实验研究
高正中, 龚群英, 赵丽娜, 许焕奇, 肖佳宜
(山东科技大学 电气与自动化工程学院, 山东 青岛 266590)
摘要:为了快速找到井下水泵故障的原因,建立了一种基于模糊Petri网和状态监测的井下水泵故障诊断模型。首先通过井下排水设备状态监测系统测得水泵故障的振动信号,经过振动分析后,对获得的水泵故障样本进行学习训练;然后在水泵故障诊断的模糊Petri网模型结构上,引入神经网络中的BP算法对权值、阈值和置信度等参数进行网络优化训练。实例分析结果表明,该模型能较准确地找到水泵故障原因,具有较好的准确性、快速性和适应性。
关键词:水泵; 状态监测; 故障诊断; 模糊Petri网; BP算法
网络出版地址:http://www.cnki.net/kcms/detail/32.1627.TP.20160429.1119.007.html
在井下煤矿开采过程中,由于各种自然和生产原因,会有大量的水进入煤矿井巷,形成矿井涌水。井下排水系统的主要作用就是及时将井下涌水排放到地面,从而保障煤矿井巷的开采安全和井下工人的安全,保证生产的正常进行。因此,井下排水系统的安全运行至关重要。由于井下排水系统运行环境的复杂性及长期工作性,容易导致各种各样的故障,影响其运行功能,易造成安全事故及巨大的经济损失,所以,对煤矿井下排水系统进行故障诊断,有针对性地进行故障排查维修,快速准确地找到故障原因,使其尽快恢复运行,对煤矿安全生产有着极其重要的意义[1-2]。
国内外相关学者在故障诊断方面进行了大量研究,提出了基于解析模型、基于信号处理和基于知识发现等故障诊断方法。基于解析模型的故障诊断方法通过将诊断对象的可测信息和模型表达的先验信息进行比较,产生残差,并对残差进行分析处理实现故障诊断,但是该方法的难点在于需建立系统的精确数学模型;基于信号处理的故障诊断方法根据系统可测量的信号(如相关函数、频谱、小波变换等)与故障源之间的关系,提取相关函数、高阶统计量、频谱的特征从而检测出故障;基于知识发现的故障诊断方法充分利用了专家知识,引入了对象的许多信息,将故障特征与故障类型相联系,但是知识发现方法往往不能精确地定量描述,且带有模糊性。在上述研究的基础上,本文通过对水泵故障机理的深入研究,找出水泵故障的特征量,并在此基础上建立了模糊Petri网故障诊断模型,在模型中引入BP算法对网络参数进行优化训练。整个诊断推理过程简明直观,具有较好的准确性、快速性和适应性。
Petri网以描述系统中各部分之间的关系为基础,用图形和解析式2种方法表达系统并列、次序发生的行为[3]。为了使Petri网的应用更具广泛性和适应性,可以将模糊理论与Petri网理论相结合。
定义1 单层单指向模糊Petri网 (FPN):
(1)
式中:P为一个所有库所的有限集合,P={pI1,pI2,…,pIm,po1,po2,…,pon}(m≥0,n≥0),其中{pI1,pI2,…,pIm}为输入库所的集合,{po1,po2,…,pon}为输出库所的集合;T为一个所有变迁的有限集合,T={t1,t2,…,tn}(n≥0),在单层单指向FPN中,变迁ti与输出库所poi(i=1,2,…,n)一一对应;C为命题的集合,C={c1,c2,…,cm},且|P|=|C|;I:P→T,为输入函数,若I(pIj,ti)=1,则从pIj到变迁 ti有一条有向弧,是变迁ti的输入弧,pIj为变迁ti的输入库所;O:T→P,为输出函数,若O(poi,ti)=1,则从变迁ti到poi有一条有向弧,是变迁ti的输出弧,poi为变迁ti的输出库所;M:P→[0,1],为网络中任一库所到其托肯值 M(pi)的映射;y:T→[0,1],为一个映射,赋予变迁ti的一个置信度y(ti)=μi;W为输入弧对应权值的集合,反映变迁触发对输入库所的影响程度,W={w1,w2,…,wm};S:T→[0,1],为变迁到其阈值λ的映射,S(ti)=λi;β:P→C,为一个映射,表示库所和命题之间一一对应的关系。
定义2 ∀ti∈T,若∀
,则称变迁ti是使能的、可触发的;否则,不可触发。对于输出库所的托肯值,有

(2)
式中wIj为库所pIj与变迁ti之间的弧上权值。
在FPN模型中,以每一个变迁为一个层次,在一个层次上,用神经网络中的BP算法来调整优化变迁的相关参数[4]。若FPN有n个变迁ti(i=1,2,…,n),则相应的共有n个输出库所poi ,设变迁ti的输入弧上的权值为wix(x=1,2,…,m),构造误差代价函数:
(3)
式中:k为样本的总个数;
(poi)分别为输出库所poi第l个样本的实际托肯值和期望托肯值。
在每一个层次上,求取一阶梯度:
(4)
(5)
(6)
求得一阶梯度后,对变迁ti的相关参数进行调整,设η为学习率,则参数调整增量公式如下:
(7)
(8)
(9)
3.1 水泵故障信号采集
3.1.1 井下排水设备状态监测系统
煤矿井下排水设备主要由离心式水泵、电动机、启动设备、仪表、管路及管路附件等组成。为了对排水设备的运行状态进行实时监测,分别在排水设备相应位置安装超声波液位计、压力表、流量计、真空度压力表、温度传感器、振动仪等,然后将采集的水仓水位、水泵出水压力、排水口流量、真空度、电动机绕组温度、轴承振动信号等上传到上位机软件进行实时显示[5-7]。井下排水设备状态监测系统结构如图1所示。

图1 井下排水设备状态监测系统结构
3.1.2 故障特征提取
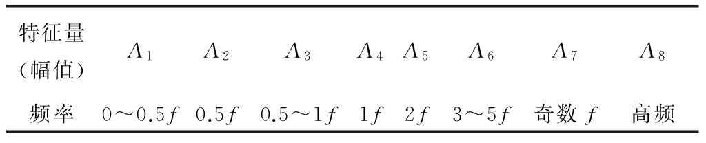
在构建的井下排水设备状态监测系统实验环境下,模拟转子不平衡、转子不对中、油膜振荡、油膜涡动、轴承对轴颈偏心、支承部件联接松动、轴裂纹和轴弯曲共8种水泵的常见故障类型,同时运行井下排水设备状态监测系统,实时记录多传感器的数据。将排水系统水泵的故障诊断转化为一个模式识别问题。针对每种故障在振动信号中具有特定频率分量的特点,为了体现故障的特征,可以选择表1所示的特征量作为水泵故障诊断的故障特征集[8-10],其中f为基频频率。A1为小于0.5倍频部分的最大幅值;A2为0.5倍频部分的最大幅值;A3为0.5~1倍频部分的最大幅值;A4为1倍频部分的最大幅值;A5为2倍频部分的最大幅值;A6为3~5倍频部分的最大幅值;A7为奇数倍频部分的最大幅值;A8为高频部分的最大幅值。
表1 水泵故障特征集

3.2 故障特征的隶属度函数
振动信号由振动分析虚拟仪器处理后得到的是幅值量,需要经过模糊处理得到适合Petri网输入特征的模糊值。用“振动大”作为表征幅值变化的模糊语言,根据水泵故障机理的分析和相关专家经验[11],选择升半柯西分布函数作为故障特征的隶属度函数,有

(10)
3.3 基于BP-FPN的水泵故障诊断模型建立
基于历史数据和专家经验的相关资料[11]并结合井下排水设备实时监控系统所得的实验数据,建立如图2所示的基于BP-FPN的水泵故障诊断模型,将故障特征值A1~A8经模糊逻辑处理后得到的uA1~uA8作为输入库所的托肯值M(pI1)~M(pI8),将转子不平衡、转子不对中、油膜振荡、油膜涡动、轴承对轴颈偏心、支承部件联接松动、轴裂纹和轴弯曲共8种常见的故障类型作为输出库所po1~po8,并依据专家经验确定相应的置信度μ、阈值λ和初始权值w。

图2 基于BP-FPN的水泵故障诊断模型
基于BP-FPN的水泵故障诊断模型网络学习训练步骤如下:
Step1:获取学习训练样本,确定模型中相关参数的初始值。
Step2:对于选取的学习训练样本数据,按式(2)计算实际输出托肯值。
Step3:按式(3)计算期望托肯值与实际输出托肯值的误差。
Step4:按式(4)—式(9)调整模型中的权值、阈值和置信度。
Step5:返回Step2,直到误差满足要求为止。
利用Matlab软件作为实验平台,依据反向递推算法,选取115组数据作为训练样本进行BP神经网络学习训练,对基于BP-FPN的水泵故障诊断模型中的相关参数进行调整优化。设误差允许值为0.001,网络训练误差曲线如图3所示。从图3可以看出,经过65次学习训练,误差值第1次达到误差允许值要求,因此,该训练方法能满足误差要求,且收敛速度较快。 然后选取20组水泵故障数据作为测试样本,采用修正后的相关参数进行故障诊断验证,故障诊断结果见表2。分析表2数据可知,该故障诊断模型的诊断结果与实际故障类型相符。

图3 网络训练误差曲线
表2 测试样本的故障诊断结果(部分)

将Petri网理论应用于井下水泵的故障诊断中,建立了基于Petri网和状态监测的井下水泵故障诊断模型。该模型先通过井下排水设备状态监测系统获得水泵故障的振动信号,再经过相关预处理获得故障诊断的特征向量,随后将模糊化的特征向量作为水泵故障诊断Petri网模型的输入;模型中引入BP算法对网络参数进行优化训练。实例验证了该模型具有较好的自适应性和准确性。
此外,还可以利用井下排水设备状态监测系统监测到的除振动信号以外的出水压力、出水流量、真空度等监测量,进一步提高水泵故障诊断的正确率,这将是未来研究的方向。
参考文献:
[1] 靳德武,刘其声,王琳,等.煤矿(床)水文地质学的研究现状及展望[J].煤田地质与勘探,2009,37(5):28-31.
[2] 叶立贞.中国煤炭百科全书[M].北京:煤炭工业出版社,1994.
[3] MU
OZ D M, CORRECHER A, GARC
A E. Stochastic DES fault diagnosis with coloured interpreted Petri nets[J].Mathematical Problems in Engineering,2015,2015(3):1-13.
[4] 鲍培明.基于BP网络的模糊Petri网的学习能力[J].计算机学报,2004,27(5):695-702.
[5] 李慧元,孙珂,冯晨,等.矿井主排水泵故障诊断中振动信号采集系统的设计[J].煤矿机械,2014,35(11):280-282.
[6] 李震.煤矿井下水泵性能分析状态监控与故障诊断系统研究与应用[D].北京:中国矿业大学(北京),2014.
[7] 黄倩, 黄强, 鲁远祥,等.基于LabVIEW的矿井排水装置故障监测系统的设计[J].工矿自动化,2011,37(5):8-11.
[8] 周东华,胡艳艳.动态系统的故障诊断技术[J].自动化学报,2009,35(6):748-758.
[9] 马洁,徐小力,周东华.旋转机械的故障预测方法综述[J]. 自动化仪表,2011,32(8):1-3.
[10] 吕自荟.水泵系统状态监测与故障诊断[D].哈尔滨:哈尔滨工业大学,2014.
[11] 黄福盛.给水泵状态监测与故障诊断系统的研究[D].重庆:重庆大学,2007.
GAO Zhengzhong, GONG Qunying, ZHAO Lina, XU Huanqi, XIAO Jiayi
(College of Electrical Engineering and Automation, Shandong University of Science and Technology, Qingdao 266590, China)
Abstract:In order to rapidly find out causes of failure of underground water pump, a fault diagnosis model of underground water pump based on fuzzy Petri net and condition monitoring was established. Firstly, vibration signal of the water pump was measured by the condition monitoring system of underground drainage equipment, training was carried out on the water pump fault samples after vibration analysis. Then, on the structure of fuzzy Petri net model of water pump fault diagnosis, BP algorithm of neural network was introduced to train parameters such as weight values, threshold values and credibility. The results of instances analysis show that the model can be used to find out the causes of pump failure accurately, and has good accuracy, rapidity and adaptability.
Key words:water pump; condition monitoring; fault diagnosis; fuzzy Petri net; BP algorithm
文章编号:1671-251X(2016)05-0028-04
DOI:10.13272/j.issn.1671-251x.2016.05.007
收稿日期:2015-12-16;
修回日期:2016-01-25;责任编辑:张强。
基金项目:中国博士后科学基金项目(2015T80729);青岛市博士后研究人员应用研究项目(2015190)。
作者简介:高正中(1971-),男,山东济宁人,副教授,博士,硕士研究生导师,研究方向为分布式检测技术、矿山安全检测等,E-mail:skdgzz@163.com。通信信者:龚群英(1991-),女,山东临沂人,硕士研究生,研究方向为电力系统及其自动化,E-mail:1554336852@qq.com。
中图分类号:TD442
文献标志码:A 网络出版时间:2016-04-29 11:19
高正中,龚群英,赵丽娜,等.基于模糊Petri网和状态监测的井下水泵故障诊断[J].工矿自动化,2016,42(5):28-31.