张铁山, 任众
(中国矿业大学 银川学院, 宁夏 银川 750011)
摘要:介绍了人耳听觉模型,详细分析了基底膜振动模型、内毛细胞模型和耳蜗核数学模型,并给出了听觉谱特征向量提取过程。在此基础上,提出了基于人耳听觉模型的煤矿顶板敲击声音信号特征提取方法。分别利用人耳听觉模型和小波包对煤矿顶板敲击声音信号进行特征提取,再用支持向量机分类器对目标特征进行分类识别。实验结果表明,对于采用人耳听觉模型提取的特征,正确识别率在95%以上,说明基于人耳听觉模型的煤矿顶板敲击声音信号特征提取方法有利于提高煤矿顶板检测的准确率。
关键词:煤矿顶板检测; 听觉谱特征提取; 人耳听觉模型; 小波包
网络出版地址:http://www.cnki.net/kcms/detail/32.1627.TP.20160902.1020.020.html
在煤炭开采过程中,为了防止发生冒顶事故,顶板检测非常重要。传统的敲帮问顶是检测顶板安全的一种重要方法,它是技术员根据敲击顶板所发出的声音不同来准确判别顶板是否安全的一种人工检测方法[1-4]。该方法要求工作人员有较强的听觉判别技能,且具有危险性。本文提出了基于人耳听觉模型的煤矿顶板敲击声音信号特征提取方法,实现了顶板自动化检测[5]。
1.1 听觉谱特征向量提取过程
利用人耳听觉模型[6-7]模仿人耳听觉系统[8]对声音信号进行分析,处理后所获得的值称为听觉谱。使用听觉模型对听觉谱的特征参数进行提取可得到听觉谱特征。人耳听觉模型如图1所示。对该模型输入一个声音信号,可输出听觉谱。

图1 人耳听觉模型
听觉谱特征提取过程如图2所示。首先对声音信号进行预处理,即对模拟信号进行采样和量化处理,得到数字信号;然后将信号输入人耳听觉模型进行分析,最后通过听觉谱分析得到听觉谱特征向量。

图2 听觉谱特征向量提取过程
1.2 基底膜振动模型
当对耳蜗基底膜[9]输入声音信号时,在基底膜中会有一个与该声音信号的特征频率相对应的位置。此时,该位置的振幅达到最大值。用一个带通滤波器组来模拟耳蜗基底膜的这种特性,耳蜗基底膜的特征频率与滤波器的中心频率是一一对应关系。显然,模拟的精确性与滤波器的个数有直接关系。
利用Gammatone滤波器组模拟基底膜的分频滤波功能。基底膜振动模型滤波过程如图3所示。

图3 基底膜振动模型滤波过程
对复音信号x(t)进行预处理后,得到离散信号x(n),然后采用频率不同的M个Gammatone滤波器对x(n)进行滤波,获得M个离散序列,即XM(n)。
1.3 内毛细胞模型
基底膜振动对内毛细胞产生刺激,在内毛细胞的内部会有能量转换过程。本文采用Meddis模型对该能量转换过程进行模拟分析,如图4所示。Meddis模型输入量是基底膜振动模型的输出量XM(n),输出量为发放率,即PM(n)。

图4 内毛细胞模型
1.4 耳蜗核数学模型
耳蜗核数学模型有3个部分。本文利用PVCN(后腹侧耳蜗核)模型对耳蜗核的生理功能进行模拟。PVCN模型主要作用是提取发放率信息,在输入PM(n)后,得到平均发放率
i(1≤i≤M)。平均发放率等于发出神经元的总量除以所需时间。
1.5 听觉谱分析
用5个能够对谱形结构进行分析的量组成一个矩特征向量G1=[a1,a2,a3,a4,a5],其中a1是听觉谱最大幅值对应的频率,其表达式为
a1=argmax(pfi)
(1)
式中:fi为第i个频率;pfi为第i个频率的幅值。
a2是听觉谱中心的位置,其表达式为
(2)
式中
。
a3是以听觉谱重心为中心的均方根带宽,其表达式为
(3)
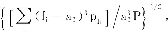
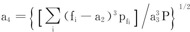
a4是以听觉谱重心为中心的谱3阶中心矩,其表达式为
(4)
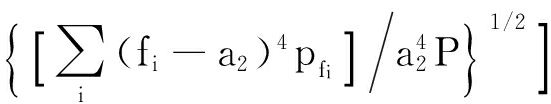
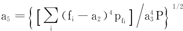
a5是以听觉谱重心为中心的谱4阶中心矩,其表达式为
(5)
矩特征向量可以用耳蜗核的平均发放率
i来表征。
i与式(1)和式(4)中的参数pfi相对应,滤波器i的频率与式中fi相对应,则目标的特征参数可表示为
(6)
实验数据是从某大型煤矿井下顶板上采集的,共有4类目标,其中一类是安全顶板,另外3类是3种危险顶板(浮石、剥层和断裂)。信号采样频率为20 000 Hz,每个样本长度为4 096个点。安全顶板、浮石顶板、剥层顶板和断裂顶板的样本数各为130个。从这些样本中分别取安全顶板、浮石顶板、剥层顶板和断裂顶板的特征各100个,共400个特征组成训练样本集。用剩下的30个安全顶板样本、30个浮石顶板样本、30个剥层顶板样本和30个断裂顶板样本,共120个样本作为测试样本集。实验采用平均值法,做20次实验,取20次实验结果的平均值作为最终结果。
用小波包对敲击声信号特征进行提取,得到的训练输入为32×400的数组,识别输入为3×120的数组。运用支持向量机对小波包特征[10-11]进行分类识别的结果见表1。从表1可以看出,该方法正确识别率达到了86.7%以上。运用支持向量机[12]对人耳听觉模型特征进行分类识别的结果见表2。从表2可以看出,该方法的正确识别率在95%以上,说明基于人耳听觉模型的煤矿顶板敲击声音信号特征提取方法具有很好的分类性,达到了预期效果。
表1 小波包特征分类识别结果

介绍了人耳听觉模型及听觉谱特征向量提取过程,分别运用小波包特征提取方法和基于人耳听觉模型的特征提取方法对煤矿顶板敲击声音信号特征进行提取,并用支持向量机分类器对目标特征进行分类识别。实验结果表明,支持向量机分类器对小波包特征的正确识别率达86.7%以上,对人耳听觉模型特征的正确识别率在95%以上,说明基于人耳听觉模型的煤矿顶板状态特征提取方法具有很好的分类性。
表2 人耳听觉模型特征分类识别结果

参考文献:
[1] 宋振骐,姜福兴.顶板控制专家系统的研制[J].煤炭科学技术,1990,18(2):29-32.
[2] 张谦文,黄开元.顶板压力及顶板动态监测传感器的研究[J].矿业安全与环保,1999,26(2):14-15.
[3] 张勇,闫相宏,宋扬.顶板动态监测集成技术研究[J].矿山机械,2008,36(10):44-47.
[4] 付家才,张铁山,任众.基于支持向量机集成算法的煤矿顶板状态检测[J].微型机与应用,2012,31(17):15-17.
[5] 司荣军,姜福兴,王其军.综放面顶板控制设计专家系统的基础研究[J].矿业安全与环保,2005,32(4):1-2.
[6] 王永琦,基于听觉模型反演方法的语音信号的分析及其应用[D].苏州:苏州大学,2003.
[7] 赵鹤鸣,王永琦,陈雪勤.听觉模型反演方法及其应用[J].声学学报,2005,30(6):52-57.
[8] 吴玺宏,迟惠生,王楚.基于听觉外周模型的语音信号听觉神经表示[J].生物物理学报,1997,13(2):63-70.
[9] 陈伟兵,周凌宏,肖中举.耳蜗基底膜振动模型的建立与应用[J].中国医学物理学杂志,2007,24(3):221-223.
[10] 徐爽.小波分析理论在说话人识别中的应用研究[D].秦皇岛:燕山大学,2004.
[11] 高印寒,谢军,梁杰,等.基于小波分析的听觉滤波器组模型[J].吉林大学学报(工学版),2008,38(增刊1):177-181.
[12] 丁世飞,齐丙娟,谭红艳.支持向量机理论与算法研究综述[J].电子科技大学学报,2011,40(1):2-10.
ZHANG Tieshan, REN Zhong
(Yinchuan College, China University of Mining and Technology, Yinchuan 750011, China)
Abstract:Human auditory model was introduced, vibration model of the basement membrane, inner hair cells model and cochlear nucleus mathematical model were analyzed, and extraction process of auditory spectrum feature vector was given. On the above basis, sound signal feature extraction method of mine roof percussion based on human auditory model was proposed. Human auditory model and wavelet packet were used respectively for sound signal feature extraction of mine roof percussion, and then support vector machine classifier was used for target feature classification and recognition. The experimental results show that correct identification rate of the feature extracted using human auditory model is above 95%, which indicates the sound signal feature extraction method of mine roof percussion based on human auditory model will help improve the accuracy of coal mine roof detection.
Key words:mine roof monitor; auditory spectrum feature extraction; human auditory model; wavelet packet
文章编号:1671-251X(2016)09-0080-03 DOI:10.13272/j.issn.1671-251x.2016.09.020
收稿日期:2016-03-08;
修回日期:2016-07-15;责任编辑:胡娴。
基金项目:宁夏回族自治区2015年高等教育本科教学工程建设项目(NXCX2015343);2016年度宁夏自然科学基金资助项目(NZ16239)。
作者简介:张铁山(1984-),男,宁夏中宁人,讲师,硕士,研究方向为现代矿山电气控制及其信号处理,E-mail:zts336699@126.com。
中图分类号:TD326
文献标志码:A 网络出版时间:2016-09-02 10:20
张铁山,任众.基于人耳听觉模型的煤矿顶板敲击声音信号特征提取[J].工矿自动化,2016,42(9):80-82.