实验研究
田子建1, 曹阳阳1, 樊京2, 杜欣欣1
(1.中国矿业大学(北京) 机电与信息工程学院, 北京 100083;2.南阳理工学院 电子与电气工程学院, 河南 南阳 473004)
摘要:以互感理论分析了磁耦合谐振式无线电能传输系统原理,介绍了阻抗匹配理论及相应的参数计算方法,提出将收、发线圈互感的变化等效成系统阻抗参数的改变,建立了含有阻抗匹配器的磁耦合谐振式无线电能传输系统模型。仿真结果验证了在相同的条件下,具有阻抗匹配器的磁耦合谐振式无线电能传输系统可有效提高负载功率。
关键词:无线电能传输系统; 磁耦合谐振式; 阻抗匹配
网络出版地址:http://www.cnki.net/kcms/detail/32.1627.TP.20160601.1025.009.html
磁耦合谐振式(Magnetic Resonance Coupling, MRC)无线电能传输(Wireless Power Transmis-sion, WPT)技术以电磁场为媒介,利用2个或多个具有相同谐振频率、高品质因数的线圈,通过磁耦合谐振作用实现电能无线传输。该技术具有高效、非辐射能量传输、对环境影响较小、无严格的方向性、穿透性良好等优点。相比于电磁感应耦合式WPT系统,其传输距离更远;相比于电磁波辐射式WPT系统,其传输效率更高。2007年MIT完成MRC-WPT系统实验[1]后,迅速掀起了新一轮WPT系统研究热潮,并在便携式移动设备、特殊场合(如煤矿、化工等)无线供电、电动汽车无线充电等领域显示出广阔的应用前景[2-4]。
WPT系统的主要性能指标为系统传输距离、传输功率、效率等,目前国内对该技术的研究主要针对这几个方面。现阶段对MRC-WPT技术的研究还处于起步阶段,相关的理论和实验研究很少,尤其是对传输效率影响的研究还不够。阻抗匹配器作为电路系统中的重要模块,对WPT系统的优化有显著作用。参考文献[5]在验证其结论时,只在结构中列出了阻抗匹配器这一模块,并没用具体介绍其应用效果;参考文献[6]设计了一种有自动阻抗匹配器的MRC-WPT系统,详细分析了其工作原理及优化效果,但是只针对传输效率,在功率方面介绍较简略。本文从基本的电磁谐振电路出发,对MRC-WPT技术基本原理进行研究,详细介绍了阻抗匹配原理及其设计原则,提出了一种有阻抗匹配器的MRC-WPT系统。该系统结构较普通结构能有效提升系统传输功率。
目前国内外研究者对MRC-WPT系统的原理和建模分析主要采用耦合模理论、散射矩阵理论和电路理论3种方式[7]。耦合模理论比较抽象,不易理解;散射矩阵理论常用于天线领域研究,忽略了系统内部参数;电路理论是常用的电气研究方法,易于理解。因此本文采用电路理论对MRC-WPT系统进行建模分析。
1.1 MRC-WPT系统原理
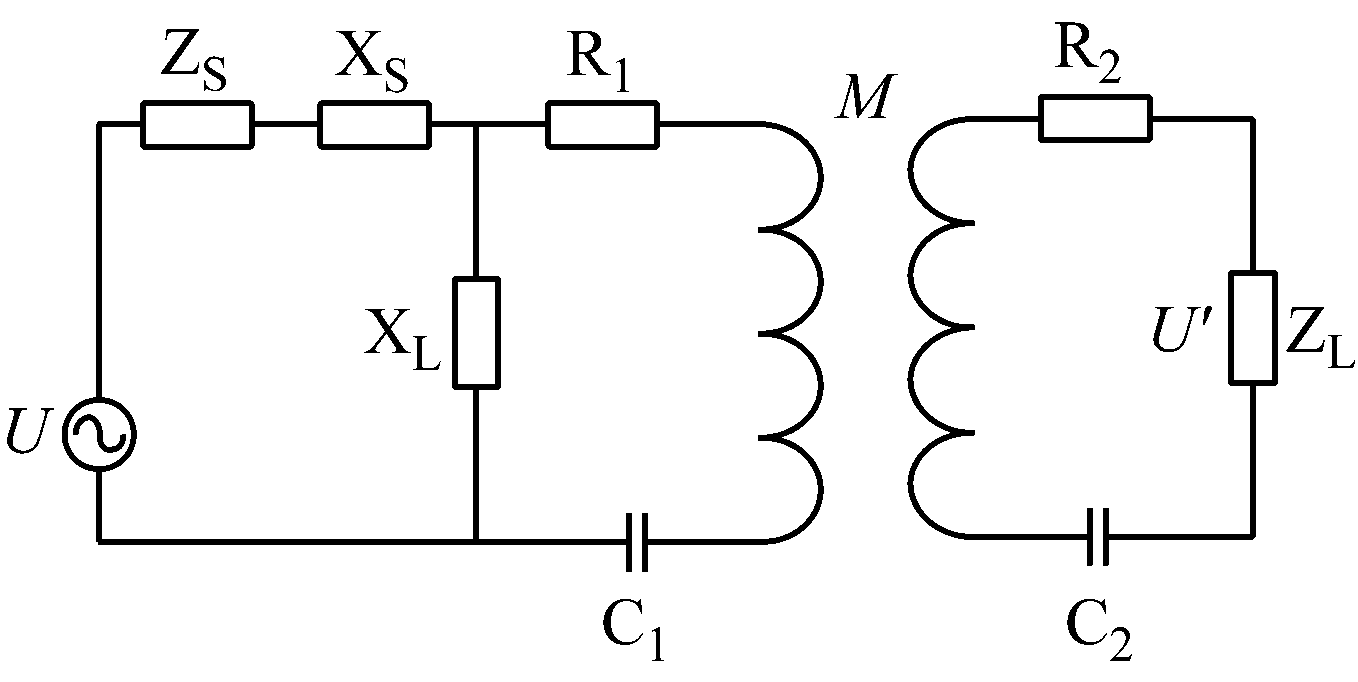
MRC-WPT系统根据共振原理,合理设置发射线圈与接收线圈的参数,使2个线圈及整个系统具有相同的谐振频率,并且在该谐振频率的电源驱动下达到一种“电谐振”状态,此时线圈回路阻抗达到最小值,大部分能量往谐振路径上传递。一个完整的MRC-WPT系统除了2个发生自谐振的线圈外,还必须有电源和负载,如图1所示。其中C1为发射线圈匹配电容,ZS为电源阻抗,C2为接收线圈匹配电容,ZL为接收端负载阻抗。
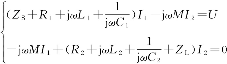
电源给发射线圈供电,频率为系统谐振频率。此时发射线圈发生谐振。由LC谐振耦合电路可知,当电源频率与收发电路的LC固有谐振频率一致时,发射线圈和接收线圈阻抗最低,即使在不高的供电电压下,由于发生谐振,也能产生较大的电流。此时,在一定传输范围内,发射回路大部分能量被接收回路吸收,发射线圈匹配电容的电场能因谐振与电感中的磁场能不断进行交换。而发射线圈中一部分磁力线铰链到接收线圈,交变的磁场在接收线圈中感应出电流,从而将能量传递到接收端。在接收端,接收线圈匹配电容中的电场能和电感中的磁场能也因谐振不断进行能量交换,最终将能量传递给负载。MRC-WPT系统等效电路如图2所示,其中U为电源电压,R1为发射线圈等效电阻,L1为发射线圈电感,I1为发射线圈电流,R2为接收线圈等效电阻,L2为接收线圈电感,I2为接收线圈电流,M为收发线圈之间的互感。

图1 MRC-WPT系统结构

图2 MRC-WPT系统等效电路
根据基尔霍夫电压定律,可得等效电路的回路方程:

(1)
式中ω为系统频率。
发射线圈等效电阻为辐射电阻和损耗电阻之和,但是在高频下线圈的辐射电阻远小于损耗电阻,因此本文中发射线圈等效电阻即为线圈损耗电阻。当电源频率为线圈自谐振频率时,系统发生谐振,即有式(2):
(2)
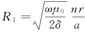
发射线圈参数可由式(3)—式(5)确定[8]:
(3)
(4)
(5)
式中:μ0为真空磁导率;δ为铜线电导率;n为线圈匝数;r为线圈半径;a为铜导线直径;D为收发线圈之间的距离。
本文中收发线圈结构一样,因此线圈参数也一致。令
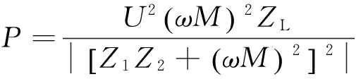
,解式(1)可得MRC-WPT系统的电流I1,I2,从而可得此时MRC-WPT系统传输功率:
(6)
1.2 基于阻抗匹配器的MRC-WPT系统模型
信号或电能在传输过程中,为实现信号的无反射传输或最大功率传输,要求电路连接实现阻抗匹配[9]。阻抗匹配方式有2种:① 共轭匹配,即负载阻抗等于信号源内阻抗的共轭值,此时负载上能够获得最大传输功率,称为最大输出功率匹配;② 传输线的阻抗匹配,负载上的反射信号叠加在原信号上会改变原信号的形状,如果传输线负载阻抗与传输线特性阻抗匹配,此时信号传输到负载上完全被负载吸收而无反射波,又称为无反射匹配[10-12]。本文以共轭匹配为例进行分析,使负载获得最大传输功率。图3为一种典型的阻抗匹配电路。

图3 典型的阻抗匹配电路
图3中电源传输到负载上的功率为

(7)
当电源阻抗ZS的共轭与ZL相等
=ZL)时,电源阻抗和负载阻抗是匹配的,负载功率最大,为
(8)
阻抗匹配电路可被看作二端口网络[2],其结构如图4所示,其中U′为负载两端电压。

图4 二端口网络结构
图4所示结构可用二端口网络理论中的T参数矩阵表示为[13]
(9)
式中
。
当参数满足式(10)、式(11)时,满足匹配条件[6]。
(10)
(11)
基于上述分析可计算出阻抗匹配器中的参数。对于MRC-WPT系统,传输距离容易改变,其收发线圈互感受传输距离的影响较大,而互感的改变会影响系统阻抗,进而降低系统传输性能。若系统加入阻抗匹配器,可有效改变系统阻抗,使系统高效工作。将谐振线圈(即收发线圈)与负载作为一个整体,将阻抗匹配器整合到MRC-WPT系统,得到系统整体结构,如图5所示。谐振线圈与负载作为一个整体,不论是负载单独变化,还是谐振线圈参数变化,又或者两者同时变化,都看作是整个系统的负载变化。通过调整阻抗匹配器的相关参数,可使电源在任何时候都以最大功率输出。

(a) 整体结构

(b) 电路
图5 加入阻抗匹配器的MRC-WPT系统
本文采用较简单的L型匹配电路[14]。XS,XL为阻抗匹配器的阻抗参数,其值可由式(10)、式(11)计算得到。
由于MRC-WPT系统传输距离较灵活,而距离变化会影响谐振线圈的互感参数,所以仿真实验是在不同传输距离、相同负载条件下,比较有无阻抗匹配器时负载消耗的功率,从而证明阻抗匹配器的优化效果。将图5(b)所示系统电路用互感理论等效,在Simplorer环境下进行仿真,仿真电路如图6所示。

(a) 有阻抗匹配器

(b) 无阻抗匹配器
图6 MRC-WPT系统仿真电路
图6为已去耦合等效电路,电源内阻抗ZS=RS,负载阻抗ZL=RL;阻抗匹配器参数XS=LS,XL=CP;电源频率为13.56 MHz,幅值为10 V。线圈参数[15]:谐振线圈自身电感L=2.634×10-5 H,电容C1=C2=5.229×10-12 F,去耦电感L1=L2=L-M,线圈匝数n=10,线圈半径r=5 cm。线圈电阻忽略不计,高频功率放大电路的输出阻抗一般为50 Ω,取RS=RL=50 Ω。表1为传输距离D变化时计算出的阻抗匹配器参数值。
以D=12 cm为例介绍仿真数据处理过程。图7为无阻抗匹配器时仿真结果。可看出随着时间推移,负载两端电压趋于稳定。由仿真结果的Data Table图可得到负载两端电压稳定值,再根据功率计算公式计算出负载功率。
仿真数据见表2,其中U1为无阻抗匹配器时RL两端电压幅值,U2为有阻抗匹配器时RL两端电压幅值。由表2可知,随着传输距离增大,2个谐振线圈之间的互感逐渐减小,相应的负载两端电压也慢慢减小,但U2始终大于U1,即MRC-WPT系统有阻抗匹配器比无阻抗匹配器时输出电压高。
MRC-WPT系统有无阻抗匹配器时负载RL上消耗的功率如图8所示。可看出在传输距离相同的情况下,加入阻抗匹配器的MRC-WPT系统输出到负载上的功率比无阻抗匹配器时大。
表1 阻抗匹配器参数计算结果


图7 D=12 cm时仿真结果
表2 仿真数据


图8 2种情况下负载功率曲线
MRC-WPT系统传输距离较远,因此收发线圈之间距离容易发生变化。而MRC-WPT系统性能对传输距离的变化比较敏感,主要原因是距离增大会使收发线圈之间耦合强度减弱、互感减小。从阻抗匹配角度出发,将收发线圈互感的变化等效成系统阻抗参数的改变,用互感理论分析了MRC-WPT系统的传输机理,简单介绍了阻抗匹配理论及其参数计算方法,提出了一种具有阻抗匹配器的MRC-WPT系统,并采用仿真方法验证了系统的优化效果:在同样条件下,具有阻抗匹配器的MRC-WPT系统可有效提高负载端功率。
参考文献:
[1] KURS A, KARALIS A, MOFFATT R, et al. Wireless power transfer via strongly coupled magnetic resonances[J].Science, 2007, 317(5834): 83-86.
[2] 黄学良, 谭林林, 陈中,等.无线电能传输技术研究与应用综述[J].电工技术学报,2013,28(10):1-11.
[3] 范兴明,莫小勇,张鑫.磁耦合谐振无线电能传输的研究现状及应用[J].电工技术学报,2013,28(12):75-82.
[4] 赵争鸣,张艺明,陈凯楠.磁耦合谐振式无线电能传输技术新进展[J].中国电机工程学报,2013,33(3):1-13.
[5] 张献,杨庆新,崔玉龙,等.大功率无线电能传输系统能量发射线圈设计、优化与验证[J].电工技术学报,2013,28(10):12-18.
[6] BEH T C,KATO M,IMURA T,et al.Automated impedance matching system for robust wireless power transfer via magnetic resonance coupling[J].IEEE Transactions on Industrial Electronics, 2013,60(9):3689-3698.
[7] 杜秀, 王健强,程鹏天.磁耦合无线能量传输中耦合模理论和电路理论的对比分析[J].电工技术学报,2013,28(增刊2):7-12.
[8] 邓亚峰.无线供电技术[M].北京:冶金工业出版社,2013.
[9] 田亚朋,张昌民,仲维伟.阻抗匹配电路原理与应用[J].电子科技,2012,25(1):5-7.
[10] 魏守水.压电驱动中的串联电感匹配技术[J].电工技术学报,2006,21(10):71-75.
[11] 陈丽.传输线信号完整性的反射分析[J].工矿自动化,2014,40(3):49-52.
[12] 徐苏.高速电路传输线阻抗匹配分析与仿真[J].煤炭技术,2011,30(10):38-40.
[13] 邱关源.电路[M].北京:高等教育出版社,2009:424-425.
[14] 陈伟,黄秋元,周鹏.高速电路信号完整性分析与设计[M].北京:电子工业出版社,2009:21-22.
[15] 王国东,原璐璐.无线电能传输系统谐振线圈优化设计[J].工矿自动化,2014,40(3):53-56.
TIAN Zijian1, CAO Yangyang1, FAN Jing2, DU Xinxin1
(1.School of Mechanical Electronic and Information Engineering, China University of Mining and Technology(Beijing), Beijing 100083, China; 2.Institute of Electric and Electrical Engineering,Nanyang Institute of Technology, Nanyang 473004, China)
Abstract:Principle of magnetic resonance coupling wireless power transmission system was analyzed by use of mutual inductance theory. Impedance matching theory and corresponding parameter calculation methods were introduced. A model of magnetic resonance coupling wireless power transmission system containing an impedance matcher was built by equaling variation of mutual inductance between sending coil and receiving coil to variation of the system impedance parameters. The simulation result proves that magnetic resonance coupling wireless power transmission system containing an impedance matcher can improve load power effectively under the same condition.
Key words:wireless power transmission system; magnetic resonance coupling; impedance matching
文章编号:1671-251X(2016)06-0033-05
DOI:10.13272/j.issn.1671-251x.2016.06.009
收稿日期:2016-01-06;
修回日期:2016-04-18;责任编辑:李明。
基金项目:国家高技术研究发展计划(863计划)资助项目(2012AA062203);国家自然科学基金重点资助项目(51134024);国家自然科学基金资助项目(U1261125)。
作者简介:田子建(1964-),男,湖南望城人,教授,博士,主要研究方向为矿井监控与通信,E-mail:tianzj0726@126.com。
中图分类号:TD67
文献标志码:A 网络出版时间:2016-06-01 10:25
田子建,曹阳阳,樊京,等.磁耦合谐振式无线电能传输系统功率优化[J].工矿自动化,2016,42(6):33-37.