分析研究
施文娟1,2, 孙彦景1,3, 李松1, 翟文艳1, 谭泽富4, 蔡黎4
(1.中国矿业大学 信息与电气工程学院, 江苏 徐州 221008; 2.盐城师范学院 新能源与电子工程学院, 江苏 盐城 224002; 3.中国矿业大学 江苏省煤矿电气与自动化工程实验室, 江苏 徐州 221008; 4.重庆三峡学院 电子与信息工程学院, 重庆 404000)
摘要:针对挑战条件下复合介质中安全与环境监测的需求,为了克服路径损耗严重、信道条件动态变化和电源条件受限等问题,提出了面向复合介质应用的基于无线磁感应通信和磁感应波导通信的理论模型,给出了无线磁感应传感网的网络体系结构。对无线磁感应传感网的研究方向及应用进行了展望,指出了开展相关研究的迫切性。无线磁感应传感网的研究对地下环境监测、长距离或人口密集区输油、输气、输水等生命线工程的安全监测具有重要意义。
关键词:挑战环境; 磁感应; 磁感应波导; 无线磁感应传感网
网络出版地址:http://www.cnki.net/kcms/detail/32.1627.TP.20160601.1023.006.html
煤矿井下空间狭长且有风门、机车等阻挡体,巷道倾斜、有拐弯和分支,巷道表面粗糙,加上巷道中支架、棚体、风管、电缆及各种机电设备,构成了一种对无线电磁波而言具有挑战性的地下受限空间传播环境[1-2]。同时地下矿井环境中还存在土壤、岩石、煤层、水等异构介质,与井下巷道等受限空间共同构成地下矿井复合介质环境。为保证煤矿的安全和正常生产,国内研究了感知矿山物联网及井下受限空间内矿井无线通信系统及关键技术[3-7],但是对井下异构介质及复合介质间通信方式的研究仍是空白。电磁波在异构介质中比在空气中传输衰耗更严重,无线通信距离更短,因此电磁波传播方式不适用于地下异构介质通信。无线磁感应传感网是由布放在地下矿井复合介质内的传感器节点、磁感应链路中继节点组成的网络监测系统。研究适用于地下矿井复合介质的通信传输技术对实现地下环境全面的监测至关重要。
本文针对电磁波在地下矿井复合介质内信息传输存在的问题,提出将磁感应(Magnetic Induction,MI)技术应用于复合介质间,给出面向复合介质应用的无线磁感应通信和磁感应波导通信的理论模型及无线磁感应传感网的网络体系结构。
为了解决电磁波在地下矿井等挑战环境下复合介质内信息传输出现的问题,研究人员提出磁感应通信方法。SUN Zhi等[8-9]研究表明磁感应通信具有以下优点:① 土壤、煤岩、水等地下信号传输媒介的磁导率与空气的磁导率几乎一样,不会随时间和空间而变化,因此信道稳定。② 信号通过磁准态静场耦合到接收机上,因此不存在多路径损耗的问题。③ 发射机和接收机天线使用小线圈,尺寸大小可以根据工作环境制定,不存在天线尺寸大的问题。④ 中继线圈无供电要求,每个中继线圈加载一个电容,不需要供电和信号处理。
由于磁感应通信技术存在通信距离短的缺点,SYMS R R A等[10-11]提出利用中继线圈形成磁感应波导技术改善通信距离的观点。目前,磁感应波导技术已广泛应用于电介质镜、分布式布拉格反射镜、微波管的高频波减速结构、加速器里的耦合腔、解调器等领域。
SUN Zhi等[8-9,12]提出了磁感应通信理论模型,并分析了信道带宽、路径损耗及误码率等参数。参考文献[13]将磁感应通信应用到地下无线通信中,使用小铁磁线圈或者RFID线圈作为天线,实现了磁感应通信。参考文献[14]提出海域作战条件下用于命令、控制、定位的磁感应通信方法,验证了海域条件下磁感应通信系统可实现100~300 bit/s低速率数据传输。参考文献[15]提出个域网内磁感应可替代蓝牙。参考文献[16]将磁感应微型设备植入人体,建立网络,收集数据。参考文献[17]将磁感应通信技术应用到地下管道,实时监测和定位地下管道泄漏。
由此可见,磁感应通信是一个很有前途的可替代地下无线通信网络的物理层技术。
为满足煤矿井下环境监测传输的要求,目前用于矿井内局部通信、救灾通信和应急通信等的相关技术有矿用漏泄通信、感应通信、透地通信等[1]。
2.1 透地通信
透地通信采用穿透性强的低频频段(300~3 000 Hz)电磁波,以大地为传播媒介进行井上下或巷道间无线通信。透地通信抗灾变能力强,但存在信道容量小、路径损耗较大、天线尺寸大、电磁干扰大、通信距离短及应用范围受限等问题,主要用作避难硐室与地面的备份通信链路,用于应急救援等场合。
2.2 漏泄通信
漏泄通信沿巷道铺设漏泄同轴电缆,工作于30~300 MHz频段,是一种解决无线电波在巷道等地下受限空间中传播问题的有效技术,通过在同轴电缆外导体表面上配置一系列开槽口作为电磁波辐射源,可以沿垂直于电缆轴向传输、辐射或接收电磁波。漏泄通信具有信道较稳定、抗干扰能力强、工作频率高等优点,但是设备多,馈线长,事故发生时,电缆易挤压变形、断裂损坏,维护不便。该技术主要应用于隧道入侵探测、安防、探测传感等场合。
2.3 感应通信
感应通信工作于300~3 000 kHz中频段,通过架设专用感应线或利用巷道内的导体(如照明线、管道、轨道、动力线等)进行导波通信。与其他通信技术相比,具有适应环境能力强、穿透能力强、抗金属能力突出的优点,但是信道容量小,电磁干扰大,天线体积较大(通常采用背心型或背带型环形天线),其应用局限于煤矿井下救灾通信的场合。
2.4 WiFi技术
WiFi技术主要用于解决矿井巷道等地下受限空间内无线通信问题,支持语音、视频传输。WiFi采用AP(Access Point)模式,工作频率达2.45 GHz,最大的位速率达54 Mbit/s。WiFi技术具有传输速率高、系统容量大、抗故障能力强、建网迅速、组网灵活等优点,但系统部署需集中控制器,不具备漫游功能及多跳能力,灵活性差。
以上技术解决了煤矿井下移动通信的问题,但不适用于地下矿井复合介质中的信息传输,本文提出了地下无线磁感应通信技术,解决了挑战环境条件下长期环境监测信息的传输问题。
无线磁感应传感网由埋置在地下复合介质内的传感器节点、磁感应链路中继节点组成,使用线圈作为发射机和接收机。磁感应通信信道模型如图1所示,at和ar分别为发射机线圈和接收机线圈的半径,d为发射机和接收机之间的距离,Us为发射机的发射电压,RL为接收机的负载。
假设发射线圈信号是正弦电流,例如I=I0exp(-jωt), ω为发射信号的角频率,ω=2πf,f为系统工作频率。这个电流会激发接收机产生另一个正弦电流,进而实现通信。这2个耦合线圈之间的相互作用通过互感来表示。磁感应传感网发送器和接收器分别用变压器的初线圈和次线圈建模,如图1(b)所示。M为初线圈和次线圈的互感;Lt和Lr分别为初线圈和次线圈的自感;Rt和Rr为线圈的阻抗;ZL为接收机的负载阻抗。
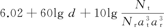
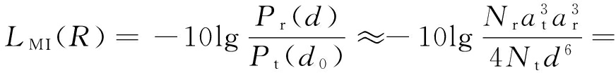
在线圈阻抗低、工作频率高的情况下,路径损失可以简单定义为[8]
(1)
式中:Pr(d)为接收机的接收功率;当传输距离d0非常小时,Pt(d0) 为参考传输功率;Nt,Nr分别为发射机线圈和接收机线圈的匝数。

(a) 磁感应收发器

(b) 收发器模型

(c) 等价电路
图1 磁感应通信信道模型
本文中,发射机和接收机线圈半径为0.15 m,线圈匝数为5圈,工作频率为10 MHz,采用2PSK调制解调方式,传输范围为10 m左右。磁感应通信系统带宽为2 kHz左右[18]。
每对磁感应线圈通信传输距离为10 m左右[8]。为拓展传输范围,需要研究在发射机和接收机之间部署中继节点的有效方法。不同于电磁波技术的中继节点,磁感应通信系统的中继节点只是加载了电容的简单线圈,不需要供电电源。发射机线圈里的正弦电流激发第1中继节点产生正弦电流,第1中继节点的正弦电流激发第2中继线圈产生正弦电流,如此下去,这些中继线圈在地下环境里形成磁感应波的引导,充当磁感应波引导,简称为磁感应波导。
典型的磁感应波导信道模型如图2所示,在发射机和接收机的一个轴方向放置n-2个中继线圈。n为总线圈个数,r为相邻线圈的距离,a为线圈的半径,由图2(a)可知,d=(n-1)r。每个中继线圈(包括发送线圈和接收线圈)加载一个电容C。通过适当选择电容器,形成谐振线圈,可有效传输磁信号。每对线圈中存在互感,互感的值取决于这对线圈之间的距离。在地下通信中,设置2个中继线圈间的距离为5 m,这个距离要大于电磁波系统的最大通信距离(4 m)[8]。本文中,中继线圈半径为0.15 m左右。使用中继线圈替换昂贵的电磁波中继传感器设备,可以节约成本。因此在部署地下设备的成本方面,磁感应波导系统比传统的电磁波系统花费少。

(a) 磁感应波导收发器

(b) 收发器模型

(c) 等价电路
图2 磁感应波导信道模型
如图2(c)所示,假设只有相邻线圈耦合,将磁感应波导建模为多级变压器。发送器和中继节点通常使用相同类型的线圈。假设所有线圈参数(阻抗、自感、互感)都一样,L为线圈自感;R为线圈阻值,C为每个线圈的电容,Z为每个线圈的固有阻抗,则磁感应波导路径损失可以简单定义为[9,12]
(2)
其中:
(3)
(4)
(5)
(6)
本文中,所有线圈半径为0.15 m,线圈匝数为5圈,工作频率为10 MHz。中继线圈加载电容大小为35 pF。相邻中继线圈间间隔5 m。传输范围为250 m左右时,磁感应波导路径损耗小于100 dB。磁感应波导通信系统带宽为1~2 kHz。通过减少中继线圈间的距离可以增加系统带宽,但需要增加中继线圈的数目。
磁感应传感网络在体系上结合无线网络(WiFi)和磁感应无线传感器网络,共同构成复合介质信息感知控制系统,实现复合介质中各种监测信息的一体化传输。挑战环境下无线磁感应传感网网络结构如图3所示。该网络将工业WiFi技术、磁感应通信技术融为一体,实现地面上下的互通互联、资源共享和协同工作。

图3 无线磁感应传感网网络结构
磁感应传感网络由物理层、MAC层、网络传输层、应用层组成,其结构如图4所示。

图4 无线磁感应传感网络层次体系
物理层解决复合介质物理环境中终端设备间数据传输的问题,主要研究开发低成本的复合介质通信调制解调器,设计低复杂度、能快速收敛的次优滤波器;采取适当的措施来克服信道估计的稳定性问题等。MAC层解决将物理层所获数据可靠地传输到相邻节点网络层的问题,关键技术包括多址技术、差错控制技术、数据流优化技术等。网络传输层解决感知层所获数据的传输问题,关键技术包括低速率组网关键技术、磁感应通信拓扑路由协议、容错组网技术等。应用层解决信息识别处理和人机交互的问题。
目前研究的重点主要集中在数据链路层和网络层,包括数据链路层中的接入方法和差错控制及网络层中的路由算法等。在今后的研究中,除了上述几个方面仍然是研究的重点和热点以外,物理层和应用层的设计也是一个重要的研究方向。同时可以考虑采用跨层设计和自适应参数设置来克服各层独立设计和固定参数设置无法避免的问题,从而实现网络整体性能的最优化。
(1) 基于磁感应网络的传感技术。该技术针对地下复合介质环境,采用电磁辐射、声发射、红外视觉识别等方法,主要研究矿井采空区、地下管道、CO2埋存状态等地下环境参数分布式传感技术,研制新型的具有微型化、可扩展和灵活性、稳定性和安全性及低成本特点的分布式矿用传感器。
(2) 无线磁感应传感网传输技术。该技术根据无线传感器网络传输的需求,研究地下磁感应通信信道容量的信息理论及地下复合介质中磁感应波导传输的规律,研究磁感应波导的传输特性,以及复合介质磁感应波导通信的频率、调制方式、带宽、传输速率等参数优化;研究稳健的无线传输体制即低功耗调制解调方案和编码、分集、均衡技术,以及极低信噪比条件下的检测技术,克服衰落,提高无线传输的数据速率,扩大磁感应波导的覆盖范围。
(3) 无线磁感应传感网低速率组网技术。该技术根据地下不同工作面空间和介质的要求,以及磁感应波导通信范围的复杂形状,研究合理的地下无线传感器拓扑结构、工作模式、中继线圈的分布、部署算法和MAC层活动调度机制,以便更优化地覆盖所需监控区域。对现有的电磁波通信网络,从传输效率和可靠性方面研究新的网络传输技术,解决异构网络互连及自动拓扑发现和网络重构问题。
(4) 监测信息识别与处理技术。利用先进的智能传感器与磁感应波导技术对采空区、复合介质等
地下有关环境进行数据采集传输,根据采集的数据与理论分析,从安全监测数据中获取可信、隐藏、事先未知、潜在有空和最终可理解的危险信息,揭示监测数据的本质规律、内在关联,运用这些规律和有用信息对新的监测数据进行融合,实现关键信息的自动识别。
煤矿井下挑战环境复合介质中存在无线电磁波传输衰减大、电气防爆等特殊性问题,制约着电磁波在复合介质中的应用。无线磁感应技术可以很好地解决上述问题。可以预见,作为煤矿安全监测与预警救援的重要技术保障,无线磁感应传感网将成为矿山物联网的有力补充,对全面提高我国矿山、长距离或人口密集区输油、输气、输水等生命线工程的安全监测具有重要意义。
参考文献:
[1] 孙继平.煤矿安全生产监控与通信技术[J].煤炭学报,2010,35(11):1925-1929.
[2] 孙彦景,钱建生,李世银,等.煤矿物联网络系统理论与关键技术[J].煤炭科学技术,2011,39(2):69-72.
[3] 吴立新,汪云甲,丁恩杰,等.三论数字矿山——借力物联网保障矿山安全与智能采矿[J].煤炭学报,2012,37(3):357-365.
[4] 孙继平.煤矿物联网特点与关键技术研究[J].煤炭学报,2011,36(1):167-171.
[5] 杨维,冯锡生,程时昕,等.新一代全矿井无线信息系统理论与关键技术[J].煤炭学报,2004,29(4):506-509.
[6] 张申,赵小虎.论感知矿山物联网与矿山综合自动化[J].煤炭科学技术,2012,40(1):83-86.
[7] 孙彦景,左海维,钱建生,等.面向煤矿安全生产的物联网应用模式及关键技术[J].煤炭科学技术,2013,41(1):84-88.
[8] SUN Zhi, AKYILDIZ I F. Magnetic induction communications for wireless underground sensor networks[J]. IEEE Transactions on Antennas and Propagation,2010,58(7):2426-2435.
[9] SUN Zhi, AKYILDIZ I F. Optimal deployment for magnetic induction-based wireless networks in challenged environments[J]. IEEE Transactions on Antennas and Propagation,2013,12(3):996-1005.
[10] SYMS R R A, YOUNG I R, SOLYMAR L. Low-loss magneto-inductive waveguides[J]. Journal of Physics D: Applied Physics,2006,39(18):3945-3951.
[11] SYMS R R A, SHAMONINA E, SOLYMAR L. Magneto-inductive waveguide devices[J]. IEE Proceedings-Microwaves Antennas and Propagation (Impact Factor: 0.81),2006, 153(2):111-121.
[12] SUN Zhi, AKYILDIZ I F. On capacity of magnetic induction-based wireless underground sensor networks[C]//Proceedings IEEE INFOCOM, Orlando, FL, 2012:370-378.
[13] JACK N, SHENAI K. Magnetic induction IC for wireless communication in RF-impenetrable media[C]//IEEE Workshop on Microelectronics and Electron Devices, Boise, ID, USA, 2007:47-48.
[14] SOJDEHEI J J, WRATHALL P N, DINN D F. Magneto-inductive(MI) communications[C]//IEEE Conference and Exhibition OCEANS, Honolulu, HI, 2001:513-519.
[15] BUNSZEL C. Magnetic induction: A low-power wireless alternative[J].RF Design, 2001,24(11):78-80.
[16] SUN M, HACKWORTH S A, TANG Z, et al. How to pass information and deliver energy to a network of implantable devices within the human body[C]//29th Annual International Conference of the IEEE Engineering in Medicine and Biology Society, Lyon, 2007:5286-5289.
[17] SUN Zhi, WANG Pu, VURAN M C, et al. Magnetic induction-based wireless sensor networks for underground pipeline monitoring[J]. Ad Hoc Networks, 2011, 9(3):218-227.
[18] AKYILDIZ I F, STUNTEBECK E P. Wireless underground sensor networks: Research challenges[J].AD Hoc Networks, 2006, 4(6):669-686.
SHI Wenjuan1,2, SUN Yanjing1,3, LI Song1, ZHAI Wenyan1, TAN Zefu4, CAI Li4
(1.School of Information and Electrical Engineering, China University of Mining and Technology,Xuzhou 221008, China; 2.School of New Energy and Electronical Engineering, Yancheng Normal University, Yancheng 224002, China; 3.Jiangsu Province Laboratory of Electrical and Automation Engineering for Coal Mining, China University of Mining and Technology, Xuzhou 221008, China;4.School of Electrical and Information Engineering, Chongqing Three Gorges University,Chongqing 404000, China)
Abstract:In view of requirements of security and environmental monitoring in coal mine multiplex medium in challenging environment, in order to conquer the obstacles such as serious path loss, dynamic channel condition and constrained supply condition and so on, theory model of wireless magnetic induction communication and magnetic induction waveguide communication in multiplex medium was proposed, and structure of wireless magnetic induction sensor network was given. Research directions and application of wireless magnetic induction sensor networks in the future were prospected, the urgency of related study was pointed out. It has great significance to safety monitoring of underground environment and the oil, gas or water pipeline which is especially long or in densely populated area.
Key words:challenging environment; magnetic induction; magnetic induction waveguide; wireless magnetic induction sensor networks
文章编号:1671-251X(2016)06-0020-06
DOI:10.13272/j.issn.1671-251x.2016.06.006
收稿日期:2016-02-29;
修回日期:2016-04-26;责任编辑:胡娴。
基金项目:国家自然科学基金项目(51274202,51504214,51504255);江苏省重点研发计划项目(BE2015040);江苏省自然科学基金项目(BK20131124,BK2012068,BK2012246,BK20130199);江苏省产学研前瞻性联合研究项目(BY2014028-01);江苏省高校自然科学研究项目(13KJB510038)。
作者简介:施文娟(1981-),女,江苏盐城人,讲师,博士研究生,研究方向为磁感应通信、无线通信,E-mail:winterswj@126.com。
中图分类号:TD655
文献标志码:A 网络出版时间:2016-06-01 10:23
施文娟,孙彦景,李松,等.挑战环境下无线磁感应传感网理论与关键技术[J].工矿自动化,2016,42(6):20-25.