张法全, 周强, 王国富, 叶金才
(桂林电子科技大学 信息与通信学院, 广西 桂林 541004)
摘要:针对现有锚杆长度测量方法存在信号耦合复杂和测量长度受限问题,提出了一种基于半波偶极子天线的金属锚杆长度无损测量方法。将一根金属参考线作为半波偶极子天线的一臂,与单根金属锚杆一起等效为半波偶极子天线;采用HFSS软件分析了非对称半波偶极子天线对谐振频率的影响,提出通过频率扫描方式来寻找天线谐振频率;根据半波偶极子天线谐振时天线长度与信号波长的关系,由天线谐振频率和金属参考线长度求得锚杆长度。实际测试结果表明,该方法测量长度大于10 m,测量误差小于5%。
关键词:金属锚杆; 无损测量; 半波偶极子天线
网络出版地址:http://www.cnki.net/kcms/detail/32.1627.TP.20160429.1118.006.html
锚杆支护作为围岩的一种加固技术,已成为煤矿巷道首选的、安全高效的支护方式。锚杆锚固工程不但具有复杂性,还具有高度的隐蔽性,发现质量问题难,事故处理更难。锚杆长度检测是整个锚杆锚固工程中不可缺少的环节。提高锚杆长度检测工作的质量和检测评定结果的可靠性,有利于确保锚固工作的质量与安全[1]。
目前国内外锚杆长度检测方法主要是声频应力波反射法。该方法基于一维杆件的弹性振动理论,锚杆始端受到激励后会产生纵向应力波,应力波沿杆体传播过程中遇到不连续的界面和杆底面时产生反射波,通过分析反射波的走时、相位特征和能量衰减变化规律,可以判断锚杆长度[2]。该方法主要存在2个问题:① 声波衰减严重,当锚杆较长时,现场获得的波形数据质量不高,经常会出现错判和漏判现象,通常只能有效测量较短的锚杆[3];② 对锚杆端头要求苛刻,需要现场将锚杆端头打磨平整,才能将声波耦合进杆体[4]。
本文提出了一种基于半波偶极子天线的金属锚杆长度无损测量方法。该方法测量信号为电磁波,信号在传播过程中衰减小,能够实现无损测量,耦合方便,当电磁波频率为0~100 MHz时,理论上可以测量大于0.75 m的任何锚杆长度。
1.1 金属锚杆与天线等效关系
半波偶极子天线由2根金属臂构成。将一根金属参考线作为天线的一臂,与单根金属锚杆一起等效为半波偶极子天线,如图1所示,测量信号从馈源进入天线,I为天线中的电流。这也表明了金属锚杆与天线的等效关系,奠定了采用半波偶极子天线理论来测量金属锚杆长度的理论基础[5-6]。

图1 半波偶极子天线等效示意
1.2 半波偶极子天线谐振频率
根据基本的传输线理论,天线的输入阻抗一般同时包括实部与虚部。当天线的输入电抗为零时,天线发生谐振,此时天线输入端回波损耗与电压驻波比都为最小。电压驻波比为[7]
(1)
式中:Umax为波腹点电压;Umin为波节点电压。
将半波偶极子天线作为整个金属锚杆长度无损测量系统的负载,金属锚杆长度和金属参考线长度固定,因此天线谐振频率为固定值。本文采用频率扫描方式来查找天线谐振频率,以等时间间隔、频率递增的方式产生天线激励信号,检测天线输入端每个频率对应的电压驻波比,最小电压驻波比对应的频率即为天线的谐振频率。
1.3 金属锚杆长度测量方法
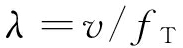
依据对称半波偶极子天线理论(式(2))得出电磁波波长λ与天线总长度lt的关系:
(2)
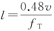
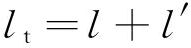
通过式(3)可得出金属锚杆长度l、金属参考线长度l′与天线总长度lt的关系:
(3)
将式(2)、式(3)及天线谐振频率fT代入式(4),可推导出被测金属锚杆长度公式(式(5))。
(4)
(5)
式中v为电磁波在金属锚杆中的传播速度。
常用的半波偶极子天线模型由2根直径和长度相等的直导线组成,每根导线的长度为电磁波波长的1/4,导线的直径远小于工作波长。
由于金属参考线长度与金属锚杆长度不一定相等,这样将构成不对称半波偶极子天线。不对称半波偶极子天线理论非常复杂,不利于研究。如果不对称半波偶极子天线对谐振频率的影响在误差范围以内,就可用对称半波偶极子天线理论代替使用,反之则需要对式(5)进行相应误差补偿,以提高测量精度。这里采用基于电磁场有限元法的全波三维电磁仿真软件HFSS来分析不对称半波偶极子天线对谐振频率的影响。
2.1 HFSS仿真模型参数设置
天线仿真参数设置见表1。天线总长度固定,通过改变天线长度变化量Δl来改变天线两臂的长度,Δl范围为[-1 500,2 000],步长为500,单位为mm,天线的材质为铜。端口激励方式设置为集总端口激励,以矩形平面形式将天线的2个臂连接起来。辐射边界条件设置为圆柱体模型,其材质为空气,辐射边界和天线之间的距离为电磁波波长的1/4。
表1 天线仿真参数设置

2.2 HFSS仿真波形及数据
依据变量Δl设置,生成如图2所示的回波损耗曲线,回波损耗最小值对应的频率点即为天线谐振频率点。当Δl=0时,对应的频率值即为对称半波偶极子天线的谐振频率[8]。

图2 天线回波损耗曲线
变量Δl值、对应谐振频率fT值、不对称半波偶极子天线相对对称半波偶极子天线谐振频率偏移量ΔfT值见表2。
表2 变量Δl值与对应谐振频率值

由表2可知,不对称半波偶极子天线会影响天线谐振频率,但影响很小,当天线不对称长度|Δl|<2 m时,|ΔfT|<0.03 MHz。
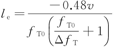
2.3 谐振频率偏移引入的误差
根据式(5)可推导出不对称半波偶极子天线引入的锚杆长度测量误差:

(6)
式中fT0为对称半波偶极子天线的谐振频率。
由式(2)、式(4)、式(6)可知,被测锚杆越短,谐振频率fT0越大,锚杆长度测量误差le越小。为了测量更精确,一般采用算术平均方式求得测量误差平均值:
(7)
式中:n为测量次数;lei为每次测量的锚杆长度误差。
当被测金属锚杆长度l<12 m时,由表2可知,v=3×108m/s时,通过式(7)可求得锚杆长度测量平均误差
e<0.083×10-6m,因此完全可以用对称半波偶极子天线理论来代替不对称半波偶极子天线理论进行计算。
笔者对基于半波偶极子天线的金属锚杆长度无损测量方法分别进行了室外模拟测试和煤矿井下实际测试。室外模拟测试采用铜芯线代替金属锚杆进行测量;煤矿井下实际测试是对φ18 mm,长度分别为3,4,5,6 m的支护锚杆进行测量。最后分析2种测量结果,以验证该方法的有效性。
3.1 室外模拟测试
首先,用一根长度为l1的金属参考线和一根已知长度为l2的铜芯线测量电磁波在天线中的实际传播速度:
(8)
式中fT1为本次测量的天线谐振频率。
图3为l1=5 m,l2=5 m时电压驻波比与频率关系曲线。电压驻波比最小值点对应谐振频率fT1。

图3 l1=5 m,l2=5 m时电压驻波比与频率关系曲线
根据式(8)可求出电磁波在天线中的传播速度v=2.2×108 m/s。
其次,用长度为l3=10 m的金属参考线与被测铜芯线(被测铜芯线实际长度l4=7.5 m)进行测量。图4为测得的电压驻波比与频率关系曲线。
根据式(5)可求出被测铜芯线长度
-l3=7.39 m。同时可求出相对误差为
。

图4 l3=10 m时电压驻波比与频率关系曲线
表3为7~13 m的铜芯线室外模拟测量数据。
表3 室外模拟测量数据

3.2 煤矿井下实际测试
为进一步验证本文方法的有效性,在右江矿务局州景煤矿巷道进行了实测。试验巷道为回风巷,地质为砂质泥岩,回风巷掘进断面呈直墙半圆拱形,宽4.2 m,墙高1.3 m,掘进断面积为11.1 m2,巷道埋深350~400 m。
巷道支护锚杆为φ18 mm左旋无纵筋螺纹钢,锚杆长度分别为3,4,5,6 m,采用W型钢护板与钢筋网、菱形金属网护表,锚杆全部垂直巷道表面安装。每排锚杆间距为900 mm。顶板每排有7根锚杆,间距为850 mm;每排每帮有2根锚杆,间距为600 mm。
使用已知长度为5 m的支护锚杆与5 m长铜芯线对电磁波的实际传播速度v0进行校准,然后分别对长度为3,4,5,6 m的支护锚杆进行多次重复测量,测量数据见表4。
表4 井下实测数据

由表3和表4可知,无论是室外模拟测试还是煤矿井下实际测试,基于半波偶极子天线的金属锚杆长度无损测量方法的相对误差能够稳定在5%以内。当应用环境发生变化时,锚杆周围介质及环境的变化将体现在电磁波在锚杆中的传播速度变化上,从而减小因测量环境变化引起的误差,便于在工程测量中应用。
基于半波偶极子天线的金属锚杆长度无损测量方法通过添加金属参考线,将单根金属锚杆等效为半波偶极子天线,采用对称半波偶极子天线理论来测量金属锚杆的长度。实际测试证实该方法能够实现无损测量,测量长度大于10 m,且误差能够控制在5%以内。下一步将研究如何补偿用对称半波偶极子天线理论代替不对称半波偶极子天线理论引入的误差。
参考文献:
[1] 康红普.煤矿预应力锚杆支护技术的发展与应用[J].煤矿开采,2011,16(3):25-30.
[2] 韦四江,勾攀峰.锚杆预紧力对锚固体强度强化的模拟实验研究[J].煤炭学报,2012,37(12):1987-1993.
[3] 张胜利,张昌锁,王银涛.锚杆锚固质量无损检测方法分析[J].煤矿安全,2014,45(5):212-215.
[4] 石建军,刘洪涛,马念杰.高强度金属锚杆力学性能试验研究[J].煤炭工程,2011(3):102-104.
[5] 张小波,吴银成,孙志飞,等.一种矿用锚杆(索)长度无损测量方法[J].工矿自动化,2015,41(1):76-79.
[6] 徐钊,房咪咪,周红伟,等.基于电驻波的锚杆长度无损测量方法[J].工矿自动化,2013,39(9):112-115.
[7] KIM J H,LEE B S,PARK C B,et al.Efficient two dipole antenna alignment in near-field region[J].Microwave and Optical Technology Letters,2015,57(4):933-937.
[8] 李明洋.HFSS天线设计[M].北京:电子工业出版社,2011.
ZHANG Faquan, ZHOU Qiang, WANG Guofu, YE Jincai
(School of Information and Communication, Guilin University of Electronic Technology, Guilin 541004, China)
Abstract:For problems of complex signal coupling and limited measuring length existed in non-destructive measurement methods at present, a non-destructive measurement method of metal anchor pole length was proposed based on half wave dipole antenna theory. A half wave dipole antenna is equaled by a metal reference wire as an arm and a single metal anchor pole as the other one. Influence of asymmetric half wave dipole antenna on the antenna resonant frequency is analyzed by HFSS software analyzes, and frequency scanning method is used to find the antenna resonant frequency. The metal anchor pole length is calculated by use of the antenna resonant frequency and the metal reference wire length according to relationship between antenna length and signal wavelength when the half wave dipole antenna resonances. The test results show that measurement length of the method is more than 10 m and measurement error is less than 5%.
Key words:metal anchor pole; non-destructive measurement; half wave dipole antenna
文章编号:1671-251X(2016)05-0024-04
DOI:10.13272/j.issn.1671-251x.2016.05.006
收稿日期:2015-07-08;
修回日期:2016-03-14;责任编辑:李明。
基金项目:国家自然科学基金资助项目(613620620);广西自然科学基金资助项目(2013GXNSFAA019327,2013GXNSFFA019004);桂林电子科技大学研究生教育创新计划资助项目(GDYCSZ201461)。
作者简介:张法全(1969-),男,河南林州人,副教授,博士,主要研究方向为机器视觉、信号处理与模式识别,E-mail:zhangfq@guet.edu.cn。
中图分类号:TD353
文献标志码:A 网络出版时间:2016-04-29 11:18
张法全, 周强, 王国富,等.一种金属锚杆长度无损测量方法[J].工矿自动化,2016,42(5):24-27.