周培强1 , 周孟然2, 谢颖1, 王萍萍1, 曹珍贯2, 罗倩2
(1.国网安徽省电力公司 淮南供电公司, 安徽 淮南 232001;2.安徽理工大学 电气与信息工程学院, 安徽 淮南 232001)
摘要:针对传统电网风险评估及可靠性分析主要集中在继电保护可靠性指标方面,而没有涉及继电保护装置运行中可靠性的变化和面临的实际风险等问题,提出了采用三参数Weibull分布对时变失效率进行估算的方法,建立了基于多重因素下的10状态Markov模型。通过Matlab仿真软件对电网运行与管理数据进行分析处理,得到时变失效率函数模型;结合软、硬件与管理等因素,采用PSS/E软件建立了基于Markov模型的继电保护装置全过程隐性风险的评估体系。实验结果表明,该体系对电网存在的隐患能早发现、早整改,提高了电网的管理水平,实现了电网的安全稳定运行。
关键词:继电保护; 风险评估; 三参数Weibull分布; 时变失效率; Markov模型
网络出版地址:http://www.cnki.net/kcms/detail/32.1627.TP.20160803.1006.014.html
继电保护装置的可靠性一直是电力生产中的重中之重[1-2],保护装置失效会发生电力事故和造成电力网络的瘫痪,给工业生产和人民生活乃至电网安全带来巨大的影响,因此,继电保护装置的风险评估是反映电网安全可靠运行的重要指标。失效率是风险评估的指标之一,但是失效率会随着时间而变化,使得风险评估变得十分困难[3-4]。传统方法往往只测量继电保护稳态和静态指标[5],利用RiskWeibull分析系统对数据进行可靠性分析。这种方法只能对数据进行定量静态分析,一旦系统出现扰动,无法进行可靠性分析。如何对继电保护装置运行中可能出现的变化和面临的暂稳态风险进行深入分析,从保护装置运行的实际情况进行全过程的系统评估显得尤为重要。
本文针对传统风险评估及可靠性分析主要集中在继电保护可靠性指标,没有涉及继电保护装置运行中可靠性的变化和面临的实际风险,未从继电保护的全过程进行研究等方面的不足,提出了利用三参数Weibull分布[6]拟合时变失效率函数曲线,综合多方面因素对继电保护全过程的隐性风险进行智能评价,研究改善隐性风险对电网继电保护[7]的影响,在实现继电保护全过程风险评估的同时,建立了更为完善的电网管理运行机制,实现电网安全可靠的运行。
1.1 失效率计算原理
失效或故障是指设备丧失原有功能。继电保护中描述失效的指标称为失效率函数,简称失效率,是可靠性评估的重要指标之一,记为
,用于表示工作到t时刻尚未失效的产品,在t时刻后发生失效的概率。若用X表示保护装置无故障运行时间,Pr表示事件发生的概率,则失效率函数可表示为
(1)
失效率定义与失效频率类似,用于反映保护装置可靠性。根据相关定义,可靠度
是反映保护装置t时刻仍能够正常运行的概率,其与失效率
关系为
(2)
若用
和
表示继电保护装置无故障运行时间X的概率密度函数和分布函数,则失效率可表示为
(3)
设λ0为继电保护装置的偶然失效率,
为继电保护装置的老化失效率函数, 则失效率估算流程如图1所示。

图1 失效率估算流程
图1中,γ,α,β分别为位置参数、尺度参数、形状参数;γi、γi+1分别为第i次和第i+1次迭代的位置参数结果。
1.2 继电保护风险评估原理
风险与事故发生的概率及产生的后果均有联系,故采用风险对可靠性进行评估。由于保护装置同时有误动和拒动的可能,为加以区分,将风险引入到可靠性评估中,以达到同时考虑其失效的可能性和后果的目的。本文主要通过对风险的估计进行可靠性评估,考虑多重因素影响,将运行状态分为10种情况进行讨论,建立10状态的Markov模型,根据输电线路与保护装置的不同状态推导出风险的计算方法,根据某电力公司提供的设计、安装、运行与管理的实时测量数据,分别计算隐性误动、显性误动、隐性拒动和显性拒动等4个风险,并对结果进行分析处理,综合考虑各方面因素,建立继电保护运行全过程隐性风险的评估体系。
通常用事故发生概率与产生后果的乘积表示风险:
R=PrI
(4)
式中I为后果。
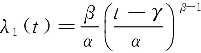
Weibull分布在失效率函数的拟合与可靠性评估中应用十分广泛,传统的二参数Weibull分布老化失效从运行开始就存在,不符合实际情况。三参数Weibull分布在临界点以前只出现偶然失效的现象,从临界点开始才出现老化失效的现象,与实际情况下的失效率曲线完美贴合,故选用三参数Weibull分布对失效率函数进行拟合。
当满足三参数Weibull分布时,失效分布函数与老化失效率函数分别可表示为
(5)
(6)
式中γ≥0。
失效率估算算法基本步骤:首先根据给出的数据算出继电保护装置的偶然失效率λ0,再利用最小二乘法根据三参数Weibull分布函数计算老化失效率
。
假设位置参数初值为γ0,将三参数Weibull转换为二参数Weibull,对失效分布函数(式(5))两边取对数,得
-βlnα,设
,可将上式整理为y=ax+b,利用最小二乘法求得a,b,代入式(7)和式(8),得到形状参数和尺度参数为
(7)
(8)
代入式(6),计算出第1次迭代的位置参数![]()
多次迭代求取平均值,将最终得到的α,β,γ代入式(6)中,即可得到老化失效率函数
,进而得到失效率函数
。
本文利用三参数Weibull分布函数对保护装置老化失效特性进行拟合,结合某电力公司提供的实际故障数据,用最小二乘法对形状参数、尺度参数及位置参数进行计算,实现老化失效率函数的拟合,结合偶然失效率的计算结果,计算继电保护装置的总失效率函数(时变失效率),为风险评估体系的后续研究工作奠定了基础。
根据被保护元件(C)和保护装置(P)的4种工作状态(正常运行 (UP)、故障 (DN)、定期检修(ISP)和线路停运(ISO))对线路-保护系统组成进行划分,最终划分出的10种状态见表1。
表1 线路-保护系统简单的状态划分

为确定每种后果发生的概率,假设失效率恒定,采用Markov模型分析系统运行全过程,建立线路-保护系统的10状态Markov模型,如图2所示。
系统最初处于状态1,此时继电保护和线路均为正常状态;当线路发生故障,则进入状态10,经过故障后修复,回到状态1;当经过线路定检时间Qc,系统进入状态9,线路处于定检状态,继电保护处于隔离状态,经定检修复率μtc修复后,回到状态1;同理,状态6为经保护定检时间Q而进入定期检修,线路处于停运隔离状态,经定检修复率μφ修复后,回到状态1;当线路正常工作而继电保护的自检功能(ST为自检率)检测到保护异常时,系统进入状态2或状态4,经保护修复率μr修复后重新回到状态1;当继电保护将要发生误动,但未被自检功能发

图2 线路-保护系统的10状态Markov模型
现,则进入状态3,若本线路未故障而下一级线路故障,保护装置问题暴露,进入状态7,经修复率μr修复,回到状态1,若下一级线路始终未故障,保护定检时间到来,则直接进入状态6;同理,当继电保护将要发生拒动,但未被自检功能发现,进入状态5,若本线路发生故障,则保护装置问题暴露,进入状态8,经修复率μc修复后回到状态1,若本线路一直未故障,保护定检时间到来,则直接进入状态6。
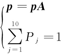
对于上述10状态Markov模型,设驻留概率矩阵为p =[P1 P2 … P10], 建立时变状态概率微分方程组,则驻留概率满足如下方程

(9)
其中,状态转移矩阵A表示为
A=
(10)
式中:ajj(j=1,2,…,10)为第j行所有元素之和的相反数;μtc,μtp分别为不同条件下的定检修复率;λ12,λ13,λ14,λ15分别为线路间的失效率,计算公式如下:

(11)
式中:λWWD为误动概率;λWJD为拒动概率。
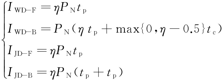
根据Markov模型,可得到装置不同失效情况下的后果为

(12)
式中:IWD-F,IWD-B,IJD-F、IJD-B分别表示隐性误动风险、显性误动风险、隐性拒动风险和显性拒动风险;PN为该段线路额定传输容量;η为负载率;tp为保护装置的平均修复时间;tc为输电线路的平均修复时间。
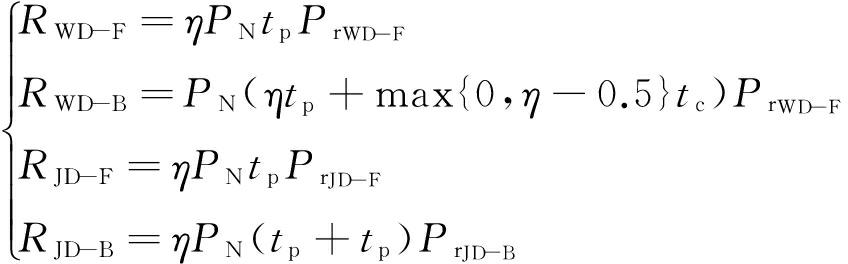
结合Markov模型,对输电线路与保护装置不同状态逐一进行分析,从而得到隐性误动风险、显性误动风险、隐性拒动风险和显性拒动风险4种风险的计算公式为

(13)
式中:RWD-F,RWD-B,RJD-F ,RJD-B分别为实际隐性误动风险、实际显性误动风险、实际隐性拒动风险和实际显性拒动风险;PrWD-F ,PrWD-B,PrJD-F,PrJD-B分别为显性误动概率、隐性误动概率、显性拒动概率和显性误动概率。
整体风险为
(14)
4.1 三参数Weibull分布失效率估算模型
本文采用Matlab搭建三参数Weibull分布的继电保护装置失效率估算模型。根据某电力公司提供的数据,可直接求得偶然失效模式下的继电保护装置失效率为λ0=7.18×10-5;老化失效数据用最小二乘法进行拟合,可得二参数Weibull分布参数:β=2.58,α=1 291.3,γ=1 530,将数据代入式(6),可得老化失效率为
1.58,从而由经验公式
得到总失效率函数,即时变失效率
=7.18×10-5+
1.58。由此得到保护装置时变失效率函数曲线,如图3所示。

图3 继电保护装置时变失效率函数曲线
由图3可看出,在1 530 d之前,继电保护装置老化失效极少,可以认为只有偶然失效;当保护装置运行至1 530 d之后,保护装置失效率既包含偶然失效又包含老化失效。该曲线符合一般工业设备的失效“浴盆”曲线,也验证了基于三参数Weibull分布在继电保护装置中应用的合理性。
4.2 基于Markov模型的继电保护装置风险评估体系
基于Markov模型的继电保护装置风险评估体系采用PSS/E软件实现。PSS/E是一款用于电力系统分析及仿真的应用软件,集计算、分析、仿真功能于一身,可用于潮流计算、短路计算与系统暂态稳定性分析。PSS/E支持多种交互式功能,本文以电力系统网络为原型进行模型搭建,仿真模型如图4所示。

图4 电力系统网络仿真模型
具体仿真方法:选择ALTR功能模块进行故障仿真,实时更新动态仿真数据,可以对系统暂稳态进行分析,随时对动态数据工作内存中的数据项的值做检查和改变,并通过与负荷潮流功能CASE,CHNG,ORDR及FACT的自动连接提供对网络数据改变的说明[8-10]。执行CASE功能,并且将指定的算例文件保存到工作算例,指定更改数据后进入CHNG,同时执行FACT功能。若检测到ORDR功能,则打印消息并自动执行ORDR功能,然后分解导纳矩阵,打印FACT功能的标准总结,ALTR功能终止。
利用本文提出的多重因素下的10状态Markov模型,根据某电力公司提供的运行数据进行系统仿真,仿真运行结果如图5所示,进而计算出风险的实际值。设定运行时间为0.020 0 s,根据电力系统运行情况的实时反馈,对出现的故障类型进行快速判断及处理,并将出现故障的原因进行记录,以便实现对风险的预判与评估。如图5所示,当总线出现短路及振荡现象时,立即对该回路进行切除,同时进行功率补偿,在极短的时间内使系统恢复到稳定状态继续运行。同时还可根据不同的需求对存储的故障信息进行定期检索刷新,并可以选择输出通道,实现了继电保护全过程动态风险评估。

图5 仿真运行结果
通过理论分析与仿真研究,结合三参数Weibull分布和10状态Markov模型,计算电网继电保护失效率,推导出了隐性误动风险、显性误动风险、隐性拒动风险和显性拒动风险的计算方法;建立了继电保护装置的失效率模型和风险评估体系,运用PSS/E软件的ALTR功能模块进行故障仿真,对继电保护装置的风险进行预判与评估。实验结果表明,该风险评估体系可优化和完善继电保护管理规范与工艺流程,对全面提升电网继电保护运行管理水平和抗风险水平有很大的实际应用价值。
参考文献:
[1] 张建国,徐航,马荔,等.面向电缆故障检测的布尔混沌时域反射法[J].工矿自动化,2016,42(1):35-39.
[2] 罗书克.矿用单向谐波治理系统设计[J].工矿自动化,2016,42(1):63-66.
[3] 杨磊.微机继电保护系统可靠性评估研究[J].科技研究,2014(10):204.
[4] 徐岩,白静,戴志辉.一种基于威布尔分布的继电保护装置可靠性分析的新方法[J].华北电力大学学报,2012,39(4):15-19.
[5] 马春艳,龚瑛.煤矿谐振接地故障模糊综合选线方法[J].工矿自动化,2015,41(11):81-84.
[6] 白静.继电保护可靠性的基础数据分析[D].北京:华北电力大学,2012.
[7] 薛安成,王睿探,刘蔚,等.继电保护装置恒定失效率估算方法[J].电力系统自动化,2012,36(4):6-10.
[8] BERESH R,CIUFO J, ANDERS G. Basic fault tree analysis for use in protection reliability [J]. International Journal of Reliability and Safety, 2014,2(1):64-78.
[9] ETEMADI A H,FOTUI-FIRUZABAD M. New considerations in modern protection system quantitative reliability assessment[J]. IEEE Transactions on Power Delivery,2010,25(4):2213-2222.
[10] JINHEE P, KIM H J, SHIN J H, et al. An embedded software reliability model with consideration of hardware related software failures [C]//IEEE Seventh International Conference on Software Security and Reliability,Washington,2013: 207-214.
文章编号:1671-251X(2016)08-0056-06
DOI:10.13272/j.issn.1671-251x.2016.08.014
收稿日期:2016-03-10;修回日期:2016-04-19;责任编辑:张强。
基金项目:国家自然科学基金资助项目(51174258)。
作者简介:周培强(1980-)男,安徽阜阳人,工程师,现主要从事电力系统自动化方面的研究工作,E-mail:33-jj@163.com。
中图分类号:TD611
文献标志码:A 网络出版时间:2016-08-03 10:06
ZHOU Peiqiang1, ZHOU Mengran2, XIEYing1, WANG Pingping1, CAO Zhenguan2 , LUO Qian2
(1.Huainan Power Supply Company, State Grid Anhui Electric Power Company, Huainan 232001, China;2.School of Electrical and Information Engineering, Anhui University of Science and Technology, Huainan 232001, China)
Abstract:In view of problems that traditional risk assessment and reliability analysis methods of power grid focused on relay protection reliability indicators and did not involve change of reliability and actual risk in operation of relay protection device, the paper put forward a method that used three-parameter Weibull distribution to estimate time-varying failure rate, and established Markov model with 10 state based on multiple factors. It obtained time-varying failure rate function model through analyzing and processing data of power grid operation and management by Matlab simulation software; in combination with software and hardware and management factors, it also built process hidden risk assessment system of relay protection device based on Markov model by PSS/E software. The experimental results show that the system can early find and rectify hidden danger in power grid, which improves management level of the power grid, and realizes safe and stable operation of the power grid.
Key words:relay protection; risk assessment; three-parameter Weibull distribution; time-varying failure rate; Markov model
周培强,周孟然,谢颖,等.基于三参数Weibull分布的继电保护风险评估可靠性研究[J].工矿自动化,2016,42(8):56-61.