2,…,aj),一般情况规定
,对于第i个因素的单因素模糊评价向量Ri=(ui1,ui2,…,uim),得出一级模糊综合评价的计算表达式:Bi=Ai∘Ri=(bi1,bi2,…,bim),其中“∘”为“·,+”算子。接下来将Bi视为一个因素,得到一个新的因素集B={B1,B2,…,Bm},给定Bi中各因素赋予权重,得到权重向量A={a1,a2,…,am},可得出二级模糊综合评判的表达式:C=A∘R=(c1,c2,…,cm)。若每个子集ci因素仍然较多,可以再划分子集,进而得到三级评价、四级评价、五级评价等。
1.2 评价方法
出于简便考虑,假设选煤厂分选过程主要包括3个分选作业环节:重介分选、粗煤泥分选和浮选。采用二级模糊综合评价方法对上述3个作业进行综合评价,得出选煤厂总的分选作业的分选效果评价。
1.2.1 因素集确定
因素集是多层次模糊综合评价的基础,需要依据专业知识和经验来确定主要因素。在考虑选煤厂选后产品满足指标要求的前提下,对分选效果进行多层次模糊综合评价,其因素主要包括重介精煤灰分合格率、中煤带煤合格率、中煤带矸合格率、粗精煤灰分合格率、粗尾煤灰分合格率、浮选精煤灰分合格率和浮选尾煤灰分合格率。将上述因素划分为如图1所示的多层次集合。建立各指标的等级标准,见表1,表中比值为各指标实际数据与考核标准数据之比。

图1 二级模糊综合评价流程的因素集及层次
表1 重介、粗煤泥、浮选技术指标等级标准

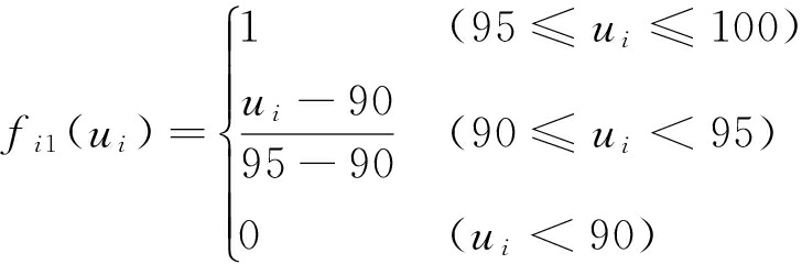
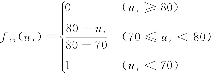
根据表1所示的等级标准,建立多层次模糊综合评价方法中某一指标(ui)对于其上一级指标的各等级的隶属度函数fij(ui):

(1)

(2)

(3)

(4)

(5)
式中:i代表第i个因素,i=1,2,3;j代表因素的第j个等级,j=1,2,…,5。
1.2.2 模糊关系矩阵建立
利用式(1)—式(5)对各因素值进行转化,得
r11=f11(u11),r12=f12(u11),r13=f13(u11),…;
;
r″11=f″11(u31),r″12=f″12(u31),r″13=f″13(u31),…。
由此可以得出重介系统技术指标模糊关系矩阵Rz,粗煤泥系统技术指标模糊关系矩阵Rc,浮选系统技术指标模糊关系矩阵Rf,即

(6)

(7)

(8)
1.2.3 二级模糊综合评价
利用专家评分法建立重介系统、粗煤泥系统、浮选系统权重向量(一级权重向量)Az、Ac、Af,结合模糊关系矩阵进行一级模糊综合评判。3个系统的评价表达式分别为
(9)
(10)
(11)
同样利用专家评分法建立二级权重向量A,并利用一级模糊综合评判结果构建二级模糊矩阵Rn,进行二级模糊综合评判。其最终综合评价表达式如下所示:
(12)
式中n代表第n个月,n=1,2,…,7。
1.2.4 评价集确定
将评价结果分为5个等级:非常好(v1)、好(v2)、较好(v3)、一般(v4)、差(v5),得评价集V={v1,v2,v3,v4,v5}。
利用华北地区某选煤厂7个月的快速检查数据,以月为单位评价每个月的分选效果。7个月的快速检查数据统计计算结果见表2—表4。
表2 重介系统影响因素数据统计计算结果

表3 粗煤泥系统影响因素数据统计计算结果

表4 浮选系统影响因素数据统计计算结果

对重介系统技术指标、粗煤泥系统技术指标和浮选系统技术指标分别赋予权重。权重由多位现场选煤技术专家评定,取均值得出,做归一化处理得权重向量Az=(0.7,0.2,0.1),Ac=(0.6,0.4),Af=(0.55,0.45)。
首先对一月份分选效果进行一级模糊综合评判,将表2—表4中的比值数据依次代入相应的隶属度函数,由式(9)—式(11)计算出B1z、B1c、B1f:
B1z=Az∘R1z=
(0.22,1,0.78,0,0)
(13)
B1c=Ac∘R1c=
(0.36,0.24,0,0.32,0.4)
(14)
B1f=Af∘R1f=
(0,0.045,0.725,0.955,0.275)
(15)
由以上计算结果可以看出,一月份重介系统、粗煤泥系统、浮选系统分选效果分别为“好”、“非常好”、“一般”。
一月份二级模糊关系矩阵为

(16)
依然由现场多位选煤专家给出重介技术指标、粗煤泥技术指标、浮选技术指标3个因素的权重,并取均值,然后做归一化处理得A=(0.6,0.2,0.2),接下来进行二级模糊综合评价,由式(12)计算得到C1:
C1=A∘R1=(0.6,0.2,0.2)∘
(0.204,0.657,0.613,0.255,0.135)
(17)
由上述计算结果可以看出,1月份选煤厂分选效果处于第2等级(好)。
同理可以对2—7月选煤厂的分选效果进行模糊综合评价,所得计算结果如下:
C2=(0.182,0.658,0.76,0.264,0.048)
C3=(0.15,0.663,0.778,0.281,0.072)
C4=(0.25,0.538,0.602,0.282,0.15)
C5=(0.176,0.662,0.692,0.25,0.132)
C6=(0.09,0.203,0.79,0.797,0.12)
C7=(0.477,0.664,0.482,0.252,0.044)
由上述计算结果可得出评价结果,见表5。通过表5可看出,7个月的分选效果等级中没有处于第1等级(非常好)的,2组数据处于第2等级(好),4组数据处于第3等级(较好),1组数据处于第4等级(一般)。从7个月的评价结果来看,分选效果不够理想。
表5 选煤厂分选效果评价结果

利用模糊综合评价方法对某选煤厂1—7月的分选效果进行评价,得出的结论依次为好、较好、较好、较好、较好、一般、好。此结论与现场总体分选效果相符。
利用模糊综合评价方法进行选煤厂分选效果评价,具有以下优点:
(1) 该评价方法充分利用了快速检查数据,省去了现有评价方法要进行的月综合试验,减轻了工作人员的劳动强度。
(2) 现有评价方法只能分别进行重选、浮选分选效果评价,而模糊综合评价方法可以对选煤厂各分选作业的分选效果进行综合评价,有效弥补了现有评价方法的不足。
(3) 用模糊综合评价方法得出的评价等级比较直观,即使非专业人员也可以看明白。
参考文献:
[1] 匡亚莉.选煤厂管理[M].徐州:中国矿业大学出版社,2011.
[2] 谢广元.选矿学[M]. 徐州:中国矿业大学出版社,2001.
[3] 武思源.重介质选煤设备工艺性能评价指标的研究[J].选煤技术,2014(3):88-91.
[4] 蒋淑玲,冯超辉.重介质旋流器分选郑州矿区构造煤应用效果分析[C]//2013年全国选煤技术交流会论文集,太原,2013.
[5] MOHLOANA K M, BOSMAN J. The effect of cyclone geometry and operating conditions on spigot capacity of dense medium cyclones[J]. International Journal Mineral Processing,2008,86(1-4):94-103.
[6] 周俊,孙培林.不完善度I值与可能偏差Ep值的转换[J].煤炭加工与综合利用,2015(11):40-42.
[7] 赵永贵.对流干扰沉降分选机在山脚树矿选煤厂的应用[J].煤炭加工与综合利用,2015(7):22-23.
[8] 刘新春.重力分选性能评定指标的研究[D].淮南:安徽理工大学,2014:1-4.
[9] 任瑞晨,宋金虎,程明,等.低灰浮选尾煤的磨矿脱泥浮选工艺试验研究[J].煤炭学报,2015,40(5): 1143-1147.
[10] 段健,金龙哲,欧盛南,等.模糊数学方法优选高炉喷吹煤[J]. 煤炭学报, 2011,36(9): 1559-1564.
[11] 杨纶标.模糊数学原理及应用[M].北京:科学出版社,2011.
CHEN Peng, PAN Dong, SHI Kaiyi, JI Yonghua
(Department of Chemistry and Chemical Engineering, Liupanshui Normal University,Liupanshui 553004, China)
Abstract:In order to reflect situation that whether products meet index requirements in coal preparation plant, a multi-level fuzzy comprehensive evaluation method was proposed. Taking production data of seven months in one coal preparation plant as research object, the heavy medium separation product index, the coarse slime separation product index and flotation product index were concentrated to form a fuzzy relation matrix, the weight vector was constructed by expert scoring method. And the production data of seven months was calculated by the multi-level fuzzy comprehensive evaluation method. The evaluation results indicated that the optimal target was January and July, and separation effect of February to May was suboptimal. By contrast, separation effect of June was unfavorable. This conclusion is in conformity with field separation effect.
Key words:coal preparation plant; separation effect evaluation; dense-medium separation; flotation; multi-level fuzzy comprehensive evaluation
文章编号:1671-251X(2017)01-0056-05
DOI:10.13272/j.issn.1671-251x.2017.01.014
收稿日期:2016-06-26;
修回日期:2016-09-19;责任编辑:张强。
基金项目:国家自然科学基金资助项目(51504134);贵州省“125计划”重大科技专项项目(黔教合重大专项字[2013]026号);贵州省教育厅基金项目(黔教合人才团队字[2015]69号);六盘水师范学院创新团队项目(LPSSYKJTD201401)。
作者简介:陈鹏(1987-),男,河北景县人,讲师,硕士,主要从事矿物加工工程方面的教学与研究工作, E-mail:chenpeng8789@163.com。
中图分类号:TD948
文献标志码:A
网络出版:时间:2016-12-30 10:31
网络出版地址:http://www.cnki.net/kcms/detail/32.1627.TP.20161230.1031.014.html
陈鹏,潘东,石开仪,等.基于多层次模糊综合评价的选煤厂分选效果评价[J].工矿自动化,2017,43(1):56-60.