张廷忠1, 马鸿宇1, 石曼曼2, 孙一迪1
(1.中国矿业大学 信息与电气工程学院, 江苏 徐州 221008;
2.南京邮电大学 理学院, 江苏 南京 210046)
摘要:在分析自回归模型的基础上,研究了Yule Walker,Burg和Covariance三种参数谱估计方法的检测原理,提出了一种改进 Covariance方法。在Matlab仿真平台上,采用4种参数谱估计方法对谐波、间谐波、次谐波进行检测。仿真结果表明,参数谱估计方法不仅能检测整数次谐波,对间谐波和次谐波也有很好的检测效果,其中Burg方法和改进 Covariance方法谐波检测效果最好。
关键词:谐波检测; 参数谱估计; 自回归模型
随着电力系统中非线性负载和时变负载的广泛使用,电能质量尤其是谐波问题日益严重。电力系统中的谐波会引起电能损失、过电压及电压不平衡、电压闪变、延时、误操作等问题[1-4]。目前,用来检测谐波、间谐波和次谐波的方法主要有小波变换算法[2,5-6]、快速傅里叶变换算法、谱估计方法[7-10]等。小波变换算法可以有效地检测非平稳的谐波信号,但是存在小波基选择问题,同时对噪声敏感。快速傅里叶变换算法由于其独特的优点而被广泛应用,但是当基波频率变动时,会导致非同步采样,引起严重的频谱泄露问题,同时谐波之间的相互影响也会严重降低谐波和非整数次谐波的检测精度。
本文分析了AR(自回归)模型,深入研究了Yule Walker,Burg和Covariance这3种参数谱估计方法的原理,并提出了一种改进Covariance检测方法。利用计算机对4种参数谱估计方法进行仿真,结果表明,参数谱估计方法对谐波、间谐波、次谐波具有很好的检测效果。
参数谱估计方法的原理是用参数模型来逼近真实,其在信号频谱分析上具有很大优势。AR模型、MA(滑动平均)模型和ARMA(自回归滑动平均)模型[11] 是3种常用的参数模型,其中AR模型不需要对非线性方程求解,只需要对AR参数进行估计,因此,计算过程相对简单。此外,无论是在功率谱分辨率上还是平滑性上,AR模型都表现良好,因而应用广泛。
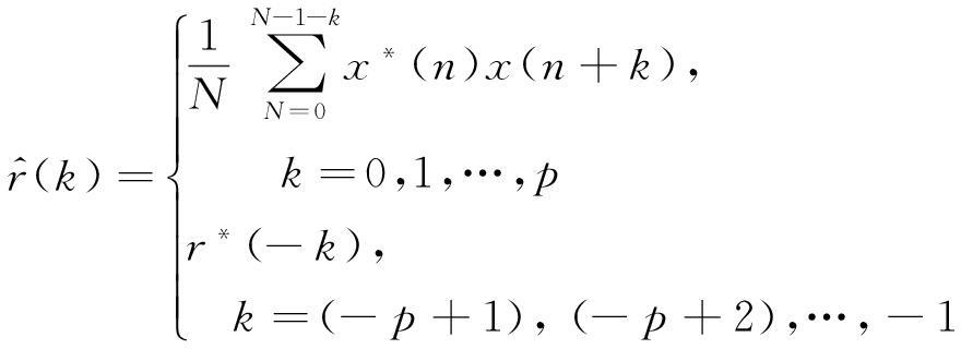
对电网系统中的连续信号进行采样,获得一个离散信号序列x(n),n=1,2,…,N(N为采样点数),在AR模型中,用式(1)表示该序列:
(1)
式中:p为AR模型的阶次;ak为AR模型参数,k=1,2,…,p;e(n)为白噪声序列。
由式(1)可知,将激励的现在值和多次过去值通过加权线性组合之后,可得到采样序列的现在值。因此,也可以把离散信号序列的第n个值看作是之前有限个过去值线性组合的预测结果。
根据随机信号功率谱密度的定义可以直接得到x(n)的功率谱公式[8,12-13]:

(2)
式中σ2为白噪声序列e(n)的方差。
由式(2)可以看出,只要得到AR模型参数(σ2和a1,a2,…,ak),即可求出所分析信号的功率谱P(f)。
2.1 Yule Walker 方法
Yule Walker方法的AR模型参数通过预测误差估计值最小原理得到,方差估计值
为
(3)
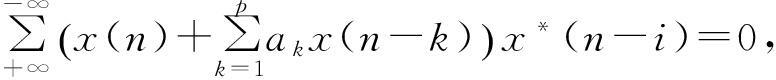
由于白噪声序列的长度大于x(n)的长度,将无法观测到的采样点的采样值看成是0。预测误差功率的最小估计值通过模型参数ak的实部和虚部加以区分,可以利用复梯度法[14-15]得到:
![]()
![]()
i=1,2,…,p
(4)
式(4)也可以通过自相关函数估计
(k)给出,即
(5)
其中:

(6)
联立式(5)和式(6)可以估计AR模型的参数:
(7)
白噪声方差估计值通过式(8)计算:
(8)
利用Yule Walker方法可得功率谱密度估计为

(9)
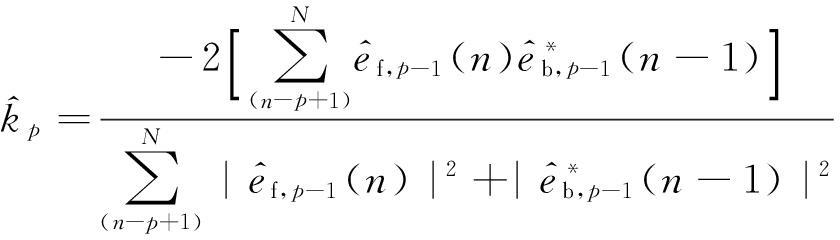
2.2 Burg 方法
Burg方法利用前向、后向预测误差平均功率最小准则和反射系数对模型参数进行估计。先估计反射系数,再用Levinson 递推公式依次求取AR模型参数。
第p阶模型的前向、后向预测误差分别为
(10)
(11)
与反射系数
p相关的AR模型参数为

(12)
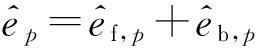
为了使前向和后向预测误差
f,p和
b,p的平均功率最小,对其求偏导,得到反射系数
p:

(13)
各阶预测误差
f,p和
由Levinson递推公式求出,即
(14)
(15)
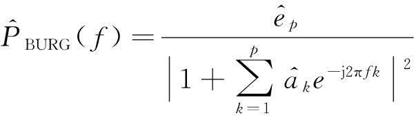
通过式(14)和(15)求得前向、后向预测误差,再由式(13)估计出反射系数,将反射系数代入式(12)求出AR参数,最终可得Burg方法功率谱:

(16)
式中
,是总体最小二乘误差。
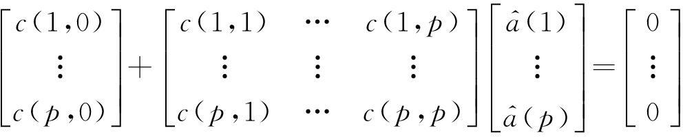
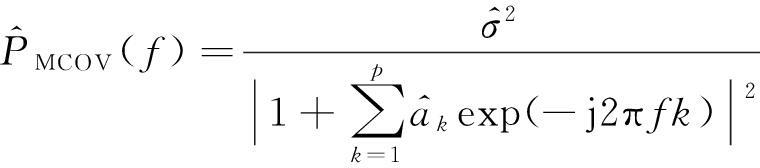
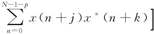
2.3 Covariance方法
Covariance方法与Burg方法最主要的区别在于预测误差功率求和式的上下限不同。在Covariance方法中,预测误差功率的求和式的区间为[p,N-1]。利用复梯度方法使预测误差功率达到最小,可得

(17)
其中:
![]()
(18)
将式(17)表示为
,可得到AR模型参数的估计值:
(19)
白噪声方差估计值由式(20)估计:
(20)
通过上面的计算可得Covariance方法的功率谱:

(21)
2.4 改进Covariance方法
改进Covariance方法是基于前向、后向预测误差平均功率最小准则,其AR模型参数估计矩阵计算与Covariance方法相同,只是自相关估计值计算方法不同,在改进Covariance方法中,自相关估计值为
(22)
AR模型参数
和白噪声方差
2估计与Covariance方法相同,因而有

(23)
为了验证4种功率谱估计方法的正确性,在Matlab中对4个谐波样本进行谐波分析,采样频率和时间窗口分别为10 kHz和200 ms。
4个谐波样本A1—A4的具体表达式如下:
A1=100sin(2π×50t)+18sin(2π×250t)+
12sin(2π×350t)
(24)
A2=100sin(2π×50t)+11sin(2π×30t)+
4sin(2π×150t)
(25)
A3=100sin(2π×50t)+12sin(2π×150t)+
6sin(2π×250t)+8sin(2π×350t)+
5sin(2π×450t)+2sin(2π×26t)+
4sin(2π×180t)+5sin(2π×230t)
(26)
A4=100sin(2π×50t)+10sin(2π×40t)+
8sin(2π×18t)
(27)
A1—A4的波形如图1所示,其中纵坐标M为幅值。

图1 4种谐波波形
利用4种谐波分析方法,对谐波样本A1—A4进行仿真,仿真结果如图2—图5所示,其中纵坐标PSD表示功率谱估计。
样本A1中包含基波、5次谐波和7次谐波。从图2可以发现,4种方法均能有效检测原始信号。
样本A2中包含基波、3次谐波和30 Hz次谐波。从图3可以发现,Yule Walker方法只能检测基波和3次谐波成分,其他3种方法均可以有效检测原始信号。

图2 A1的参数谱估计

图3 A2的参数谱估计

图4 A3的参数谱估计
样本A3中包含基波、3次谐波、5次谐波、7次谐波、9次谐波、26 Hz次谐波、180 Hz间谐波、230 Hz间谐波。从图4可以发现,Yule Walker方法没有检测到26 Hz次谐波,而对其他整数次谐波和间谐波都有很好的检测效果;Burg、Covariance 和改进 Covariance方法对各种次谐波都可以检测。

图5 A4的参数谱估计
样本A4中包含基波、40 Hz次谐波、18 Hz次谐波。从图5的仿真结果可以看出,Yule Walker方法只能检测出基波成分,不能检测40 Hz次谐波和18 Hz次谐波,Covariance方法在检测中出现了错误,Burg和改进 Covariance方法对谐波样本均能很好检测。
综合4种参数谱估计方法的仿真结果可以发现,整数次谐波最容易被有效检测,尤其是3,5,7次这些在电力系统中危害较大的谐波;另外,间谐波也比较容易检测,而次谐波的检测难度较大。
对4种参数谱估计方法进行了分析和仿真,仿真结果表明,参数谱估计方法能够很好地检测整数次谐波、间谐波以及次谐波。其中Burg方法和改进Covariance方法对谐波检测效果最好,其次是Covariance方法。随着电力系统的不断发展,参数谱估计方法在谐波检测中的作用将更加明显。
参考文献:
[1] 熊杰锋,李群,袁晓冬,等.电力系统谐波和间谐波检测方法综述[J].电力系统自动化,2013,37(11):125-133.
[2] 周龙华,付青,余世杰,等.基于小波变换的谐波检测技术[J].电力系统及其自动化学报,2010,22(1):80-85.
[3] 陈飞.电力参数监测装置及算法的研究与改进[D].南京:河海大学,2006.
[4] 周强强.新型电能质量监测装置的研究[D].保定:华北电力大学(河北),2005.
[5] 周林,夏雪,万蕴杰,等.基于小波变换的谐波测量方法综述[J].电工技术学报,2006,21(9):67-74.
[6] 李涛,夏浪,张宇,等.基于提升复小波的暂态电能质量扰动的检测与定位[J].中国电机工程学报,2011,31(25):66-72.
[7] 唐斐.基于空间谱估计算法的间谐波频谱分析[D]. 兰州:兰州理工大学,2012.
[8] YILMAZ A S, ALKAN A, ASYALI M H. Applications of parametric spectral estimation methods on detection of power system harmonics [J]. Electric Power Systems Research,2008,78(4):683-693.
[9] 郭成,李群湛,贺建闽,等.电网谐波与间谐波检测的分段Prony算法[J].电网技术,2010(3):21-25.
[10] BRACALE A,CARAMIA P,CARPINELLI G. Adaptive Prony method for waveform distortion detection in power systems[J]. International Journal of Electrical Power & Energy Systems,2007,29(5):371-379.
[11] 汪超.基于AR模型与Kalman滤波算法的电力系统间谐波检测方法研究[D].哈尔滨:哈尔滨工业大学,2011.
[12] 李冬海.频谱估计理论与应用[M].西安:西安电子科技大学出版社,2014.
[13] 王永良, 陈辉,彭应宁,等.空间谱估计理论与算法[M].北京:清华大学出版社,2004.
[14] 姜彬.基于Armijo搜索的谱共轭梯度法研究[D].太原:太原科技大学,2013.
[15] 蒋章,邓艾东,蔡宾宏.基于梯度法的自适应广义形态滤波在碰摩声发射信号降噪中的应用[J].中国电机工程学报,2011,31(8):87-92.
ZHANG Tingzhong1, MA Hongyu1, SHI Manman2, SUN Yidi1
(1.School of Information and Electrical Engineering, China University of Mining and Technology,Xuzhou 221008, China;2.College of Science, Nanjing University of Posts and Telecommunications, Nanjing 210046, China)
Abstract:Three parametric spectral estimation methods including Yule Walker, Burg and Covariance were studied and an improved Covariance method was proposed based on analysis of AR model. The four kinds of parametric spectral estimation method were used for harmonics, inter-harmonics, and sub-harmonic detection on Matlab simulation platform. The simulation results show that the parametric spectral estimation method can detect not only integer harmonics, but also has good detection effect on inter-harmonics and sub-harmonics, and Burg and improved Covariance method have the best detection effect.
Key words:harmonics detection; parametric spectral estimation; AR model
中图分类号:TD609
文献标志码:A 网络出版时间:2016-03-07 15:21
作者简介:张廷忠(1991-),男,山东滨州人,硕士研究生,研究方向为无功补偿和谐波治理,E-mail:513553268@qq.com。
收稿日期:2015-11-23;修回日期:2016-01-05;责任编辑:胡娴。
文章编号:1671-251X(2016)03-0060-05
DOI:10.13272/j.issn.1671-251x.2016.03.014
网络出版地址:http://www.cnki.net/kcms/detail/32.1627.TP.20160307.1521.014.html
张廷忠,马鸿宇,石曼曼,等.基于参数谱估计方法的谐波检测研究[J].工矿自动化,2016,42(3):60-64.