周炤贤, 陈永刚
(兰州交通大学 自动化与电气工程学院, 甘肃 兰州 730070)
摘要:由于传统id-iq谐波检测法在电网电压不对称与畸变时锁相环测得相角与电网基波正序电压存在相位差,同时,在传统id-iq谐波检测法中使用的低通滤波器性能会影响算法准确性与实时性,提出了一种改进的id-iq谐波检测算法,即利用对称性较好的基波正序电流代替电网瞬时电压进行锁相,从而消除测得电网相角的相位差,并利用平均值理论实现低通滤波器功能,在降低算法延时的同时提高了算法的实时性和检测精度。Matlab/Simulink仿真结果证实了算法的正确性。
关键词:瞬时无功功率理论; 谐波检测; 锁相环; 相位差; 无功补偿; 坐标变换
网络出版地址:http://www.cnki.net/kcms/detail/32.1627.TP.20160803.1008.017.html
随着非线性负荷及电力电子器件在电力系统中的大量应用,电网谐波含量增大,电网谐波治理变得越来越重要[1]。 谐波治理的一个主要方法是利用无源电力滤波器及有源电力滤波器对电网中的谐波进行治理,无源电力滤波器主要用于消除指定次谐波,而有源电力滤波器则可对电网谐波进行实时补偿[2]。 为了从电网中检测出谐波电流,利用有源电力滤波器产生一个与谐波电流幅值相等、方向相反的电流与谐波电流抵消,从而达到谐波抑制与无功补偿的目的[3]。
谐波电流的检测算法是直接影响有源电力滤波器谐波抑制效果的关键环节。目前已有的检测算法有很多种,如基于傅里叶变换的谐波检测法、基于瞬时无功功率理论的谐波检测法、基于小波的谐波检测法[4]及基于模糊时域功率的谐波检测法等。目前应用较广泛的方法是基于瞬时无功功率理论的谐波检测法,由于其算法简单,实时性高,已成为目前谐波检测的主流算法,p-q谐波检测法、dq谐波检测法及id-iq谐波检测法都是在此基础上发展而来的。
p-q谐波检测法依据瞬时无功功率理论,其原理为将网侧电压与电流分别变换至两相旋转坐标系下,从而得到瞬时有功功率p及无功功率q,除去变换后的电压量,通过低通滤波器进行滤波,并进行反变换,得到三相基波电流[5]。由于该算法直接采用网侧电压与电流得到瞬时有功及无功功率,并不适用于网侧电压畸变或不对称的情况。dq谐波检测法原理与id-iq谐波检测法相近,但dq谐波检测法无法将有功及无功分量分离开,故不及id-iq谐波检测法应用广泛。在三相电网电压对称无畸变时,上述3种算法均可准确检测到电网谐波。
当三相电压不对称时,由于负序和零序电压的存在,id-iq谐波检测法中的锁相环对a相电压进行锁相的结果与a相正序电压分量的相角存在相位差[6],虽然该相位差对谐波电流的检测没有明显影响,但会使正序基波有功电流或无功电流检测产生误差,从而影响检测算法对无功检测的准确性[7]。由此,本文在id-iq谐波检测法的基础上,对锁相环节进行了改进,提出了一种改进的id-iq谐波检测算法,用得到的对称性较好且频率与电网电压相同的基波正序电流代替电网电压进行锁相,产生正余弦信号,避免了相角差对无功(有功) 电流检测的影响,并利用电流平均值理论代替算法中的低通滤波器,提高了算法的实时性。
1.1 id-iq谐波检测法原理
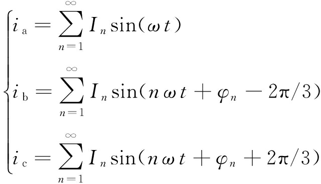
基于Clark及Park变换的id-iq谐波检测法是在瞬时无功功率理论的基础上,将得到的三相电流ia,ib,ic经过三相坐标到两相坐标的变换,变换到两相正交αβ坐标系下得到iα,iβ,再将其变换到旋转两相 d-q坐标系下,得到id,iq0,由运算可知,数值上id等于三相电流在两相旋转坐标系中有功分量ip,iq0等于无功分量iq;再经过低通滤波器分别得到基波正序电流有功分量ip+和无功分量iq+,通过三相静止到两相旋转坐标系变换后,三相静止坐标系下的基波正序电流分量转化为两相旋转坐标系下的直流分量,而其余需要补偿的分量在两相旋转坐标系中为交流分量,便于提取基波正序电流,有利于谐波电流的检测[8]。当三相电压对称且无畸变时,设t时刻三相瞬时电压及瞬时电流值如式(1)、式(2)所示。

(1)

(2)
式中:U为基波电压幅值;ω为三相电压角频率;In为n次电流有效值;φn为n次电流初相角。
三相电流经Clark及Park变换后可得瞬时有功及无功电流为



(3)
式中:In+为n次正序电流;In-为n次负序电流;ifp+为基波正序有功电流;ifq+为基波正序无功电流。
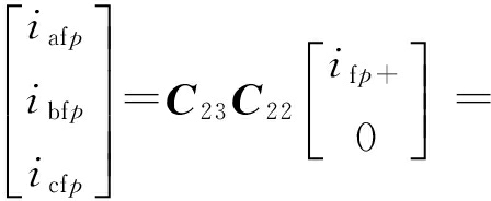
所得到的瞬时有功及无功电流通过低通波器可将其中的谐波分量分离出来,从而得到基波正序电流有功分量ip+和无功分量iq+。再将其分别经过Clark及Park逆变换,得到三相基波电流,其中分别含有有功及无功分量。其中基波正序电流有功分量为

(4)
式中:If+为基波正序电流;φf+为基波正序初相角。
将得到的基波正序电流有功分量与三相电网电流相减,就得到电网的基波正序电流无功分量与谐波分量及负序分量之和。其中基波正序电流无功分量为

(5)
将得到的基波正序电流无功分量与三相电网电流相减,就得到电网的基波正序电流有功分量与谐波分量及负序分量之和。
1.2 id-iq谐波检测法存在的问题
id-iq谐波检测法能准确检测谐波的关键在于锁相环是否可以准确获取与电压基波相角相同的同步旋转角ω t,同时由于在三相电压对称且无畸变时,a相电压角频率与其基波电压角频率相同,故传统id-iq谐波检测法中多用ua进行锁相,以获得同步旋转角ω t[9]。但是,当三相电压不对称时,锁相环得到的是a相电网电压相角,而非a相正序电压相角,即
(6)
此时的电网电压中含有负序及零序电压,其合成的电网电压相角与a相正序电压相角存在一定的相位差θ,锁相环所得到的正余弦信号实际为sin(ω t+θ)及cos(ω t+θ)。
2.1 锁相信号的改进
由式(6)可见,消除正余弦信号误差的关键在于消除相位差θ。由于三相三线制系统中无零序电流分量,当对得到的ip+和iq+分别进行Park及Clark逆变换后,得到三相电网电流的基波正序电流分量iaf,ibf,icf,再将其与ia,ib,ic作差可得到谐波电流[10]。
由于此时得到的三相基波正序有功电流及三相基波正序无功电流较三相电网电流具有较好的对称性,同时由于此时a相基波正序电流iaf与电网电压具有相同的角频率,所以可用 iaf代替ua进行锁相。
三相基波有功电流iafp,ibfp,icfp分别为


(7)
采用iaf代替ua进行锁相后,n=1,θ=0,可以得到更加准确的正余弦信号,从而准确检测基波正序有功及无功电流,提升检测准确度。
2.2 速率的改进
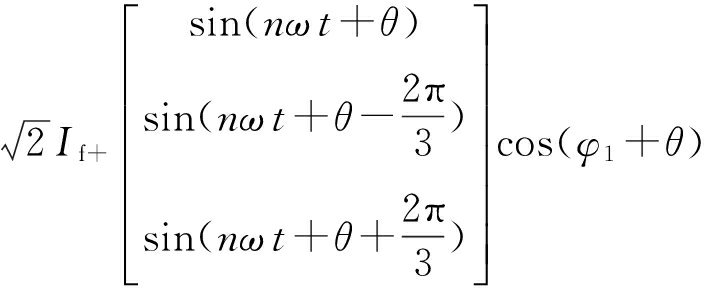
由于在dq变换之后所获得的瞬时有功电流ip及瞬时无功电流iq中含有大量的谐波信号,在传统id-iq谐波检测法中,主要通过低通滤波器来滤除交流信号得到ip+及iq+,但是该滤除方式的效果取决于低通滤波器的性能,并且由于低通滤波器的固有延时,会降低谐波检测算法的整体速度与精度[3]。为降低延时,提高算法精度,本文采用电流平均值理论来取代低通滤波器,电流平均值主要由积分、延时及增益3个部分组成。由式(3)可知,经过三相静止坐标系到两相旋转坐标系变换后,正序分量次数将降低一次,负序分量则会升高一次,基波分量为直流分量,即变换前的奇次谐波分量经过转换后均为偶次分量。此时取积分周期为T/2(T为基波周期),可使积分后交流分量的均值为0。其原理如图1所示。

图1 电流平均值原理
电流平均值的延时模块输出为积分周期为T/2时的积分值,其公式为

(8)
将电流经积分、延时后再除去积分周期,便可得到ip+及iq+。
改进后的id-iq谐波检测算法原理如图2所示。

图2 改进后的id-iq谐波检测算法原理
图2中,iah,ibh,ich分别为三相电流中负序电流和谐波电流之和。
为验证改进算法的效果,本文采用Matlab/Simulink电力系统仿真软件进行了建模仿真。设仿真时间为0.1 s,仿真算法为ode23tb。
改进id-iq谐波检测算法仿真模型主要由交流电压源、电压电流测量模块、串联负载、坐标变换模块、同步六脉冲发生器、通用整流桥、锁相环、平均值模块、电力系统分析模块等组成,各相并联交流电压源以模拟3,5,7次谐波。
三相不对称电压波形与三相畸变电流波形如图3所示。如图3(a)所示,a相电压峰值为220 V,初始相角为0,b相电压幅值为110 V,相角滞后于
c相电压幅值为220 V,相角滞后于a相
。图3(b)为三相畸变电流波形,由于网侧电压三相不对称,同时并入了谐波源分别模拟3,5,7次谐波,使三相电流波形出现了明显畸变。

(a) 三相不对称电压波形

(b) 三相畸变电流波形
图3 三相不对称电压波形与三相畸变电流波形
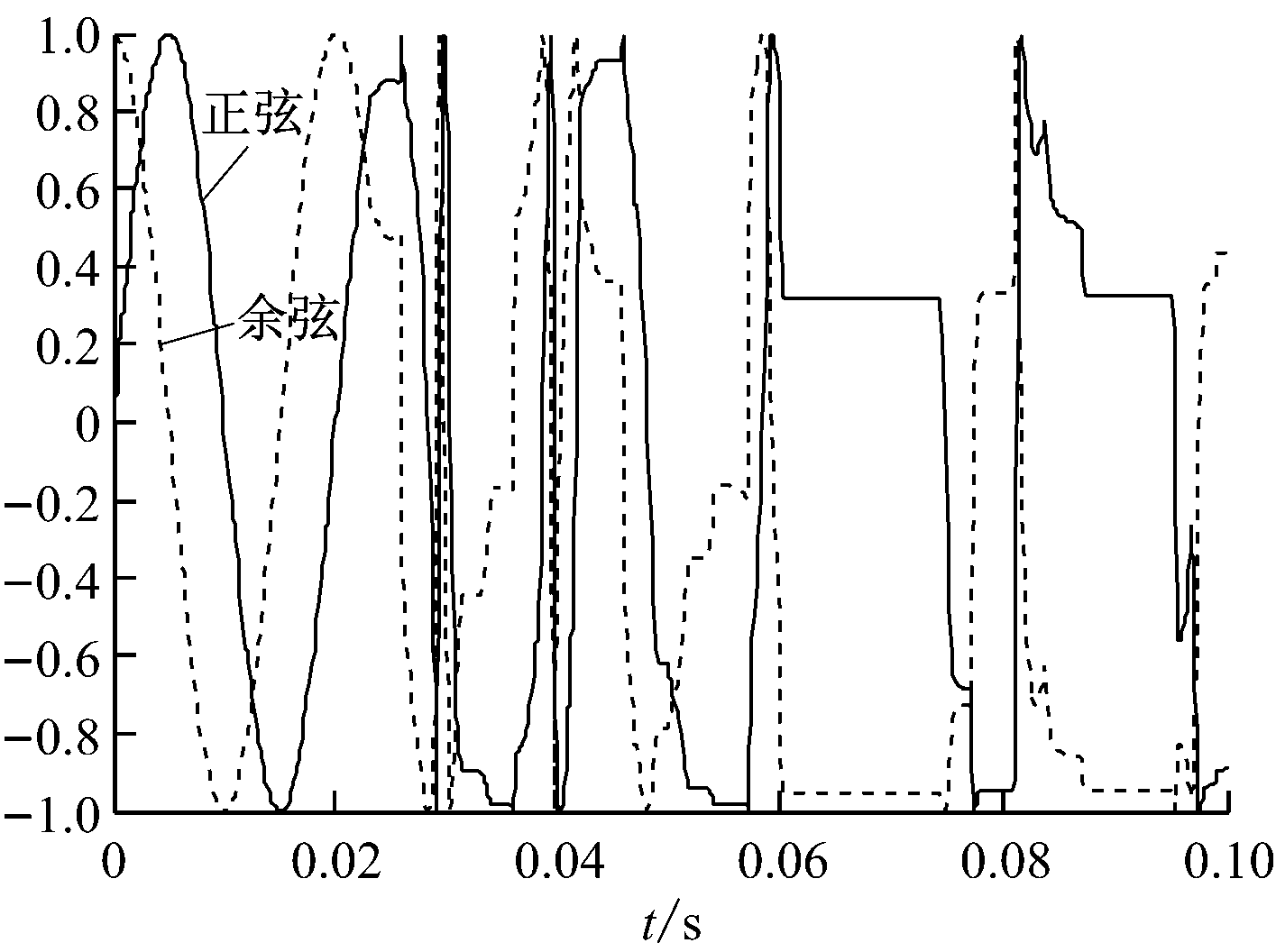
改进前后所得到的正余弦信号波形如图4所示。从图4可以看出,改进后的正余弦信号波形更加规则,更加符合正余弦曲线。由此可见算法在改进后,在三相电压不对称时可以精确跟踪电网基波正序电压相角,即完全消除了相位差,提高了算法整体精度。
改进前后的三相正序基波有功电流波形如图5所示。在本仿真中,a,b,c三相电网电流畸变率分别为15.78%,19.02%,6.67%。改进前三相基波正序有功电流畸变率为8.74%,改进后三相正序基波有功电流畸变率为1.63%; a相基波正序电流畸变率在改进前为0.65%,改进后为0.61%;b相基波正序电流畸变率在改进前为0.09%,改进后为0.07%;c相基波正序电流畸变率在改进前为0.15%,改进后为0.12%。虽然畸变率无大幅度下降,但是足以说明改进后的谐波检测算法较改进前的检测算法更为精确,同时通过对比可以看出,改进前后的2种算法在电压三相对称时均可准确地进行无功及谐波电流检测,即在电网电压三相对称且无畸变时,改进后算法也可以不加修改地进行使用。

(a) 改进前的正余弦信号波形

(b) 改进后的正余弦信号波形
图4 改进前后的正余弦信号波形

(a) 改进前的三相正序基波有功电流波形

(b) 改进后的三相正序基波有功电流波形
图5 改进前后的三相正序基波有功电流波形
改进的id-iq谐波检测算法利用对称性较好的基波正序电流代替电网瞬时电压进行锁相,并利用平均值理论实现低通滤波器的功能,在降低算法延时的同时提高了检测精度。Matlab/Simulink仿真结果表明,改进后的检测算法在三相电压不对称情况下,可准确测得a相正序电压相角,即可有效消除相位差,能较准确地检测出三相基波正序有功及无功电流,在一定程度上降低了三相基波正序电流畸变率,算法动态响应较好,速率相对较高。
参考文献:
[1] 杨浩,叶明佳,张楠.三相电压不对称系统的谐波和无功电流检测[J].计算机仿真,2012,29(11):336-340.
[2] 熊杰锋,李群,袁晓冬,等.电力系统谐波和间谐波检测方法综述[J].电力系统自动化,2013,37(11):125-133.
[3] 公茂法,张旭,朱义凯.一种改进型ip-iq谐波检测法[J].工矿自动化,2013,39(1):70-74.
[4] 房国志,杨超,赵洪.基于FFT和小波包变换的电力系统谐波检测方法[J].电力系统保护与控制,2012,40(5):75-79.
[5] 王丽,刘会金,王陈.瞬时无功功率理论的研究综述[J].高电压技术,2006,32(2):98-100.
[6] 马大铭,朱东起,高景德.三相电压不对称时谐波和无功电流的准确检测[J].清华大学学报(自然科学版),1997,37(4):9-12.
[7] 廖代发,唐忠,陈永炜,等.基于瞬时无功功率理论的谐波电流检测改进方法及其数字低通滤波器的优化设计[J].电力科学与技术学报,2009,24(1):74-80.
[8] 李圣清,朱英浩,周有庆,等.电网谐波检测方法的综述[J].高电压技术,2004,24(3):39-42.
[9] 郭世才.数字式有源电力滤波器的研制[D].南昌:南昌大学,2006.
[10] 陈东华,谢少军,周波.用于有源电力滤波器谐波和无功电流检测的一种改进同步参考坐标法[J].中国电机工程学报,2005,25(20):62-67.
收稿日期:2016-01-29;修回日期:2016-03-16;责任编辑:张强。
作者简介:周炤贤(1990-),男,甘肃兰州人,硕士研究生,研究方向为电力系统电能质量及电力电子技术在电力系统中的应用,E-mail:zzx729409919@163.com。
文章编号:1671-251X(2016)08-0069-05
DOI:10.13272/j.issn.1671-251x.2016.08.017
中图分类号:TD611
文献标志码:A 网络出版时间:2016-08-03 10:08
ZHOU Zhaoxian, CHEN Yonggang
(School of Automation and Electrical Engineering, Lanzhou Jiaotong University, Lanzhou 730070,China)
Abstract:Due to phase angle measured by phase locked loop has phase difference with grid positive sequence fundamental voltage of traditional id-iq harmonic detection method in grid voltage asymmetry and distortion phase, at the same time, low pass filter performance used in traditional id-iq harmonic detection method will influence accuracy and real-time performance, an improved id-iq harmonic detection algorithm was proposed, namely using of fundamental positive sequence current with good symmetry to instead of instantaneous voltage to lock phase, so as to eliminate measured phase difference of phase angle of power grid, and using of average value theory to replace function of the low pass filter,in order to reduce time delay and improve real-time performance and detection accuracy of the algorithm. The Matlab/Simulink simulation result proves that the algorithm is correctness.
Key words:instantaneous reactive power theory; harmonic detection; phase locked loop; phase difference; reactive power compensation; coordinate transformation
周炤贤, 陈永刚.一种适用于三相电压不对称情况下的改进id-iq谐波检测算法[J].工矿自动化,2016,42(8):69-73.