实验研究
李宗伟1,2,3, 李起伟1,2,3, 温良1,2,3, 孟庆勇1,2,3
(1.煤炭科学技术研究院有限公司, 北京 100013; 2.煤炭资源高效开采与洁净利用国家重点实验室, 北京 100013; 3.北京市煤矿安全工程技术研究中心, 北京 100013)
摘要:针对现有井下人员定位技术定位精度较低的问题,通过分析电磁波、超声波测距原理及在井下巷道的应用特点,提出了一种井下电磁波超声联合定位方法。该方法根据对数-常态分布模型,通过近似运算得到移动节点到2个锚节点的距离之比,以电磁波测距方法得到移动节点的纵向坐标,以超声波测距方法得到移动节点的横向坐标。Matlab仿真结果验证了该方法的可行性及精确度。
关键词:井下人员定位; 电磁波测距; 超声波测距; 电磁波超声联合定位
网络出版地址:http://www.cnki.net/kcms/detail/32.1627.TP.20160705.1458.008.html
目前,国内矿井大多采用基于无线电磁波通信的井下人员管理系统,实际定位误差均在5 m以上,且只能给出定位目标在巷道纵向上的信息,不能满足安全生产及应急救援的要求[1]。国内外很多文献针对使用无线信号实现煤矿井下移动目标位置监测进行了研究[2-6]。参考文献[7]利用无线电磁波信号强度实现了煤矿安全监测系统无线传感器网络节点间的自定位,并提出了提高定位精度的节点定位方法。参考文献[8]提出了井下超声定位系统,并用Matlab进行了仿真,证明其可对井下人员进行精确定位。以上研究均基于某一种无线介质,定位精度较低。本文提出一种井下电磁波超声联合定位方法,充分利用了电磁波测距距离远、实时性高和超声波测距误差低的优势,提高了井下定位精度。
1.1 电磁波测距
电磁波传播速度极快,接近光速,传播时延极低,因此电磁波测距方法实时性高。
电磁波测距方法主要有基于接收信号强度指示(Received Signal Strength Indication,RSSI)、基于到达时间(Time of Arrival,TOA)、基于到达时间差(Time Difference of Arrival,TDOA)等[9]。TOA和TDOA方法对硬件的要求高,远距离测距效果好,近距离测距效果较差。RSSI方法最早应用于煤矿井下,相关研究较多,且硬件成本较低,所以井下应用时优先选择RSSI方法。但RSSI方法中无线信号传输损耗模型受环境影响较大,因此单纯使用RSSI方法难以实现高精度的实时定位。
常用的无线信号传输损耗模型有自由空间传播模型,对数距离路径衰减模型、对数-常态分布模型等[10]。对数-常态分布模型较适用于煤矿巷道,其表达式为
(1)
式中:PL(d)为电磁波传播距离d后的路径损耗,dB·m;d0为锚节点和参考节点之间的距离,一般取1 m;δ为路径衰减因子,其值取决于无线信号的传播环境,是一个经验值; Xσ为标准差为σ的零均值正态分布随机变量,dB·m。
PL(d0)可根据自由空间模型求取。自由空间传播模型为
(2)
式中:LOSS为电磁波传播损耗,dB·m;f为载波工作频率,MHz。
设锚节点的发射功率为PT,移动节点接收到锚节点发射的电磁波信号强度为PR,则PL(d)=PT-PR。根据式(1)可获得锚节点与移动节点之间的距离为
(3)
1.2 超声波测距
超声波测距具有以下特点:
(1) 超声波信号波速相对较小,且在空气中衰减较大,适合较短距离的测距,测距精度较高,达cm级[11]。
(2) 超声波纵向分辨率较高,对光照度和电磁场不敏感,短距离内可适应井下恶劣环境。
(3) 超声波传感器结构简单,体积小,成本低,信息处理简单可靠,易于小型化与集成化[12]。
(4) 超声波测距只需设置发射装置,无需接收装置,即通过检测反射回波到达的时间即可实现精确测距。
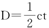
超声波测距采用渡越时间(Time of Flight,TOF)法。其基本原理:超声传感器向外发射超声波,超声波遇到被测物体后形成反射回波;超声传感器接收反射回波,根据发射时间与接收时间的差值来计算被测物体的距离。测距公式:
(4)
式中:D为被测距离,m;c为超声波传播速度,m/s;t为渡越时间,s[13]。
由于温度变化会对超声波传播速度产生一定影响,为了得到较高的测量精度,可增加1个温度传感器采集实时温度,从而进行实时补偿。温度补偿公式:
c=c0+0.607T
(5)
式中:c0为0 ℃时的超声波传播速度,m/s;T为温度,℃[14]。
根据式(4)、式(5)可得到温度补偿的TOF测距公式:
(6)
2.1 锚节点部署
图1为井下巷道内锚节点与移动节点分布。锚节点悬挂于巷道顶板,呈一字排开的链式部署,每个锚节点到两侧巷道壁的距离相等,相邻2个锚节点之间的距离不大于锚节点间无线通信距离,且不大于移动节点电磁波信号的覆盖半径,保证相邻2个锚节点间能够通信,以及移动节点在巷道内任意位置,至少有2个锚节点能够接收到其发射的电磁波信号。

图1 井下巷道内锚节点与移动节点分布
2.2 联合定位方法
电磁波超声联合定位方法如图2所示。移动节点可同时发射超声波和电磁波2种无线信号。移动节点周期性地向一侧巷道壁发射超声波信号并接收反射回波,测得移动节点在巷道内的横向坐标(x方向)。

图2 电磁波超声联合定位方法
记录发射超声波信号的时刻为tT,接收巷道壁反射回波的时刻为tR,则超声波渡越时间t=tR-tT。移动节点发射超射波信号时温度传感器检测到的温度为T,则根据式(6)可得移动节点在巷道内的横坐标为
(7)
移动节点在发射超声波信号的同时,向附近锚节点发射电磁波定位请求信号。接收到该定位请求信号的锚节点向移动节点发射电磁波定位响应信号。移动节点测得各电磁波定位响应信号的接收强度,选择强度最大的2个信号,抛弃其他信号,从而找到距其最近的2个相邻的锚节点,如图2中的锚节点1和锚节点2。
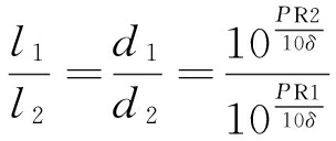
设移动节点接收到锚节点1、锚节点2发射的电磁波信号强度分别为PR1和PR2,移动节点到锚节点1、锚节点2的距离分别为d1和d2。通过仿真计算得Xσ对于计算结果的影响不大[15],因此采用简化模型逼近对数-常态模型[16],即省略Xσ。根据式(3)可得
(8)
(9)
由式(8)、式(9)可得
![]()
![]()
(10)
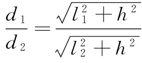
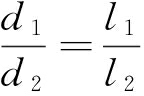
作移动节点到锚节点1与锚节点2连线的垂线,设垂线段长度为h,锚节点1、锚节点2到垂足的距离分别为l1,l2,则有
(11)
(12)
(13)
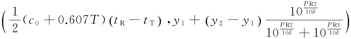
在煤矿井下,两巷道壁之间的距离很小,一般为3~5 m,则h为1.5~2.5 m。巷道延伸距离为数百米甚至更长,根据井下允许的电磁波发射功率,测距范围可达50 m以上,即2个锚节点之间的距离可达50 m以上。考虑到井下巷道目标定位精度要求为m级,设h与l1,l2相比可忽略,即
(14)
由式(10)和式(14)可得
(15)
则
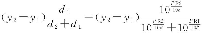
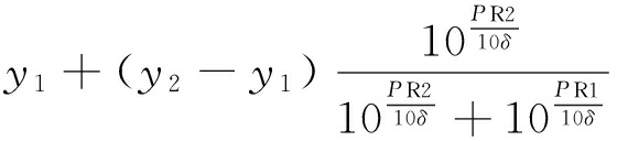
(16)
规定巷道内以纵坐标(y轴方向)增大的方向为正方向,设图2中以向右为正方向,则锚节点2在锚节点1的正方向。设锚节点1的纵坐标为y1,锚节点2的纵坐标为y2,则锚节点1与锚节点2之间的距离为y2-y1,有
l1=![]()
(17)
则移动节点的纵坐标为
。移动节点的坐标为
。
在Matlab7.0仿真平台对电磁波超声联合定位方法进行实验验证。
由于超声波测距的精度很高,且超声波测距受巷道电磁环境、光照度等影响较小,巷道横向测距误差很小,可以忽略,所以认为巷道内节点的横向测距是准确的。设井下采用2.4 GHz电磁波进行测距,路径衰减因子δ=1.6,Xσ的标准差σ=4。巷道宽度为5 m,在坐标(2.5,0)和坐标(2.5,100)处分别设置锚节点1和锚节点2。设移动节点的信号覆盖半径为100 m,随机选取5个横向坐标值,纵向每隔5 m取一个坐标值,选取的横、纵坐标值共组成200个移动节点位置。图3为δ在变化0.5时移动节点定位结果。图3忽略了横向定位误差,可看出电磁波超声联合定位效果较理想。

图3 移动节点定位结果
图4为定位误差的纵向分布。可看出定位误差小于5 m,满足井下移动目标定位精度要求;纵向误差分布是规律变化的,在距离2个锚节点20 m处,即纵坐标分别为20和80的位置,定位误差最大,在中间位置时定位误差最小,该规律可为优化校正研究提供参考。

图4 定位误差纵向分布
需要指出的是,图2中的移动节点靠近巷道壁,同时纵向接近锚节点1或锚节点2时,式(14)误差较大。考虑到2个锚节点间距为100 m,而h不超过3 m,该误差可接受。仿真结果表明,在所述位置的情况出现了明显的规律性特征,可根据该特征进行误差补偿。限于篇幅,本文不再赘述误差补偿算法,作为下一步的研究内容。
井下电磁波超声联合定位方法充分利用了电磁波、超声波定位的优势,算法简单,精度高,成本低。该方法为全新的井下精细定位方案,本文仅从可行性及实验角度对该方法进行了研究,下一步将完善设计方案,特别是对电磁波测距进行优化,对井下声场及超声波收发探头进行深入研究。
参考文献:
[1] 田子建,李宗伟,刘晓阳,等.基于电磁波及超声波联合测距的井下定位方法[J].北京理工大学学报,2014,34(5):490-494.
[2] 谢晓佳,程丽君,王勇.基于Zigbee网络平台的井下人员跟踪定位系统[J].煤炭学报,2007,32(8):884-888.
[3] 刘志高,李春文,邢智鹏,等.巷道网络全局定位系统关键技术分析与实验[J].煤炭学报,2011,36(3):519-526.
[4] CHEHRI A,FORTIER P,TARDIF P M.UWB-based sensor networks for localization in mining environments[J].Ad Hoc Networks,2009,7(5):987-1000.
[5] CHEN P,ZHAO C.Area wireless sensor networks for personnel location under coalmine[C]//Proceeding of the 2nd IEEE Conference on Industrial Electronics and Applications,Harbin,2007:2882-2885.
[6] ZHANG Q, WANG B, CHENG G, et al. Object position tracking based on e-map and RFID in coal mine[C]// Proceedings of the 4th IEEE Conference on Industrial Electronics and Applications,Xi'an,2009:880-885.
[7] 杨维,周嗣勇,乔华.煤矿安全监测无线传感器网络节点定位技术[J].煤炭学报,2007,32(6):652-656.
[8] 孙继平,樊京.井下主动超声定位系统[J].煤炭学报,2009,34(7):993-996.
[9] 王福豹,史龙,任丰原.无线传感器网络中的自身定位系统和算法[J].软件学报,2005,16(5):857-868.
[10] 郜丽鹏,朱梅冬,杨丹.基于ZigBee的加权质心定位算法的仿真与实现[J].传感技术学报,2010,23(1):149-152.
[11] 寇海洲.基于超声波的定位系统研究与实现[J].数据通信,2008(3):49-52.
[12] 罗忠辉,黄世庆.提高超声测距精度的方法[J].机械设计与制造,2005(1):109.
[13] 张海鹰,高艳丽.超声波测距技术研究[J].仪表技术,2011(9):58-60.
[14] 施涌潮,梁福平,朱春晖.传感器检测技术[M].北京:国防工业出版社,2007:256.
[15] 乔钢柱,曾建潮.信标节点链式部署的井下无线传感器网络定位算法[J].煤炭学报,2010,35(7):1229-1232.
[16] 刘晓文,王振华,王淑涵,等.基于RSSI算法的矿井无线定位技术研究[J].煤矿机械,2009,30(3):59-60.
LI Zongwei1,2,3, LI Qiwei1,2,3, WEN Liang1,2,3, MENG Qingyong1,2,3
(1.China Coal Research Institute, Beijing 100013, China; 2.State Key Laboratory of Coal Resource Efficient Mining and Clean Utilization, Beijing 100013, China; 3.Beijing Mine Safety Engineering Technology Research Center, Beijing 100013, China)
Abstract:For low localization precision of existing underground personnel localization technologies, an underground joint localization method based on electromagnetic wave and ultrasonic was proposed by analyzing ranging principle of electromagnetic wave and ultrasonic wave as well as application characteristics in underground tunnels. In the method, a ratio of distance between a mobile node and two anchor nodes is obtained by approximate calculation according to logarithmic normal distribution model. Vertical coordinate of the mobile node is obtained by electromagnetic wave ranging method, and horizontal coordinate is gotten by ultrasonic wave ranging method. The Matlab simulation result verifies feasibility and localization precision of the method.
Key words:underground personnel localization; electromagnetic wave ranging; ultrasonic wave ranging; joint localization based on electromagnetic wave and ultrasonic
文章编号:1671-251X(2016)07-0030-04
DOI:10.13272/j.issn.1671-251x.2016.07.008
收稿日期:2016-03-10;修回日期:2016-06-01;责任编辑:李明。
基金项目:“十二五”国家科技支撑计划资助项目(2013BAK06B05)。
作者简介:李宗伟(1987-),男,河北唐山人,硕士,主要从事煤矿井下人员定位技术的研发工作,E-mail:lizongwei@ccrise.cn。
中图分类号:TD67
文献标志码:A 网络出版时间:2016-07-05 14:58
李宗伟,李起伟,温良,等.井下电磁波超声联合定位方法[J].工矿自动化,2016,42(7):30-33.