夏晨阳1, 王卫1, 任思源1, 张杨1, 赖娜1, 谷志鹏1, 刘海伟1, 吕龙彪1, 刘锋2
(1.中国矿业大学 江苏省煤矿电气与自动化工程实验室, 江苏 徐州 221008;2.徐州凯思特机电科技有限公司, 江苏 徐州 221116)
摘要:针对煤矿井下绞车供电问题,设计了一种长距离自动巡检绞车无线供电系统,重点介绍了该系统的无线供电模式,并通过理论分析得出系统的输出功率、输出效率随原边线圈内阻的增大而减小,随逆变器开关频率的增大而增加;根据该结论及井下绞车长距离导轨的实际情况,设计了分段供电模式。仿真与实验结果验证了该系统的可行性。
关键词:长距离绞车; 自动巡检; 无线供电; 分段供电
网络出版地址:http://www.cnki.net/kcms/detail/32.1627.TP.20160429.1132.016.html
煤矿的安全开采是煤炭工业发展的基础。中国煤炭开采条件复杂,危险因素多,井下用电设备供电安全性一直是困扰煤矿企业的主要问题之一[1-2]。目前,井下用电设备主要有3种供电方式:蓄电池供电方式需要频繁更换电池,耗费人力;拖线供电方式存在断裂、不灵活以及不美观的缺点;从架空线滑动取电容易导致炭积、接触不良及接触火花等问题。
近年来兴起的无线电能传输(Wireless Power Transmission, WPT)技术基于电磁感应耦合或电磁耦合谐振原理,实现电能从电源到用电设备的无线传输,可避免目前供电方式存在的接触火花、器件磨损、接触不良等问题[3-8],为井下设备供电方式提供了新的选择[9-10]。目前,国内对WPT技术在煤矿井下应用的研究尚处于初级阶段。文献[11]针对煤矿井下大量无线传感器节点电池更换难、维护难的问题,提出了一种磁耦合谐振式井下无线充电理论模型。文献[12]针对井下移动充电模式平均充电效率不高的问题,对典型的磁耦合谐振式电能传输系统进行了改进和优化。文献[13]给出了一种高瓦斯粉尘环境下考虑粉尘电导性的无线电能传输系统全互感模型建模方法,提高了模型建模的精准性。
本文针对煤矿井下长距离自动巡检绞车供电问题,提出一种无线供电系统,重点分析了该系统的结构及无线供电模式,并通过计算机仿真及实验平台验证了该系统的优良特性。
长距离自动巡检绞车无线供电系统结构如图1所示。在实验室环境下模拟煤矿井下巷道,在小车底部设支撑木板,支撑木板宽度大于小车宽度,支撑木板内铺设原边线圈,副边线圈安装在小车上。小车载有无线摄像头,实现对绞车的自动化巡检。系统采用无线供电方式,为小车及摄像头供电。

图1 长距离自动巡检绞车无线供电系统结构
2.1 长距离无线供电模式
考虑到井下高瓦斯环境对用电设备防爆有严格的要求,现有的无线电能传输系统本身电路结构并不能满足井下防爆要求,本文采用如图2所示的无线供电模式,其中副边电能补偿装置、副边电能变换装置安装在小车中。长距离体现在原边线圈为一段长导轨,或称为单匝线圈。
2.2 电能补偿装置
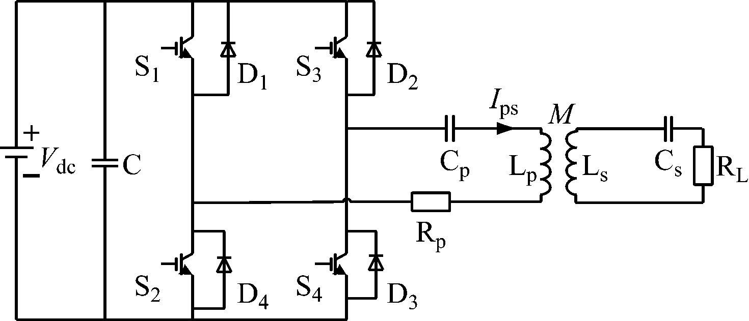
磁耦合谐振式无线电能传输系统的电能补偿拓扑主要有原边串联副边串联补偿(SS)、原边串联副边并联补偿(SP)、原边并联副边串联补偿(PS)和原边并联副边并联补偿(PP),如图3所示。Vp,Ip分别为电压源、电流源,对应图2中高频逆变电路的输出,M为原、副边线圈互感,Cp,Cs分别为原、副边补偿电容,Lp,Ls分别为原、副边线圈自感,Rp,Rs分别为原、副边线圈等效内阻,RL为负载等效内阻。

图2 系统无线供电模式


图3 无线电能传输系统的电能补偿拓扑
在煤矿井下,电压源比电流源更容易获得,且原边采取串联补偿更有利于系统稳定,也更容易控制[14],因此系统可采用SS,SP拓扑。副边采取串联补偿时,系统谐振频率只与电感和电容有关,与负载和原、副边线圈互感无关;副边采取并联补偿时,系统谐振频率不仅与电感、电容有关,而且与负载和原、副边线圈互感有关。在绞车行驶过程中,原、副边线圈的相对位置一直变化,互感也会随之发生变化。因此,系统电能补偿装置最终采用SS拓扑。
2.3 磁路机构
磁路机构是原、副边进行电能传输的桥梁,由原、副边线圈构成。磁路机构可分成静止式、滑动式和螺旋式3种[15]。其中滑动式磁路机构适用于原、副边线圈具有相对运动的场合,可灵活地对移动设备供电,因此本文选用滑动式磁路机构。由于系统的原、副边耦合系数低,所以需要使用磁芯。滑动式磁路机构中常采用O型、U型、E型、EI型磁芯。为使原边导轨方便地安装在支撑木板中,副边线圈的磁芯较适宜采用U型或E型。本文选择E型磁路机构,如图4所示。

图4 系统磁路机构
系统高频逆变电路采用全桥逆变器,其等效电路如图5所示,其中Vdc为系统的直流电压输入,电容C用于维持输入电压恒定。系统工作在恒频模式下,工作角频率为ω。为实现功率和效率的最大化传输,副边需处于完全谐振状态,副边补偿电容Cs的选取需满足式(1)。
(1)

图5 逆变器等效电路
设逆变器工作在零电流软开关工作模式下,则逆变器输出的电压有效值为[16]
(2)
在副边谐振状态下,从副边线圈到原边线圈的反射等效阻抗为[16]

(3)
由式(3)可看出,采用SS拓扑时,副边线圈反射到原边线圈的等效阻抗呈阻性。为了实现系统原边谐振,原边补偿电容应满足Cp=1/(ω2Lp)。原边电路的等效阻抗为
(4)
原边电路电流有效值为

(5)
则系统输出功率为
(6)
系统输出效率为
(7)
实验系统中小车功率为40 W,无线摄像头功率为20 W,且小车和无线摄像头的额定电压均为12 V,由此计算得负载等效内阻RL=2.5 Ω。系统输入电压可取井下36 V直流电压,由式(2)计算得Vp=32.5 V。系统原、副边耦合系数低,互感M一般为几微亨,本文取M=2 μH。根据式(6)、式(7)得出系统输出功率、输出效率与原边线圈内阻及逆变器开关频率之间的关系,如图6所示。可见随着逆变器开关频率增大,系统输出功率和输出效率增加;随着原边线圈内阻增大,系统输出功率和输出效率降低。综合考虑系统输出功率和效率,可取频率f=80 kHz,内阻Rp=1 Ω。

(a) 输出功率与原边线圈内阻及逆变器开关频率关系

(b) 输出效率与原边线圈内阻及逆变器开关频率关系
图6 系统仿真结果
4.1 分段供电模式
因逆变器开关频率很高,系统中线圈、导轨均采用利兹线。数千米利兹线内阻为数欧姆到十几欧姆,若仅采用单个导轨,无法满足系统输出功率和效率要求,因此原边导轨采用分段供电模式。
长距离导轨分段供电模式分为36 V供电-分级驱动导轨模式、高频高压配电-低压恒流激励导轨模式和混合型导轨模式[17]。系统选择36 V供电-分级驱动导轨模式,如图7所示。电能变换装置用于产生高频电流注入到导轨;换流器可根据当前的负载情况自适应切换当前的注入状态,从而实现系统的分级控制;谐振补偿装置使系统工作在谐振状态。

图7 36 V供电-分级驱动导轨模式
该模式的优点:分段供电,电路损耗低;电能变换装置容量低,对器件的要求低;各部分彼此独立,可靠性高,系统更加稳定。但该模式需使用较多的电能变换装置。因绞车运输距离仅数千米,所以本系统中电能变换装置的实际用量很少。
4.2 小车位置检测方法
为了及时有效地切换原边导轨,需在相邻2段导轨之间安装位置传感器。记第n段原边导轨入口处和出口处的位置传感器为Tn1和Tn2,位置传感器与各段原边导轨换流器之间的连接如图8所示。第n-1段原边导轨出口处的位置传感器T(n-1)2及n+1段原边导轨入口处的位置传感器T(n+1)1与第n段原边导轨的换流器相连。副边线圈宽度a与位置传感器T (n-1)1和Tn1之间的距离b相等。换流过程:假设小车处于第n-1段原边导轨,当其行驶到位置传感器T (n-1)2处时,换流器n得到一个开通信号,第n段原边导轨开始工作;当小车运动到位置传感器Tn1处时,第n-1段原边导轨的换流器得到一个关断信号,第n-1段原边导轨停止工作,换流完成。在换流过程中,可能存在磁场强度不够或2段导轨产生的磁场相互抵消的情况,因此有必要采用UPS电源,在某段导轨发生故障时,保证系统正常运行。

图8 小车位置检测方法
在第1段原边导轨的入口处和最后1段原边导轨的出口处安装第2种位置传感器,当小车行驶到该处时发出信号,表明小车反向运行。
通过Matlab/Simulink仿真软件和实验对系统性能进行验证。系统负载为阻性负载。系统参数设置见表1。
表1 系统参数设置

图9为仿真中逆变器输出电压和电流、系统输出电压仿真波形。可见逆变器输出电压和电流基本同相位,达到谐振状态;系统输出电压为12 V,可正常工作。

(a) 逆变器输出电压和电流

(b) 系统输出电压
图9 系统仿真波形
图10为系统实验波形。可见实验结果与仿真结果类似,系统达到了谐振状态,输出电压为12 V,能够维持系统正常工作。

(a) 逆变器输出电压和电流

(b) 系统输出电压
图10 系统实验波形
无线供电系统具有灵活、安全、易维护等特点,特别适合为煤矿井下电气设备供电。针对煤矿井下绞车的供电安全问题,设计了长距离自动巡检绞车无线供电系统,在实验室条件下,采用仿真软件和实验验证了该系统的可行性。
参考文献:
[1] 胡祝龙,程天华.煤矿数字电网供电保护系统研究[J].煤矿安全,2013,44(4):119-122.
[2] 张玉均,卢永芳,王晓卫.基于DSP的煤矿电缆故障测距系统[J].煤矿安全,2014,45(11):110-112.
[3] 夏晨阳,张彦兵,伍小杰,等.基于阻抗变换的稳频高效非接触电能传输系统[J].西南交通大学学报,2012,47(5):814-819.
[4] SAMPLE A P,MEYER D A,SMITH J R. Analysis,experimental results,and range adaptation of magnetically coupled resonators for wireless power
transfer[J].IEEE Transactions on Industrial Electronics,2011,58(2):544-554.
[5] 王璐,陈敏,徐德鸿.磁悬浮列车非接触紧急供电系统的工程化设计[J].中国电机工程学报,2007,27(18):67-70.
[6] KLONTZ K W,DIVAN D M,NOVOTNY D W,et al.Contactless power delivery system for mining applications[J].IEEE Transactions on Industry Applications,1995,31(1):27-35.
[7] BOEIJ J D,LOMONOVA E,DUARTE J L,et al.Contactless power supply for moving sensors and actuators in high-precision mechatronic systems with long-stroke power transfer capability in x-y plane[J].Sensors and Actuators A:Physical,2008,148(1):319-328.
[8] LIU X,HUI S Y.Optimal design of a hybrid winding structure for planar contactless battery charging platform[J].IEEE Transactions on Power Electronics,2008,23(1):455-463.
[9] 戴卫力,费峻涛,肖建康,等.无线电能传输技术综述及应用前景[J].电气技术,2010(7):1-6.
[10] JANG Y,JOVANOVIC M M.A contactless electrical energy transmission system for portable-telephone battery chargers[J].IEEE Transactions on Industrial Electronics,2003,50(3):520-527.
[11] 丁恩杰,薛慧,孙志峰,等.基于磁耦合谐振的无线充电系统建模与分析[J].中国矿业大学学报,2014,43(5):927-932.
[12] 赵端,丁恩杰,俞啸.无线电能传输技术井下应用的设计[J].电子设计,2013(9):119-120.
[13] 夏晨阳,庄裕海,贾娜,等.高瓦斯粉尘矿井无线安全供电系统建模研究[J].煤炭学报,2014,39(增刊1):279-284.
[14] 张宗明.非接触电能传输系统电磁机构研究[D].重庆:重庆大学,2007.
[15] 孙跃,王智慧,戴欣,等.非接触电能传输系统的频率稳定性研究[J].电工技术学报,2005,20(11):56-59.
[16] JEGADEESAN R,GUO Yongxin.Topolog selection and efficiency improvement of inductive power links[J].IEEE Transactions on Antennas and Propagation,2012,60(10):4846-4854.
[17] 田勇.基于分段导轨模式的电动车无线供电技术关键问题研究[D].重庆:重庆大学,2012.
XIA Chenyang1, WANG Wei1, REN Siyuan1, ZHANG Yang1, LAI Na1,GU Zhipeng1, LIU Haiwei1, LYU Longbiao1, LIU Feng2
(1.Jiangsu Province Laboratory of Electrical and Automation Engineering for Coal Mining,China University of Mining and Technology, Xuzhou 221008, China; 2.Xuzhou Custer Electrical and Mechanical Technology Co., Ltd., Xuzhou 221116, China)
Abstract:For power supply problem of coal mine winch, a wireless power supply system for automatic long-distance inspection winch was designed. The wireless power supply mode of the system was introduced in details. Conclusions gotten by theoretical analysis were as following: the system output power and output efficiency decline with increasing of primary coil resistance and increase with increasing of inverter switching frequency. According to the conclusions and long-distance guide for coal mine winch, a sectional power supply mode was designed. The simulation and experiment results verify feasibility of the system.
Key words:long-distance winch; automatic inspection; wireless power supply; sectional power supply
文章编号:1671-251X(2016)05-0071-05 DOI:10.13272/j.issn.1671-251x.2016.05.016
收稿日期:2015-12-30;
修回日期:2016-03-25;责任编辑:李明。
基金项目:高等学校博士学科点专项科研基金资助项目(20120095120022);中国矿业大学大学生创新创业基金立项大学生创新项目(201516)。
作者简介:夏晨阳(1982-),男,江苏泰州人,副教授,博士,研究方向为无线电能传输技术、本质安全型开关电源技术,E-mail:bluesky198210@163.com。
中图分类号:TD634
文献标志码:A 网络出版时间:2016-04-29 11:32
夏晨阳,王卫,任思源,等.长距离自动巡检绞车无线供电系统研究[J].工矿自动化,2016,42(5):71-75.