樊英杰1,2, 张开如1,2, 张琳琳1,2, 王毅1,2, 狄东照1,2
(1.山东科技大学 电气与自动化工程学院, 山东 青岛 266590;2.山东科技大学 矿山灾害预防控制省部共建国家重点实验室培育基地, 山东 青岛 266590)
摘要:根据非对称磁耦合谐振式无线电能传输系统的等效模型,指出了磁耦合谐振式无线电能传输为磁耦合感应式无线电能传输的特殊情况,即磁耦合谐振式无线电能传输只有在谐振频率处才能实现远距离能量传输;给出了抑制频率分裂的方法,即通过调整发射线圈和接收线圈轴线方向的偏转角度和径向距离来削弱互感系数,提高接收线圈的峰值电压;搭建了非对称磁耦合谐振式无线电能传输系统实验平台,实验结果验证了理论分析的正确性。
关键词:无线电能传输; 磁耦合谐振; 非对称线圈; 频率分裂; 偏转角度; 径向距离
网络出版地址:http://www.cnki.net/kcms/detail/32.1627.TP.20160429.1130.014.html
无线电能传输技术是一种借助于空间无形软介质如电场、磁场等将电能由电源端传递至用电设备的传输模式,实现了电源和用电设备的完全隔离[1-2],解决了传统导线直接接触供电的缺陷,是一种安全有效的电能传输方式[3-6]。参考文献[7]介绍了无线电能传输的几种方式,其中磁耦合感应式无线电能传输距离非常近,传输距离为1 cm以内,而磁耦合谐振式无线电能传输方式可实现中等远距离传输。参考文献[8]详细分析了磁耦合谐振式无线电能传输发生频率分裂的相关因素,并将耦合程度分为过耦合、临界耦合、欠耦合。参考文献[9]指出通过频率跟踪、阻抗匹配、调整互感系数来削弱频率分裂现象。参考文献[10]给出了发射线圈与接收线圈轴线方向的夹角与互感系数之间的关系。以上研究是基于发射线圈和接收线圈完全对称的情况,而现实中大多数情况下发射线圈和接收线圈不能保持对称,因此对称式无线电能传输的应用受到了一定约束。本文根据非对称磁耦合谐振式无线电能传输系统的等效电路,分析了磁耦合谐振式无线电能传输和磁耦合感应式无线电能传输之间的关系以及抑制频率分裂的方法,设计了非对称磁耦合谐振式无线电能传输系统实验电路,对理论分析的结果进行了实验验证。
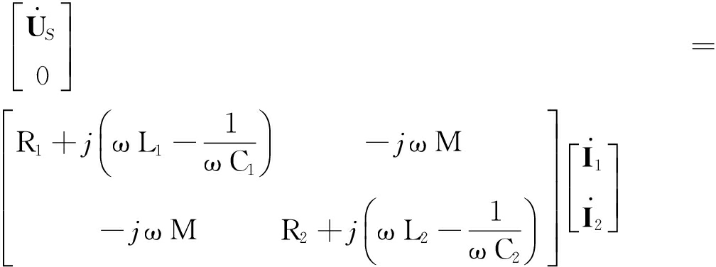
忽略集肤效应和邻近效应的非对称磁耦合谐振式无线电能传输系统等效电路如图1所示。US为交流电压源;R1,R2分别为发射线圈与接收线圈串联的等效阻抗;L1,L2分别为发射线圈与接收线圈的等效电感;C1,C2分别为发射线圈与接收线圈串联的谐振电容;M为发射线圈与接收线圈之间的互感系数;I1,I2分别为流过发射线圈与接收线圈的电流。发射线圈与接收线圈不对称,则L1≠L2,C1≠C2,R1≠R2。
根据基尔霍夫电压定律(KVL)可得

图1 非对称磁耦合谐振式无线电能传输系统等效电路

(1)
式中ω为交流电压源的角频率。
解式(1)可得

(2)
式中:ξ为角频率偏移的程度,ξ=Q(ω/ω0-ω0/ω),Q为品质因数,ω0为谐振角频率;λi(i=1,2)为耦合因数,表示发射线圈与接收线圈相互之间的耦合程度,λi=ωM/Ri。
交流电压源的输出功率为
(3)
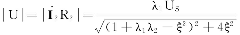
接收线圈串联等效阻抗接收的功率P2和电压模值|U|分别为
(4)
(5)
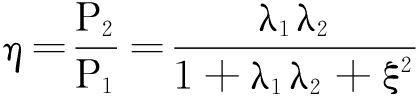
系统传输效率为
(6)
根据式(6)可得传输效率的3D效果,如图2所示。随着耦合因数从0逐渐增大到1,即发射线圈与接收线圈距离由大逐渐变小,系统只有处于谐振状态(ξ=0)时才有较高的传输效率,此时为磁耦合谐振式无线电能传输方式;当耦合因数继续增大,即发射线圈与接收线圈距离非常小时,不论系统是否处于谐振状态,均具有较高的传输效率,此时发射线圈与接收线圈的传输方式相当于磁耦合感应式无线电能传输方式,与角频率偏移的程度无关。

图2 传输效率3D效果
以|US|为基准,根据式(5)可得接收线圈串联等效阻抗的电压标幺值的3D效果,如图3所示。当非对称磁耦合谐振式无线电能传输系统处于谐振状态时,随着耦合因数增大,接收线圈串联等效阻抗的电压标幺值不断增大;当耦合因数等于1时,接收线圈串联等效阻抗的电压标幺值达到最大值;当耦合因数大于1时,接收线圈串联等效阻抗的电压标幺值下降,即非对称磁耦合谐振式无线电能传输系统发生频率分裂。由耦合因数的表达式可知,耦合因数与互感系数有关,在其他参数不变的情况下可通过调整发射线圈和接收线圈轴线方向的偏转角度和径向距离来削弱互感系数,进而降低耦合因数,抑制频率分裂。

图3 接收线圈串联等效阻抗的电压标幺值3D效果
为验证理论分析的正确性,搭建了非对称磁耦合谐振式无线电能传输系统,如图4所示。直流电源采用LP系列直流稳压电源,供电电压为30 V;高频逆变电路采用集成芯片XKT-801,产生的交流信号经谐振补偿电路后直接输入发射线圈;发射线圈采用平面谐振线圈,线圈外径为87 mm,匝数为15,电感为40 μH;接收线圈采用双层平面谐振线圈,线圈外径为96 mm,匝数为23,电感为900 μH;负载采用额定功率为3 W的灯泡。


(a) 系统原理

(b) 系统实物
图4 非对称磁耦合谐振式无线电能传输系统
经测试,当系统工作在谐振状态时,谐振频率为130.993 kHz,此时能将灯泡点亮的发射线圈和接收线圈最大轴向距离为65 mm,远远超过磁耦合感应式无线电能传输的距离。将发射线圈和接收线圈由远到近移动,从轴向距离65 mm移到15 mm,每隔5 mm测量接收线圈峰值电压,结果如图5所示。

图5 不同轴向距离对应的接收线圈峰值电压
由图5可知,当发射线圈和接收线圈轴向距离大于25 mm时,随着轴向距离的减小,接收线圈峰值电压不断增大,系统处于欠耦合状态;当轴向距离等于25 mm时,接收线圈峰值电压最大,系统处于临界耦合状态;当轴向距离小于25 mm时,随着轴向距离的减小,接收线圈峰值电压开始下降,系统处于过耦合状态,此时系统发生频率分裂现象。
当系统处于过耦合状态时,调整发射线圈和接收线圈轴线方向的偏转角度和径向距离,如图6所示。
分别在发射线圈和接收线圈轴向距离为15,20,25 mm时调整偏转角度,每隔3°对接收线圈峰值电压进行采样,结果如图7(a)所示;分别在发射线圈和接收线圈轴向距离为15,20,25 mm时调整径向距离,每隔5 mm对接收线圈峰值电压进行采样,结果如图7(b)所示。


图6 发射线圈和接收线圈轴线方向的偏转角度和径向距离

(a) 不同偏转角度对应的接收线圈峰值电压

(b) 不同径向距离对应的接收线圈峰值电压
图7 偏转角度和径向距离调整时对应的接收线圈峰值电压
由图7可知,轴向距离为25 mm时,随着偏转角度和径向距离的增加,接收线圈峰值电压不断下降,这是由于偏转角度和径向距离的增加会降低发射线圈和接收线圈互感系数,从而减小耦合因数,使系统从临界耦合状态进入欠耦合状态。轴向距离为15,20 mm时,随着偏转角度和径向距离的增加,接收线圈峰值电压先增大后减小,这是由于发射线圈和接收线圈互感系数降低,使系统从过耦合状态进入临界耦合状态,此时接收线圈峰值电压先增大;继续增大偏转角度和径向距离,则发射线圈和接收线圈互感系数继续降低,使系统从临界耦合状态进入欠耦合状态,此时接收线圈峰值电压不断减小。通过以上分析可知,非对称磁耦合谐振式无线电能传输系统发生频率分裂现象时,可通过调整发射线圈和接收线圈轴线方向的偏转角度和径向距离来削弱互感系数,抑制频率分裂,提高接收线圈的峰值电压。
通过分析非对称磁耦合谐振式无线电能传输系统的等效模型,可知磁耦合谐振式无线电能传输为磁耦合感应式无线电能传输的特殊情况,即磁耦合谐振式无线电能传输系统在谐振频率处才能远距离传输;针对系统发生频率分裂的现象,通过调整发射线圈和接收线圈轴线方向的偏转角度和径向距离来抑制频率分裂。搭建了非对称磁耦合谐振式无线电能传输系统实验平台,验证了理论分析的正确性。
参考文献:
[1] 田子建,林越,陈健,等.无线输电技术及其在矿井安全监控系统中的应用[J].工矿自动化,2014,40(7):32-36.
[2] 苗可彬.无线充电技术在矿用甲烷便携仪中的应用研究[J].工矿自动化,2015,41(5):26-28.
[3] 杨庆新,陈海燕,徐桂芝,等.无接触电能传输技术的研究进展[J].电工技术学报,2010,25(7):6-13.
[4] 赵争鸣,张艺明,陈凯楠.磁耦合谐振式无线电能传输技术新进展[J].中国电机工程学报,2013,33(3):1-13.
[5] 强浩,黄学良,谭林林,等.基于动态调谐实现感应耦合无线电能传输系统的最大功率传输[J].中国科学:技术科学,2012,42(7):830-837.
[6] KURS A,KARALIS A,MOFFATT R,et al.Wireless power transfer via strongly coupled magnetic resonances[J].Science,2007,317(5834):83-86.
[7] 杨庆新,张献,李阳,等.无线电能传输技术及其应用[M].北京:机械工业出版社,2014.
[8] 张献,杨庆新,陈海燕,等.电磁耦合谐振式传能系统的频率分裂特性研究[J].中国电机工程学报,2012,32(9):167-172.
[9] DUKJU A,SONGCHEOL H.A study on magnetic field repeater in wireless power transfer[J].IEEE Transaction on Industrial Electronics,2013,60(1):360-371.
[10] 刘修泉,曾昭瑞,黄平.空心线圈电感的计算与实验分析[J].工程设计学报,2008,15(2):149-153.
FAN Yingjie1,2, ZHANG Kairu1,2, ZHANG Linlin1,2, WANG Yi1,2, DI Dongzhao1,2
(1.College of Electrical Engineering and Automation, Shandong University of Science and Technology,Qingdao 266590, China; 2.State Key Laboratory of Mining Disaster Prevention and Control Co-foundedby Shandong Province and the Ministry of Science and Technology, Shandong University of Science andTechnology, Qingdao 266590, China)
Abstract:According to equivalent model of asymmetrical magnetic coupled resonant wireless power transmission system, a view was pointed out that magnetic coupled resonant wireless power transmission which could maintain long distance transmission at resonance frequency was a special case of magnetic coupled inductive wireless power transmission. Methods of restraining frequency splitting were given, namely changing offset angle and radial distance of axial direction of transmitting coil and receiving coil to reduce mutual inductance coefficient and improve peak voltage of the receiving coil. Finally, experimental platform of asymmetrical magnetic coupled resonant wireless power transmission system was built and the experimental results verified correctness of theoretical analysis.
Key words:wireless power transmission; magnetic coupled resonance; asymmetric coil; frequency splitting; offset angle; radial distance
文章编号:1671-251X(2016)05-0063-04 DOI:10.13272/j.issn.1671-251x.2016.05.014
收稿日期:2016-01-10;
修回日期:2016-03-25;责任编辑:盛男。
基金项目:“十二五”国家科技支撑计划资助项目(2012BAB13B04);国际(中国-南非)科技合作项目(CS06-L02)。
作者简介:樊英杰(1990-),男,山东日照人,硕士研究生,研究方向为控制理论与控制工程,E-mail:770650635@qq.com。
中图分类号:TD67
文献标志码:A 网络出版时间:2016-04-29 11:30
樊英杰,张开如,张琳琳,等.非对称磁耦合谐振式无线电能传输系统研究[J].工矿自动化,2016,42(5):63-66.