王玲1, 吴涛1, 李志忠2
(1.国网陕西省电力公司 培训中心, 陕西 西安 710054;2.国家电网公司 电网接地工程技术实验室, 陕西 西安 710054)
摘要:为了提升煤矿井下UPS供电系统的可靠性,提出了井下UPS并联供电系统无差拍环流抑制方法。首先,建立了UPS并联供电系统拓扑结构的等效离散数学模型,并重点分析了UPS并联供电系统中存在的零序环流问题;然后,引入非线性无差拍控制器对零序电流进行平抑处理;最后,通过2×35 kW UPS并联供电系统实验样机对该方法进行验证与分析。实验结果表明,该方法可有效抑制井下UPS并联供电系统的零序环流,且仅需2~5 ms即可实现UPS并联供电系统的冗余性恢复。
关键词:矿井UPS并联供电; 不间断电源; 环流抑制; 无差拍控制
网络出版地址:http://www.cnki.net/kcms/detail/32.1627.TP.20160601.1032.016.html
煤矿井下UPS供电系统是煤矿发生安全事故后确保相关安全监控和生命保障装置运行的重要设备,是遇险的井下工作人员的重要生存依仗。UPS供电系统的自身可靠性、可恢复性对整个备用供电系统尤为重要[1-4]。目前,UPS供电系统多采取N组逆变单元并联式结构,具有冗余性、可扩展性、高可靠性及易维护等优点[5-6]。然而,各UPS逆变单元因其工作状态不同步或系统单元参数不同,UPS并联供电系统在低频段存在极低阻抗的环流通路,将造成系统出现不均流现象,甚至造成UPS逆变单元中功率器件过流损坏[7-10]。
针对煤矿井下恶劣环境对UPS并联供电系统可靠性、自恢复性提出的特殊要求,本文提出了一种井下UPS并联供电系统无差拍环流抑制方法。首先,建立UPS并联供电系统拓扑结构的等效离散数学模型,并对UPS并联供电系统中存在的高频、零序环流问题进行重点分析;为满足井下UPS并联供电系统单元故障下的快速自恢复特性,引入非线性无差拍控制器对零序电流进行前馈补偿;最后,基于2×35 kW UPS并联供电系统实验样机对该方法进行验证与分析。实验结果表明,该方法可充分发挥井下UPS并联供电系统的冗余特性,仅需2~5 ms即可实现井下UPS并联供电系统的在线自恢复。
煤矿井下UPS并联供电系统多采用“一用一备”的双机组并联式结构,双模块UPS并联供电系统结构如图1所示。

图1 双模块UPS并联供电系统结构
双模块UPS并联供电系统采用共直流母线供电方式,将每个逆变模块等效为一个电压源和内阻抗串联电路,假设各个并联模块的输出阻抗相同,则可建立UPS并联供电系统平均输出电压方程:
(1)
式中:uavg为并联逆变模块的平均输出电压;uabc1,u abc2为并联逆变模块的输出端口电压。
同时,可定义UPS并联供电系统等效环流表达式为
(2)
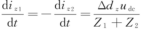
式中:iz为UPS逆变模块对应的零序环流;Z1、Z2为并联逆变模块内阻抗。
为了简化三相UPS并联供电系统模型,将模型的坐标系由三相静止坐标系变换到两相同步旋转坐标系。由于UPS并联供电系统存在零序电压分量,同时零序电路的低阻抗特性将使UPS并联供电系统中出现零序环流,为此,在常规的二维坐标中须引入附加的z轴分量,即
(3)
式中:X为系统状态变量;T为坐标变换矩阵。
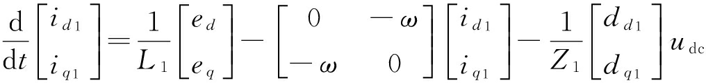
根据式(1)—式(3),可重写共直流母线UPS并联供电系统在同步旋转dqz坐标系下的数学模型:
(4)
(5)
(6)
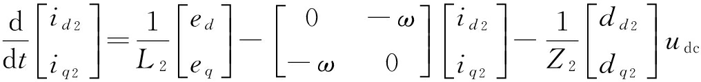
式中:idqz1,idqz2分别为UPS模块1、模块2的dqz坐标分量;ω为UPS模块输出电压角频率;edq为负载反电动势dq轴分量;Δdz为UPS模块的零轴电压占空比;udc为直流母线电压;ddq1,ddq2分别为UPS模块1、模块2的dp轴占空比;L1,L2分别为UPS模块1、模块2的输出电感。
图2给出了UPS并联供电系统电流dqz轴分解示意,UPS模块内电流在dqz坐标系下已出现严重畸变,呈不规则曲线,但电流在dq坐标系下仍为标准电流圆,电流幅值|idq|为额定负载1 pu。反观此时dz坐标系下的电流分量,其z轴电流分量幅值也同样达到1 pu,即UPS单模块电流幅值达到1.414 pu,将造成UPS保护单元误动作,甚至会造成主电路功率单元过流、过热损坏。

图2 UPS并联供电系统电流dqz轴分解示意
根据前文分析可知,对于煤矿井下双模块UPS并联供电系统,当其出现不一致的低频零序电压误差时,由于此时环流路径为低阻抗回路,即使零序电压很小,也会在UPS并联供电系统双模块之间产生极大的环流。为此,引入非线性无差拍控制器对零序电流iz分量进行平抑处理。
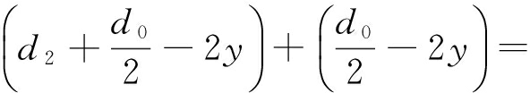
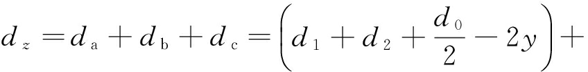
根据式(6)可知,产生UPS并联供电系统零序环流的关键在于其不一致的零序分量。为此,需从SVPWM(Space Vector Pulse Width Modulation,空间矢量脉宽调制)七段式导通机理出发进行分析,如图3所示。对于采用SVPWM方式的控制系统,其3个上桥臂导通的时间分别为daTs、dbTs、dcTs(Ts为系统控制周期),为了保证UPS并联供电系统可靠运行,需要保持空间合成矢量占空比不变,因而d1、d2不能发生改变。但通过调节零矢量(000)和(111)的作用时间d0,能够改变UPS并联供电系统的零序分量,即
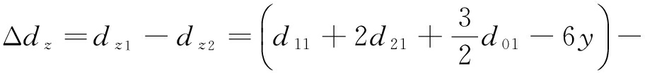
(7)
式中:dz为零序电压占空比;da,db,dc为abc三相电压占空比;d1,d2,d0分别为SVPWM主、次、零矢量占空比;y为七段式调制零矢量修正量。

图3 SVPWM调制方式下的七段式导通时间
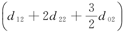
因此,可求得UPS并联供电系统零序电压误差值为
(8)
式中:dz1,dz2分别为UPS模块1和模块2的零序电压占空比;d11,d21分别为UPS模块1和模块2的主电压占空比;d12,d22分别为UPS模块1和模块2的次电压占空比;d01,d02分别为UPS模块1和模块2的零序电压占空比。
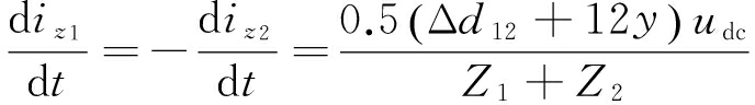
在此基础上,可直接建立同步旋转dqz坐标系下的零序电流iz的微分方程:
(9)
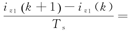
考虑到实际UPS并联供电系统逆变单元的开关特性,根据等效前项差分原理对式(9)进行离散化建模,得
(10)
式中iz1(k)、iz1(k+1)分别为第k、第k+1时刻的UPS并联供电系统零序电流分量。
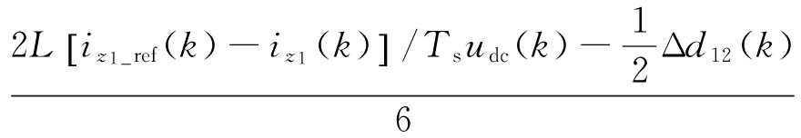
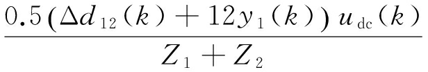
至此,可求得k时刻精确抑制UPS并联供电系统零序环流的零电压矢量修正量为
y(k)=
(11)
式中iz1_ref(k)为零序电流分量期望值。
基于无差拍控制的井下UPS并联供电系统整体控制结构如图4所示,系统包括UPS控制电路、UPS逆变电路和负载电路3个部分。UPS并联供电系统采用共用电压外环,并以CAN总线形式向各UPS模块分配有功、无功电流的期望值
。各UPS模块具备独立的电流内环,即PWM调制模块,此外,本文引入的无差拍控制器可有效抑制UPS并联供电系统的零序环流,保证各UPS模块有效均流。
为了验证所提无差拍控制环流抑制方法的可行性和有效性,搭建了2×35 kW UPS并联供电系统实验样机。
井下UPS并联供电系统稳态性能测试结果如图5所示。图5(a)中,uinv为UPS模块输出电压,uout为LC正弦滤波器后端输出电压。由图5(a)可知,LC滤波单元有效消除了UPS逆变单元中的高频谐波分量,UPS模块输出电压满足幅值稳定、正弦度高的电能指标。图5(b)中,ia为UPS模块A相输出电流,iz为双UPS模块之间的零序环流。UPS模块工作在满载状态,电流幅值达到54 A,零序环流iz的最大幅值仅为5 A,占UPS模块额定值的9.26%,双UPS机组均流特性良好。图5(c)为UPS模块输出电压uout频谱分析结果,其中电压总畸变率为4.2%,且3、5、7次低频谐波分量低,满足IEEE-754对UPS电源提出的指标要求。

图4 基于无差拍控制的井下UPS并联供电系统整体控制结构

(a) UPS模块输出电压

(b) UPS模块A相输出电流及UPS模块之间的零序环流

(c) UPS模块输出电压频谱分析结果
图5 井下UPS并联供电系统稳态性能测试结果
井下UPS并联供电系统动态投切测试结果如图6所示。图6(a)中,在25 ms时,UPS并联供电系统由1号、2号双机协同供电切换至1号单机供电方式,此时,1号单机单独向负载通风机供电,起到冗余备用保护功能,承担负载通风机全部电流,三相电流幅值|iabc|也在该时刻阶跃为2倍。图6(b)给出了动态切换过程中UPS模块内部A相输出电流ia和UPS模块之间零序环流iz的解耦过程,可以看出满载切换过程耗时仅为3 ms,且零序环流iz并未出现瞬时突增、突减问题,可见无差拍控制的井下UPS并联供电系统动态性能优异;图6(c)为不同负载、不同功率因数特性下UPS并联供电系统自恢复时间统计结果,当功率因数cos φ=0.2时,出现响应时间峰值,即便如此,该值也仅为5 ms,满足矿山设备动态备用供电响应时间要求。

(a) 单、双机动态切换过程

(b) UPS模块A相输出电流及UPS模块之间
零序环流的动态解耦过程

(c) UPS并联供电系统自恢复时间统计结果
图6 井下UPS并联供电系统动态投切测试结果
为了满足煤矿井下恶劣环境对UPS供电系统可靠性、自恢复性的特殊要求,提出了一种井下UPS并联供电系统无差拍环流抑制方法,并基于2×35 kW UPS并联供电系统实验样机对该方法进行了验证与分析。实验结果表明,该方法具备优异的零序环流抑制效果,且仅需2~5 ms即可实现井下UPS并联供电系统的在线自恢复。
参考文献:
[1] 孙继平.煤矿监控新技术与新装备[J].工矿自动化,2015,41(1):1-5.
[2] 崔昊辰,李岳,沙成,等.矿用UPS中智能充电系统设计[J].煤炭工程,2014,46(2):19-21.
[3] 李博.煤矿井下备用电源网络化电池管理系统研究[J].自动化与仪器仪表,2012(6):42-43.
[4] CAO L L, ZHAO G L, YU F F, et al. Research of mine flameproof UPS based on SCM[J]. Coal Mine Machinery, 2014,35(6):231-233.
[5] YI W M, GAO F, SUN Q R, et al. Study on envelope analysis of workspace based on 6-UPS parallel mechanism[J]. Applied Mechanics & Materials, 2015, 703:312-317.
[6] 林新春,段善旭,康勇,等.基于下垂特性控制的无互联线并联UPS建模与稳定性分析[J].中国电机工程学报,2004,24(2):33-38.
[7] 李飞胤,祝龙记.基于DSP控制的矿用UPS电源设计[J].煤矿机械,2013,34(5):187-189.
[8] LAZZARIN T B,BARBI I.DSP-Based control for parallelism of three-phase voltage source inverter[J]. IEEE Transactions on Industrial Informatics,2013,9(2):749-759.
[9] 何国锋,徐德鸿.基于解耦控制的多模块逆变器并联系统直流环流抑制策略[J].中国电机工程学报,2012,32(18):43-51.
[10] 何国锋.多逆变器并联系统若干关键问题研究[D].杭州:浙江大学,2014.
WANG Ling1, WU Tao1, LI Zhizhong2
(1.Training Center, State Grid Shannxi Elecctric Power Company, Xi'an 710054, China;2.Power Grounding Engineering Laboratory, State Grid Corporation, Xi'an 710054, China)
Abstract:In order to improve reliability of underground UPS power supply system, a dead-beat circulating current suppression method of underground UPS paralleling power supply system was put forward. Firstly, an equivalent discrete mathematical model of UPS paralleling power supply system topology was established, and zero sequence circulating current in paralleling power supply system was emphatically analyzed. Then, nonlinear dead-beat controller was introduced to control and process zero sequence current. Finally, verification and analysis of the method were done by prototype of 2×35 kW UPS paralleling power supply system. The experimental results show that the method can effectively inhibit zero sequence current of underground UPS paralleling power supply system, and realize redundancy restoration of UPS paralleling power system in 2-5 ms.
Key words:mine UPS paralleling power supply; UPS; circulating current suppression; dead-beat control
文章编号:1671-251X(2016)06-0070-05
DOI:10.13272/j.issn.1671-251x.2016.06.017
收稿日期:2016-01-12;
修回日期:2016-04-22;责任编辑:张强。
基金项目:国家自然科学基金面上项目(E070303)。
作者简介:王玲(1983-),女,山西大同人,讲师,硕士,主要研究方向为电力系统继电保护及自控技术,E-mail:sxdw_wl@126.com。
中图分类号:TD611
文献标志码:A 网络出版时间:2016-06-01 10:32
王玲,吴涛,李志忠.井下UPS并联供电系统无差拍环流抑制方法[J].工矿自动化,2016,42(6):70-74.