房绪鹏1,2, 李辉1,2, 庄见伟1,2 , 陈志巧1,2
(1.山东科技大学 电气与自动化工程学院, 山东 青岛 266590;2.山东科技大学 矿山灾害预防控制省部共建国家重点实验室培育基地, 山东 青岛 266590)
摘要:针对现有的UPS切换判别方法会导致误动作的问题,采用DSP技术设计了一种UPS快速切换判别方法。该方法采用软件锁相方式,根据DSP采集并处理得到的交流电压幅值和相位进行掉电检测和电压跌落检测,当检测值超过设定范围时进行UPS切换。实验结果表明,该方法能够快速、准确地判断出交流掉电和电压跌落,在1 ms左右时间内实现UPS切换。
关键词:UPS切换; 交流掉电; 电压跌落
网络出版地址:http://www.cnki.net/kcms/detail/32.1627.TP.20160803.1007.016.html
UPS(Uninterruptible Power Supply,不间断电源)发展初期只是作为一种备用电源。随着计算机及其他通信设备的发展,电能质量及供电中断易引起设备受干扰甚至无法正常工作,从而造成巨大经济损失。根据中国煤矿相关规定,井下监控及通信等设备在电网停电后必须继续工作2 h。这使得UPS在煤矿的应用日益受到重视,并发展成为一种具有改善电能质量功能的电力保护设备。UPS系统在电能质量不满足要求或交流供电中断时能否准确、及时地切换,是衡量UPS系统的一个重要性能指标。目前UPS正朝着数字化与智能化方向发展,DSP(Digital Signal Processor,数字信号处理器)在UPS系统中得到大量使用。参考文献[1]提出了基于模拟和数字混合瞬时值的交流掉电检测方法,但该方法在电压相位发生突变时会误动作。参考文献[2]提出了一种以DSP为核心的基于电压瞬时值的数字检测方法,但未对电压的计算做出详细阐述。本文采用DSP技术,设计了一种UPS快速切换判别方法,减少了外围电路,提高了UPS系统的可靠性。
为同步采集电网电压,需要使用硬件锁相环或软件锁相环。硬件锁相环使得电路过分依赖硬件,增加系统成本。一般的软件锁相环需要大量数据计算,占用大量的系统资源,还需要不断地调整采样频率,以进行同步采样。参考文献[3]提出了一种计算量小、采样频率恒定、适用性强的电压采样方法,如图1所示。

图1 电压采样方法
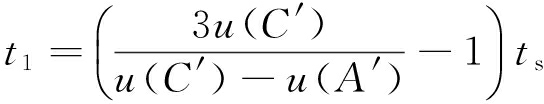
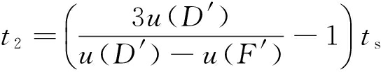
图1中,A′,A,C,C′,D′,D,F,F′为电压采样点,但不是电压过零点;B,E为电压过零点。假设B点到C点的时间间隔为t1,D点到E点的时间间隔为t2,在A,C,D,F点的采样电压分别为u(A),u(C),u(D),u(F)。在电压过零点附近,曲线AC,DF可近似视为直线,则有
(1)
(2)
式中ts为采样时间间隔。
在采样频率较高时,为减小干扰的影响,t1,t2可根据式(3)、式(4)计算:
(3)
(4)
式中:u(A′),u(C′),u(D′),u(F′)分别为A′,C′,D′,F′点的采样电压。
如果在1个周期内采样N个点,则电压周期为
(5)
由此得采样频率为
(6)
相应的采样角频率为
(7)
第k个采样点对应相位为
(8)
该方法在不改变采样频率的前提下,无需硬件锁相环锁相,只通过少量的运算即可实现电压采集。
2.1 掉电检测
交流掉电使输入交流电压值变为0。常用的交流掉电数字判别方法是检测当前时刻的电压值,如果检测值接近0,则认为发生了交流掉电。但在电压过零点附近出现掉电时,上述方法因采样电路所受的随机性干扰及锁相的截尾误差,不能够正确判别。
在交流电压过零点附近,电压变化率在整个周期内最大,可采用斜率判别方法。在电压过零点附近,若采集到的一组电压值u(k-9),u(k-8),…,u(k)(u(k)为第k个采样点电压)近似为0,按照u(k-9)与u(k-4)、u(k-8)与u(k-3)、u(k-7)与u(k-2)、u(k-6)与u(k-1)、u(k-5)与u(k)组合,计算出5个电压随时间变化的斜率。为排除外界干扰影响,计算的5个斜率中如果有3个及以上在对应时刻预定的电压斜率变化范围内,则认为供电未中断,否则认为交流掉电,UPS系统应切换。
在电网电压非过零点附近出现交流掉电时,因干扰造成的影响较小,若采集的电压值u(k-9),u(k-8),…,u(k)近似为0,按u(k-9)与u(k-4)、u(k-8)与u(k-3)、u(k-7)与u(k-2)、u(k-6)与u(k-1)、u(k-5)与u(k)进行组合,计算出5个电压随时间变化的斜率(目的是排除因电压相位突变对掉电判断造成的干扰)。如果电压非过零点附近连续采集的10个点中,有8个及以上点的电压近似为0,且计算的5个斜率中有3个及以上不在电压过零点处预定的斜率范围内,则认为此时发生交流掉电并进行UPS系统切换。
2.2 电压跌落检测
电网电压在运行过程中,大功率负荷的投入会造成一定的电压跌落,此时UPS系统不应切换。但若因供电系统故障导致电网的电压降为原来的60%以下,某些UPS系统为保证供电质量,需根据设定的电能指标参数判断是否应进行切换动作[4-5]。电网电压未发生跌落时,设第k个采样点电压为
(9)
式中U为电压跌落前的电压幅值。
假设电网电压在第k+1个采样点发生跌落,此时电压幅值为
(10)
常用的电压跌落判别方法:判断根据连续采样点计算出的电压幅值是否超出设定范围,如在连续采集的10个点中,有6个点的电压不在合理范围内,即认为电压发生了异常,需要进行UPS系统切换。该方法适用于电网电压发生跌落、相位未发生突变的情况。
图2为相位突变时发生电压跌落的波形。

图2 相位突变时发生电压跌落波形跌落前的电网电压为
(11)
跌落后电网电压为
(12)
式中φ为电压相位突变角。
电网电压跌落后,电压的相位角是否发生突变是无法预知的,电压幅值变化量为
(13)
即
(14)
进一步化简得
(15)
对式(15)求导,得
(16)
式(15)、式(16)表明,若电网电压发生相位突变,由式(13)得到的|ΔU|会不断增大,在接近nπ(n∈Z)时,|ΔU|近似于无穷。此时对于图2(a)所示的不应切换的电压跌落,采用该方法会造成误动作。而对于图2(b)所示情况,在电网电压突变后,因突变前后的电压瞬时值恰好相等,UPS系统会等待ΔU超过某一值后再进行切换动作,存在一段时间延迟,而不能够迅速切换。
本文采用的电网电压跌落判别方法如下。首先令
(17)
(18)
式中:Uα,Uβ分别为U在α-β坐标系下α轴、β轴上的分量。
假设第k个采样点的电压值为u(k),第k+1个采样点的电压值为u(k+1),令
(19)
由于三角关系:
(20)
对式(20)进行离散化,得
(21)
则有
(22)
(23)
式中θ为电压相位角。
当采样频率很高时,为进一步减小计算误差,可将式(21)变为
Uβ=csc(n ω ts)u(k+n)-cot(n ω ts)u(k)
(24)
假设在采样点u(k)与u(k+1)之间发生电压跌落,如图3所示。令n=2,在发生电压跌落前,采用u(k)之前的采样点计算得到的电压幅值相等且相位连续;在发生电压跌落后,采用u(k+1)之后采样点计算得到的电压幅值相等且相位连续。

图3 采样点组合
采样过程中干扰时刻存在,通常采样时的高频干扰为μs级。假设采样点u(k+4)受到干扰,此时使用u(k+2),u(k+4)和u(k+4),u(k+6)计算得到的电压幅值与由其邻近点计算得到的电压幅值不相等且相位不连续,由此可初步判断u(k+4)为受干扰的采样点。但若u(k+2)与u(k+6)为受干扰点,u(k+4)未受干扰,此时使用u(k+2),u(k+4)和u(k+4),u(k+6)计算得到的电压幅值与由其邻近点计算得到的电压幅值也不相等且相位不连续。为提高抗干扰性,改变n取值,若不同n值下采用某点计算出的电压幅值与采用其邻近点计算得到的电压幅值均不相等且相位不连续,则可判断该点为受干扰的采样点,并得到更多的采样点电压幅值与相位计算结果。剔除受干扰的采样点计算结果,其余计算结果中若电压幅值基本相等,相位基本连续,则将计算得到的电压幅值与设定值相比较,若超出设定值,则认为发生了电压跌落,需要迅速切换。
需要注意的是,由于相位发生突变会导致电压周期T发生改变,在接下来1个周期的软件锁相过程中应只判断过零点,不更新频率。
为快速准确地进行UPS系统切换,应注意以下3点:① 根据系统采样点,利用软件锁相环进行相位同步;② 每采样1点,首先进行掉电检测,若检测到电网电压掉电,马上切换,不必进行电压跌落检测;③ 采样点在未检测到掉电时,应进行电压跌落检测,如果电网电压跌落超出预定范围,则应立即进行切换。
UPS快速切换判别方法的软件主要包括上电初始化程序、A/D转换程序、电能质量检测程序、频率与相位快速判别程序、电压突变与掉电判别程序、继电器输出程序等,程序流程如图4所示。通过定时器设定采样频率。电能质量检测程序不需要在每个周期都调用,可1 s调用1次。频率与相位快速判别程序需要每个周期调用1次。电压突变与掉电判别程序需要每个采样点调用1次,以便快速准确地完成UPS系统切换。

图4 UPS快速切换判别方法程序流程
以TMS28335浮点型DSP为核心搭建实验平台,设采样频率为12.8 kHz。测试信号由12位高精度数模转换芯片组成的可编程信号发生器模拟产生。因TMS28335引脚驱动能力不足以驱动继电器,外扩74LVC4245电平转换芯片来提高其驱动能力。通过示波器的单次触发功能观察实验波形,如图5所示。

(a) 过零点掉电

(b) 非过零点掉电

(c) U′=60U,φ=0°

(d) U′=50%U,φ≠0°
图5 实验波形
图5(a)为电压过零点附近的掉电与切换输出波形,切换时间略大于1 ms;图5(b)为电压非过零点处的掉电与切换输出波形,切换时间略小于1 ms;图5(c)为电压非过零点处的电压幅值跌落为正常幅值的60%且相位未突变时的切换输出波形,切换时间略小于1 ms;图5(d)为电压非过零点处电压幅值跌落为正常值的50%且相位发生突变时的切换输出波形,切换时间略大于1 ms。从图5可看出,系统可在1 ms左右准确做出UPS系统是否需要切换的判断并完成切换动作。
UPS快速切换判别方法采用软件锁相,避免了对硬件锁相环的依赖,增强了软件移植性;采用幅值与相位结合的方法进行掉电检测,根据电压跌落程度判别是否进行UPS切换。实验结果表明,该方法能够快速、准确地判断出交流掉电和电压跌落,从而实现UPS切换。
参考文献:
[1] 吴鸿霞,皮大能.基于DSP在线互动式UPS掉电检测电路的设计[J].黄石理工学院学报,2007,23(4):9-12.
[2] 王俊伟,俞冬冬,吴秋轩.基于DSP的新型掉电快速检测系统[J].杭州电子科技大学学报,2011,31(4):188-191.
[3] 贺博林.一种频率变化时电气信号参数的测量方法及其装置的研究[D].长沙:长沙理工大学,2013.
[4] 王归新,段善许,康勇,等.一种新型软硬件结合的UPS切换技术[J].电力电子技术,2003,37(6):39-41.
[5] 曹立志,王小君,和敬涵,等.基于DSP的电压暂降检测方法研究[J].电力系统保护与控制,2012,40(13):78-83.
文章编号:1671-251X(2016)08-0065-05
DOI:10.13272/j.issn.1671-251x.2016.08.016
收稿日期:2016-03-11;修回日期:2016-07-11;责任编辑:李明。
基金项目:中国博士后科学基金资助项目(20090461254);山东科技大学研究生教育创新计划资助项目(2014BK023)。
作者简介:房绪鹏(1971-),男,山东汶上人,副教授,博士,主要研究方向为阻抗源变流器及其应用,现代电力电子技术在电力系统、电气传动、新能源方面的应用等,E-mail:xpfang69@163.com。
中图分类号:TD61
文献标志码:A 网络出版时间:2016-08-03 10:07
FANG Xupeng1,2, LI Hui1,2, ZHUANG Jianwei1,2, CHEN Zhiqiao1,2
(1.College of Electrical Engineering and Automation, Shandong University of Science and Technology,Qingdao 266590, China; 2.State Key Laboratory Breeding Base for Mining Disaster Prevention and Control, Shandong Province and Ministry of Education, Shandong University of Science and Technology, Qingdao 266590, China)
Abstract:For incorrect operation of existing identification methods for UPS switching, an identification method for UPS rapid switching was designed by use of DSP technology. The method uses software lock mode, and adopts AC voltage amplitude and phase signals colleted and processed by DSP to measure power fail and voltage drop. When the measured value exceeds the setting one, USP would be switched. The experimental result shows the method can determine AC power fail and voltage drop, and achieve UPS switching in about 1 ms.
Key words:UPS switching; AC power fail; voltage drop
房绪鹏,李辉,庄见伟,等.一种UPS快速切换判别方法[J].工矿自动化,2016,42(8):65-69.