樊英杰1,2, 张开如1,2, 狄东照1,2, 顾华利1,2, 韩璐1,2
(1.山东科技大学 电气与自动化工程学院, 山东 青岛 266590;
2.山东科技大学 矿山灾害预防控制省部共建国家重点实验室培养基地, 山东 青岛 266590)
摘要:针对目前小型无线充电设备的传输效率随发射端和接收端距离的变化而波动的问题,根据无线能量传输系统数学模型,分析了频率分裂的相关因素。在发生频率分裂时不改变谐振频率和阻抗参数的条件下,通过调整两谐振线圈的径向距离来削弱两线圈的互感系数,从而抑制频率分裂现象,提高传输效率。最后搭建了小型谐振器无线电能传输系统实验平台。实验结果表明,该系统可成功对负载进行充电,具有良好的传输性能,适用于小型无线能量传输设备。
关键词:小型谐振器; 无线电能传输; 频率分裂; 径向距离
无线电能传输技术是一种借助于空间无形软介质如电场、磁场等实现将电能由电源端传递至用电设备的一种传输模式,实现了电源和用电设备的完全隔离[1]。无线电能传输技术可以用于一些不方便拖带电线的场合以及矿井、太阳能空间站等不能引起电火花的极端环境[2]。2007年美国麻省理工学院在中等距离无线传输方面取得了新的进展,在2 m开外的地方成功点亮了60 W的灯泡,其效率达到了40%[3]。目前无线电能传输包括电磁感应耦合方式、非辐射磁谐振耦合方式、基于微波辐射的传输方式等3种基本方式。电磁感应耦合方式传输功率大但距离近(毫米级);微波辐射传输距离远但不能绕过障碍物,因此传输效率低下;非辐射磁谐振耦合方式利用2个或2个以上具有相同固有频率的电磁系统之间的强耦合来实现中等距离能量传输,该方法可在数米内实现无线充电,即使是存在非磁性障碍物的条件下也能高效传输[4]。参考文献[5]根据耦合模型理论解释了磁耦合谐振无线能量系统传输规律,指出两谐振线圈在谐振状态时能量是相互传递的。参考文献[6]介绍了3种抑制频率分裂的方法,即频率跟踪法、负载匹配法、降低互感系数法。参考文献[7]证明了调整两线圈中任意一方的偏移角度或径向距离可以削弱互感系数。本文根据无线电能传输的数学模型,设计了小型谐振器无线电能传输系统实验电路,在频率发生分裂时,通过调整两线圈之间的径向距离来抑制频率分裂现象,提高传输效率。
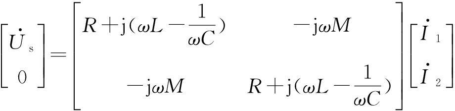
忽略集肤效应和邻近效应的无线电能传输等效电路如图1(a)所示。其中Us,R1为交流电压源和等效阻抗;R2,R3为发射绕组与接收绕组的损耗电阻和辐射电阻之和;R4为负载等效阻抗;C1,C2为发射绕组与接收绕组外接谐振电容;M12为互感系数;两回路电流为I1,I2。根据电路基本原理,等效电路左右两侧参数对称时能够实现能量最大传输效率。设R1+R2=R3+R4=R,L2=L3=L,C1=C2,M12=M,则无线电能传输电路可简化为图1(b)所示。

图1 无线传输模型
根据基尔霍夫电压定律(KVL)可得

(1)
解式(1)所示矩阵方程可得

(2)
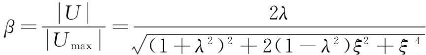
式中:ξ为角频率偏移的程度,ξ=Q(ω/ω0-ω0/ω),Q为品质因数,ω为发射频率,ω0为主谐振频率;λ为耦合因数,表示两谐振线圈的耦合程度,λ=ωM/R。
接收线圈接收到的电压模值为
![]()
(3)
对接收线圈接收到的电压模值求ξ偏导数可以解得ξ1=0,ξ2=sqrt(λ2-1),ξ3=-sqrt(λ2-1)。在这3个极值点处取得极值,即|Umax|=|Us|/2。令接收线圈归一化电压β为
(4)
由式(4)可得到接收线圈归一化电压频率响应3D图,如图2所示。

图2 归一化电压频率响应3D图
由图2可知,当λ<1时,两线圈处于欠耦合状态,即谐振线圈之间的距离较远。随着λ的增大,β也随之增大且在主谐振频率ω0处即ξ=0时有最大值。此时两线圈之间的磁场为远场传播,在两线圈距离较远的情况下,部分电磁产生铰链,因此,在欠耦合范围内传输效率较低。当λ=1时,两线圈处于临界耦合状态,此时β在主谐振频率处有最大值。两线圈在临界距离的情况下,几乎所有电磁都产生铰链,因此,在临界耦合范围内传输效率高。当λ>1时,两线圈处于过耦合状态,即谐振线圈之间的距离较近。此时在主谐振频率ω0处出现β极小值,在其两侧出现2个与从谐振频率对应的相等的极大值,且λ越大,从谐振频率离主谐振频率越远。
由以上分析可知,λ的值对系统传输效率有直接影响。根据表达式λ=ωM/R,可以看出λ与ω,M和R有关。在发生频率分裂时,可以通过调节ω,M和R使λ减小,从而削弱频率分裂。但采用频率跟踪来增大频率,对电力电子器件提出了较高要求,若采用频率跟踪来减小频率,则会导致单位时间内的功率下降,即功率传输速率下降。对于小型嵌入式谐振设备而言,负载匹配难以进行。因此,本文通过改变两线圈的径向距离来削弱互感系数,削弱由频率分裂现象引起传输效率低的问题。
为验证理论分析的正确性,搭建了小型谐振器无线电能传输系统,如图3所示。

(a) 系统原理

(b) 系统实物
图3 小型谐振器无线电能传输系统
直流电压经过逆变后产生交流电,通过发射端将电能转化为电磁能,接收端再将电磁能转化为电能,经过整流稳压电路可成功给负载供电。实验采用LP系列11.9 V直流稳压电源,高频逆变电路采用MOSFET作为开关管;发送端和接收端两线圈均为0.17 mm的用漆包线绕制的线圈,电感值为10 μH,线圈直径均为43 mm;串联谐振电容为400 μF。忽略线圈中杂散和分布电容,实验电路工作频率约为486 kHz。接收端采用W7805稳压芯片,输出直流电为5 V,稳压后的直流电压波形如图4所示。

图4 直流电压波形
由图4可知,负载接收端电压为5.11 V,其理论值为5 V,实验结果与理论分析结果基本一致。将两线圈由远到近移动,从轴向距离55 mm移到15 mm,每隔5 mm采样一次接收线圈得到的峰值电压,如图5所示。

图5 不同轴向距离下对应的接收线圈电压峰值
由图5可知,两线圈之间的距离为25 mm时,接收线圈电压峰值最大,忽略误差因素,两谐振线圈间的临界距离约为25 mm,此时接收线圈的电压波形如图6所示。
图6中每格表示5 V,峰值电压为15.32 V。两线圈距离大于25 mm时,随着距离的增大,接收线圈电压峰值逐渐减小,因此,在欠耦合范围内保持两线圈同轴,使互感系数为最大值;两线圈距离小于25 mm时,接收线圈电压峰值开始下降,因此,可通过调整径向距离、减小互感系数来削弱频率分裂。两线圈径向距离如图7所示。

图6 接收线圈电压波形

图7 两线圈径向距离
分别在两线圈轴向距离为15 mm和25 mm时,进行径向距离的调整,每隔3 mm测量1次数值。在过耦合范围内,各径向距离所对应的接收端电压峰值如图8所示。

图8 各径向距离对应的接收线圈电压峰值
由图8可知,在过耦合范围为15 mm时,接收线圈电压先增大,在径向距离为9 mm时,接收线圈电压达到最大值;若继续增大径向距离,则接收线圈电压不断减小。因此,在过耦合范围内,λ>1时,通过调整径向距离可以减小互感系数M从而削弱λ,使系统逐渐退出过耦合范围,接收线圈电压升高;若径向距离过大,则会导致λ过小,接收线圈电压降低,相当于欠耦合状态。在临界耦合范围为25 mm时,接收线圈电压不断减小,使系统直接从临界耦合进入欠耦合状态。由以上分析可知,当两线圈在过耦合范围时,可通过调整两线圈之间的径向距离来削弱λ值,抑制频率分裂现象,提高接收线圈的峰值电压。
分析了无线充电模型,从理论上证明可以通过改变两线圈的径向距离来削弱互感系数,从而削弱由频率分裂现象引起传输效率低的问题;设计了相应的实验电路,并搭建了小型谐振器无线电能传输系统实验平台,验证了理论分析的正确性。实验结果表明,该系统成功对负载进行充电,具有良好的传输性能。
参考文献:
[1] 张献,杨庆新,陈海燕, 等. 电磁耦合谐振式传能系统的频率分裂特性研究[J].中国电机工程学报,2012,32(9):167-173.
[2] 黄学良,谭琳琳,陈中,等.无线电能传输技术研究与应用综述[J].电工技术学报,2013,28(10):1-11.
[3] 杨庆新,陈海燕,徐桂芝,等.无接触电能传输技术的研究进展[J]. 电工技术学报, 2010, 25(7): 6-13.
[4] 李阳,杨庆新,闫卓,等.磁耦合谐振式无线电能传输系统的频率特性[J].电机与控制学报,2012,16(7):7-11.
[5] 李岳,张强,徐晨洋,等.基于耦合模理论的磁耦合谐振无线传输分析[J].电力电子技术,2015,49(10):55-57.
[6] 赵争鸣,张艺明,陈凯楠.磁耦合谐振式无线电能传输技术新进展[J].中国电机工程学报,2013,33(3):1-13.
[7] 刘修泉,曾昭瑞,黄平.空心线圈电感的计算与实验分析[J].工程设计学报,2008,15(2):149-153.
FAN Yingjie1,2, ZHANG Kairu1,2, DI Dongzhao1,2, GU Huali1,2, HAN Lu1,2
(1.College of Electrical Engineering and Automation, Shandong University of Science and Technology, Qingdao 266590, China2.State Key Laboratory of Mining Disaster Prevention and Control Co-founded by Shandong Province and the Ministry, Shandong University of Science and Technology, Qingdao 266590, China)
Abstract:In view of the problem that transmission efficiency of small wireless charging devices changes with distance between transmitter and receiver, relevant factors of frequency splitting were analyzed according to mathematic model of wireless energy transmission system. Under the condition that resonant frequency and impedance parameters do not change when frequency splitting occurs, mutual inductance of two resonance coils can be reduced by adjusting radial distance of the two coils, so as to inhibiting frequency splitting phenomenon and improve transmission efficiency. Finally, experiments platform of wireless power transmission system of small size resonator was set up, and the experimental results show that the system can successfully charge the load with good transmission performance, which is suitable for small wireless energy transmission equipment.
Key words:small size resonator; wireless power transmission; frequency splitting; radial distance
中图分类号:TD655.3
文献标志码:A 网络出版时间:2016-03-07 15:18
作者简介:樊英杰(1990-),男,山东日照人,硕士研究生,研究方向为控制理论与控制工程,E-mail:770650635@qq.com。
基金项目:国家(中国-南非)科技合作项目(CS06-L02);“十二五”国家科技支撑计划项目(2012BAB13B04);山东科技大学研究生创新基金项目(YC140211)。
收稿日期:2015-11-30;修回日期:2016-01-12;责任编辑:胡娴。
文章编号:1671-251X(2016)03-0048-04
DOI:10.13272/j.issn.1671-251x.2016.03.011
网络出版地址:http://www.cnki.net/kcms/detail/32.1627.TP.20160307.1518.011.html
樊英杰,张开如,狄东照,等.小型谐振器无线电能传输系统研究[J].工矿自动化,2016,42(3):48-51.