吴舰, 黄侠
(贵州师范大学 机械与电气工程学院, 贵州 贵阳 550001)
摘要:针对煤矿关键设备中滚动轴承故障诊断问题,提出将提升小波变换应用到煤矿轴承故障诊断中,介绍了提升小波变换原理,并设计了自适应提升小波预测器和升级滤波器。仿真结果表明,轴承故障信号实际测量值与理论值平均误差小于3%,说明利用提升小波变换能够实现噪声条件下轴承故障信号的准确识别。
关键词:轴承故障诊断; 提升小波变换; 自适应提升小波
网络出版地址:http://www.cnki.net/kcms/detail/32.1627.TP.20160902.1019.018.html
当煤矿关键电动机轴承出现损伤类故障时,其测量信号中会出现以轴承元件固有频率为载波频率的多频率调制信号,主要体现于不断重复的脉冲衰减信号中[1]。现阶段煤矿电动机轴承振动监测多采用时域和频谱分析,时域分析方法易受噪声干扰,频谱分析方法对于设备轴系故障有效,但对于损伤类故障,由于冲击振动持续时间短,故障特征频率的信号能量比较弱,故障信号被强大的噪声信号淹没,微弱故障特征成分很难从传统频谱中鉴别出来[2]。离散小波变换(DWT)在信号去噪和低比特率的压缩算法中应用广泛[3] 。早期的离散小波变换已经实现了多重速率的滤波器组功能。本文介绍了提升小波变换原理,并将其应用到煤矿轴承故障诊断中。
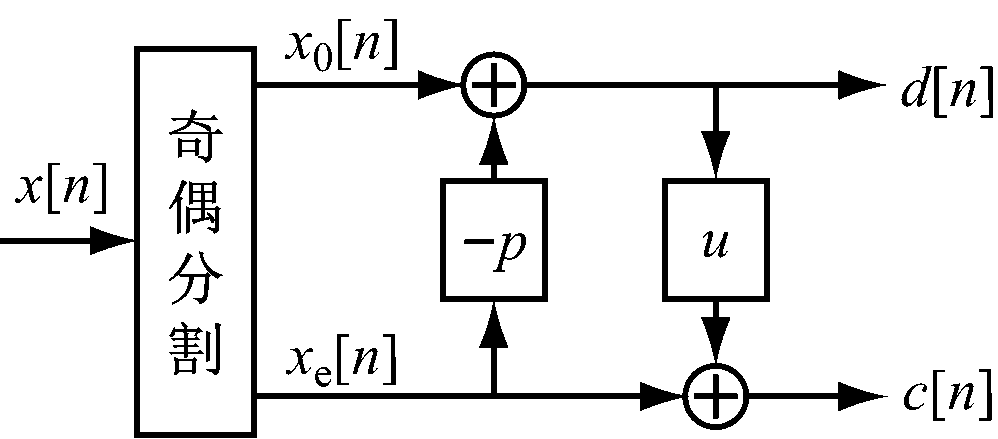
提升小波变换由分割、预测、升级3个基本操作迭代完成[4],如图1所示。该过程是基于Sweldens[5]提出的双正交小波开发的空间区域进行的。
分割:将原始数据分割成2个不相交的子集。如图1中将原始数据集x[n]分割为xe[n]=x[2n](偶数索引点)和x0[n]=x[2n+1](奇数索引点)。

图1 提升小波变换原理
预测:使用预测算子p产生小波系数d[n],将d[n]作为x0[n]到xe[n]的错误估测。d[n]计算公式为
(1)
升级:结合xe[n]和d[n]获得一个缩放系数c[n],表示对原始数据x[n]的粗略近似:
(2)
式中:u()为升级算子。
通过多次迭代提升过程,在输出端产生完整的一组DWT的缩放系数cj[n]和小波系数dj[n][4]。
式(1)和式(2)可改写为
(3)
(4)
2.1 预测器设计
通常情况下,预测算子p是线性移位不变滤波器,是关于z的函数:p(z)=p1z-1+p2+p3z+p4z2。一个N=4的预测器如图2所示,用矢量形式可表示为
(5)

图2 N=4的预测器
预测的目的是消除生成小波系数过程中产生的低次多项式。对于线性预测,形成N×(2N-1)的矩阵 [V]m,n=nm,n=-(N-1),-N,…,(N-1),m=0,1,…,N-1。为了阻止所有多项式递增为N—1阶,令
Vg=0
(6)
由g形成一个范德蒙矩阵的前N行,在N维子空间中,用N×N的矩阵V0和预测器p(z)的系数矢量改写式(6),得
(7)
2.2 升级滤波器设计
在标准的提升过程中,预测系数p[k]必须先于升级滤波器固定。升级滤波器如图3所示,其表达式为uz-2+u2z-1+u3+uz。

图3 升级滤波器
对于升级向量滤波器h,当高次多项式衰减时,可以通过低阶多项式转为c[n]。相反的,可设计镜像升级滤波器向量
(定义
n=(-1)nhn)去抑制低阶多项式:
[-p1u1,-u1,(-p1u2-p2u1),-u2,(1-p2u2-p1u3),-u3,(-p2u3-pu4),-u4,-p2u4]T
(8)
2.3 自适应变换
在尺度自适应变换中,每个提升阶段都会调整预测器,以在相应的尺度上匹配信号结构。自适应变换的基本思路是使用一个线性的N点预测器,但要求其抑制多项式最多只能到M(M<N)阶。剩余的N-M个自由度用于针对信号来调整预测器。在每个尺度上都对N-M个自由度上的预测器进行优化,得到一个优化的预测器匹配结构,从而能够得到更好的匹配信号。
故障检测方案如图4所示,该方案利用信号发生器模拟轴承在不同故障状态下的故障信号,通过功率放大器放大模拟信号,推动谐振器产生振动,然后用标准振动传感器与示波器标定谐振器振动大小。将振动传感器接入振动分析仪振动策略通道,将频率测量信号接入振动分析仪频率测量通道,通过提升小波变换算法分析频率信号,从而得到故障信号。

图4 故障检测方案
用上述方案模拟产生转速为6 m/s、故障频率为14.53 Hz的调制振动信号,如图5所示。
采用升级小波算子对调制振动信号进行分析,识别信号频率如图6所示。

图5 调制振动信号

(a) 载波

(b) 故障波形
图6 识别后信号频率
采用多组检测频率对算法进行验证,振动台模拟轴承故障振动信号数据及测试结果见表1。
表1 振动台模拟轴承故障振动信号数据及测试结果

由表1可知,利用信号发生器调制频率仿真不同转速下对应的轴承故障频率,利用振动分析仪采集、计算得到的轴承故障信号与模拟故障信号基本一致,其测量实际值与理论值平均误差小于3%,说明提升小波变换能够实现对噪声条件下弱轴承信号的准确识别。
通过实验平台模拟故障频率处振动大小,对不同转速下、不同频率所对应的故障频率进行辨识,测试结果表明,测量值与理论值平均误差小于3%。因此,利用提升小波变换能够实现对噪声环境中故障信息的准确提取,有效提升了煤矿关键设备轴承的自诊断能力。
参考文献:
[1] 李臻,操虹,贾洪钢,等. 煤矿带式输送机轴承监测诊断系统及其应用[J]. 工矿自动化,2011,37(12): 15-18.
[2] DONOHO D L. De-noising by soft-thresholding[J]. IEEE Transactions on Information Theory, 1995, 41(3): 613-627.
[3] SWELDENS W. The lifting scheme: A custom-design construction of biorthogonal wavelets[J]. Applied and Computational Harmonic Analysis,1996,3(2):186-200.
[4] DAUBECHIES I, SWELDENS W. Factoring wavelet transforms into lifting steps[J]. Journal of Fourier Analysis and Applications, 1998, 4(3): 247-269.
[5] 张鹏, 倪世宏, 谢川. 提升小波尺度自适应非线性预测算子构造方法[J]. 中南大学学报(自然科学版),2012,43(3):992-996.
[6] GOUZE A, ANTONINI M, BARLAUD M, et al. Design of signal-adapted multidimensional lifting scheme for lossy coding[J]. IEEE Transactions on Image Processing,2004,13(12):1589-1603.
[7] 许悦雷, 马时平, 朱立民,等. 基于提升的自适应非线性小波变换研究[J]. 系统仿真学报, 2009, 21(16): 5141-5144.
[8] DAUBECHIES I. Ten lectures on wavelets[M]. New York: Society for Industrial and Applied Mathematics, 1992.
[9] 乔淑云. 基于EMD方法的煤矿绞车轴承故障诊断[J]. 工矿自动化,2016,42(4):51-54.
[10] GOLUB G H, LOAN C F V. Matrix computations[M]. Baltimore: Johns Hopkins University Press, 1989.
WU Jian, HUANG Xia
(School of Mechanical and Electrical Engineering, Guizhou Normal University,Guiyang 550001, China)
Abstract:In view of fault diagnosis problem of antifriction bearing in mine critical equipment, the paper proposed to apply lifting wavelet transform to fault diagnosis of coal mine bearing, introduced principle of lifting wavelet transform, and designed adaptive lifting wavelet predictor and upgraded filter. The simulation results show that average error of actual measurement value and theoretical value of bearing fault signal is less than 3%, which indicates that the use of lifting wavelet transform enables accurate identification of bearing fault signal under noisy conditions.
Key words:bearing fault diagnosis; lifting wavelet transform; adaptive lifting wavelet
文章编号:1671-251X(2016)09-0074-03 DOI:10.13272/j.issn.1671-251x.2016.09.018
收稿日期:2016-04-11;
修回日期:2016-07-21;责任编辑:胡娴。
基金项目:贵州省科技厅研究项目(黔科合SY〔2010〕3023号)。
作者简介:吴舰(1969-),男,贵州贵阳人,副教授,硕士研究生导师,研究方向为智能控制技术,E-mail:13985560745@163.com。
中图分类号:TD67
文献标志码:B 网络出版时间:2016-09-02 10:19
吴舰,黄侠.提升小波变换在煤矿轴承故障诊断中的应用研究[J].工矿自动化,2016,42(9):74-76.