经验交流
周雪, 武方达, 杨柳铭
(中国矿业大学(北京) 机电与信息工程学院, 北京 100083)
摘要:针对煤矿井下环境照度低、粉尘多、电磁环境复杂,监控设备获取的图像在传输过程中会受到噪声污染,严重降低了监控图像质量等问题,设计了一种基于嵌入式系统的井下监控图像清晰化装置。该装置利用小波阈值算法,基于DSP嵌入式系统,在有效抑制噪声的同时保留了原始图像的细节特征、尖峰点,大大增强了监控图像的清晰度。
关键词:煤矿监控图像; 图像去噪; 清晰化装置; 小波阈值算法; DSP嵌入式系统
网络出版地址:http://www.cnki.net/kcms/detail/32.1627.TP.20160601.1033.017.html
近年来,以煤矿工业电视系统和综合业务数字网为代表的煤矿安全监测系统在煤矿得到了广泛的应用,利用该系统工作人员可以在地面实时掌握井下设备的运行情况,大大提高了安全监控水平。但由于煤矿井下环境具有照度低、粉尘多、电磁环境复杂等特点,监控设备获取的图像在传输过程中会受到噪声等污染,严重降低了图像质量[1-2]。为提高监控图像的清晰度,大多采用对图像进行去噪的处理方法。传统的监控图像去噪方法有均值滤波、中值滤波、同态滤波等,这些方法在实际应用中都取得了一定的效果,但也存在不足之处:对多种噪声共同干扰的图像去噪效果不理想;去噪的同时使图像的细节和边缘信息出现模糊的负面效应,导致图像清晰度降低,质量下降。而小波变换去噪方法可以聚焦到信号的任意细节并进行多分辨率的时频域分析,解决了传统滤波器单一尺度去噪所带来的问题,使得噪声得到抑制,且原始特征、尖峰点得到很好的保留。为此,本文采用小波阈值图像去噪算法,设计了基于嵌入式系统的井下监控图像清晰化装置。
监控图像信号与噪声经过不同尺度的分解后反映出不同的激励和特点,小波去噪的原理主要基于这一基础[2]。本文使用的小波阈值图像去噪算法基本步骤如下:
第1步:选择适当的小波基和分解尺度对原始图像进行小波分解。
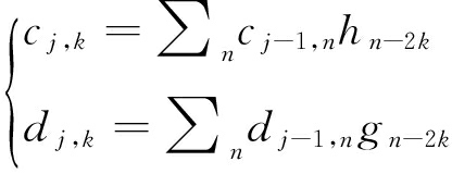
设fk为信号f(t)的离散采样数据,fk=c0,k,则信号f(t)的正交小波变换分解公式为

(1)
式中:cj,k为尺度系数,j为分解层数,k=0,1,…,N-1,N为离散采样点数;dj,k为小波系数;n=2j;h,g为一对正交镜像滤波器组。
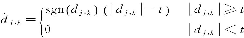
第2步:小波系数阈值量化。通过调用函数来判断是哪种阈值(硬阈值还是软阈值),接着采用硬阈值方法或软阈值方法对小波系数进行处理,从而得到适用于本图像的对应小波系数。
(1) 硬阈值是令所有小波系数绝对值小于阈值的信号点的值为零,大于阈值的点保持不变。
(2)
(2) 软阈值是令所有小波系数绝对值小于阈值的信号点的值为零,大于阈值的点变为该点值与阈值的差。
(3)
式中
j,k为估计小波系数;t为预设阈值或门限值;
为符号函数,即
(4)
第3步:使用经过阈值处理后的小波系数进行小波重构,就是将小波系数进行逆变换得到重构图像,相应的小波重构公式为
(5)
基于嵌入式系统的井下监控图像清晰化装置总体结构如图1所示。

图1 基于嵌入式系统的井下监控图像
清晰化装置总体结构
(1) DSP:处理器采用DSP芯片TMS320DM642。TMS320DM642的主要特点:3个可配置监控图像口(VP0,VP1,VP2)最多可以支持3路监控图像数据采集,具有网口、PCI接口、HPI接口、I2C接口、串行接口等多种接口。
(2) FLASH存储器:采用容量为4 MB的AM29LV033C-90E FLASH芯片存储DSP/BIOS嵌入式操作系统、硬件驱动程序,以及与图像清晰化相关的应用程序。
(3) SDRAM存储器:是操作系统与正在运行的应用程序的数据存储介质。SDRAM存储器采用MT48LC4M32B2-7芯片,其架构为1 024×32×4,每个bank的行地址数目为12,列地址数目为8。由于TMS320DM642的数据线为64线位宽,所以,在硬件设计时选用2个SDRAM存储器。
(4) 通信接口:扩展CAN通信模块,用于图像清晰化装置与主机的数据通信,并配置RS232、RS485或RS422接口与PC机连接,用于调试。
(5) 视频解码器、视频编码器:视频解码器采用TVP5150APBS,将视频信号采集装置采集的模拟视频信号转换为数字信号,并通过同步串行总线输入到TMS320DM642中;视频编码器采用SAA7121H,把图像清晰化装置输出的监控图像数据转换为PAL/NTSC制式的模拟视频信号。
基于嵌入式系统的井下监控图像清晰化装置软件设计采用CCS(Code Composer Studio)作为集成开发环境。CCS是针对TMS320系列DSP产品设计的集成化开发环境[3]。
本装置使用DSP/BIOS嵌入式操作系统,它为用户程序提供高效的资源管理功能。在操作系统的基础上,装置的应用程序采用了Reference Framework 5(RF5)的软件框架。RF5建立在DSP/BIOS和TMS320 DSP Algorithm Standard(XDAIS)之上,可提高程序的可靠性和可扩展性。装置的程序流程如图2所示。

图2 装置程序流程
本装置采用模块化的理念来完成软件设计[4]。整个装置的软件由初始化、监控图像采集、监控图像处理以及监控图像显示4个模块组成。
监控图像采集模块用于捕获外部视频模拟信号,并通过视频编码器将视频模拟信号转换成数字信号传送给TMS320DM642的VP0进行处理。
监控图像处理模块是运用小波阈值去噪算法将监控图像采集模块发送来的视频信号进行去噪处理。
监控图像显示模块用于显示经TMS320DM642处理后的视频图像。通过TMS320DM642的VP1口将视频信号送给视频解码器,视频解码器将数字信号转换成模拟信号再由终端显示器显示出来。
监控图像采集、监控图像处理和监控图像显示为RF5框架中的任务,3个模块之间的通信如图3所示。

图3 3个模块之间的通信
针对煤矿井下图像的特点,基于小波阈值图像去噪方法,设计了一种基于嵌入式系统的井下监控图像清晰化装置。该装置去噪效果较好,在有效抑制噪声的同时保留了原始图像的细节特征、尖峰点,大大增强了监控图像的清晰度。
参考文献:
[1] 彭波,王一鸣.低照度图像去噪算法的研究与实现[J].计算机应用,2007,27(6):1455-1457.
[2] 冉启文.小波变换与分数傅里叶变换理论及应用[M].哈尔滨:哈尔滨工业大学出版社,2001.
[3] 彭启琼,管庆.DSP集成开发环境CCS及DSP/BIOS的原理与应用[M].北京:电子工业出版社,2004.
[4] 雷亚平,沈春林,杨忠.嵌入式系统的组成、设计与调试[J].航空计算术,2003,33(3):116-119.
ZHOU Xue, WU Fangda, YANG Liuming
(School of Mechanical Electronic and Information Engineering, China University of Mining and Technology (Beijing), Beijing 100083, China)
Abstract:In view of problems of low illumination, a lot of dust and complex electromagnetic environment in coal mine underground, and images' quality captured by underground monitoring equipment would be reduced in transferring process caused by underground noises, an underground monitoring image sharpening device based on embedded system was designed. The device uses wavelet threshold algorithm and DSP embedded system, and it can effectively restrain noise, meanwhile keep details characteristics and peak point of original images, which greatly enhances monitoring image clarity.
Key words:coal mine monitoring image; image de-noising; sharpening device; wavelet threshold algorithm; DSP embedded system
文章编号:1671-251X(2016)06-0074-04
DOI:10.13272/j.issn.1671-251x.2016.06.018
收稿日期:2015-12-21;
修回日期:2016-01-27;责任编辑:张强。
作者简介:周雪(1992-),女,吉林松原人,硕士研究生,主要研究方向为检测技术与自动化装置,E-mail:13522050111@163.com。
中图分类号:TD76
文献标志码:A 网络出版时间:2016-06-01 10:33
周雪,武方达,杨柳铭.基于嵌入式系统的井下监控图像清晰化装置[J].工矿自动化,2016,42(6):74-77.