张剑英, 张跃辉, 周立宇
(中国矿业大学 信息与电气工程学院, 江苏 徐州 221116)
摘要:针对基于加权质心算法的井下人员定位方法误差大的问题,提出了一种基于自组织竞争网络的井下人员定位融合算法。该算法利用自组织竞争网络的学习筛选能力,通过分组训练筛选出接近理论值的实际RSSI值,找出用于加权质心算法的有效坐标,在加权质心算法的基础上计算未知节点位置。Matlab仿真结果表明,该算法的定位精度比原加权质心算法显著提高。
关键词:无线传感网络; 人员定位; 自组织竞争网络; 加权质心
近年来无线传感网络被广泛应用于定位系统和算法。在无线传感网络定位算法中,基本上可以分为基于测距的算法和基于非测距的算法2类。基于测距的定位算法主要是在测得节点间距离和角度信息的基础上,结合三边测量法、三角测量法和最大似然估计法估测出未知节点的位置信息。该算法对硬件要求比较高,增加了额外的设备成本。而基于非测距的定位算法主要依据传感网络连通性进行人员定位,主要包括分布式的质心算法[1]、DV-HOP算法、Min-Max算法、APIT算法以及集中式的凸规划、MDS-MAP算法。与其他算法相比,质心算法比较简单,完全基于传感网络的连通性,不需要增加额外的硬件设备,易于实现,因而应用广泛。但是这种算法的精度不高。后来一些研究者结合传感网络中的RSSI信息提出了加权质心算法,通过权值设定使网络中的信息得到进一步利用,从而提高定位精度。但是由于实际环境因素的影响,尤其是在环境复杂的煤矿井下,信息在传播过程中受到电磁、多径效应的干扰,真实可用的信息与一些无意义信息混合在一起,给定位造成很大干扰,严重影响了定位精度。鉴此,本文从处理井下有用信息入手,提出一种基于自组织竞争网络的井下人员定位融合算法。该算法主要通过自组织竞争网络对理论上的RSSI值进行训练学习以作为参考,然后对实际测得的RSSI值进行训练,选出接近理论结果的RSSI值,对照由信标节点坐标与其接收到的待测节点RSSI值所建立的数据库,找出用于加权质心算法的有效坐标,在加权质心算法的基础上计算未知节点位置。
1.1 加权质心算法
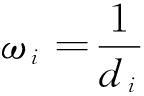
加权质心算法在质心算法的基础上加入了权重因子,利用RSSI测距作为权重分配依据,通过加权使定位精度得以提升,同时继承了质心算法运算简单、自适应性强的特点。权值ωi计算公式为
(1)
式中di为未知节点到信标节点的距离。
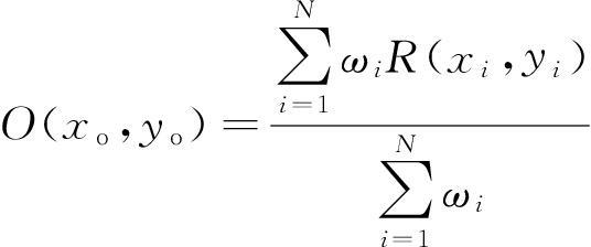
未知节点坐标O(xo,yo)由N个信标节点计算得出,计算公式为

(2)
式中:R(xi,yi)为信标节点坐标;N为信标节点个数。
加权质心算法利用RSSI值测得节点间的距离,将距离值的倒数作为一个权重因子加入质心计算公式中,节点间的距离越小,对未知节点的影响越大。因此,通过加入权值使信标节点对未知节点的影响权重得到合理分配,进而提高算法定位的精度。
参考文献[2]提出的改进型加权质心算法添加了区域判定,提高了定位精度。参考文献[3]提出了一种无线传感器网络定位算法——去中心化场强加权多跳质心定位算法。这些算法都是在原有网络中的数据基础上分配权重值,进而改善定位精度,但这些原始数据中有一些对于实时定位无意义的数据,这些数据在定位过程中被分配了权重,并且参与实际定位,给定位效果带来了很大干扰。本文利用自组织神经网络的学习筛选能力对数据进行进一步处理,从而提高定位效果。
1.2 自组织神经网络
自组织神经网络可以通过反复观察客观事物和分析比较,自行提示其内在规律,并对有共同特征的事物进行正确分类。这种网络与人脑中神经网络[4]的学习模式类似,即可以自动寻找样本中的内在规律和本质属性。自组织神经网络大多采用竞争型学习规则。竞争型神经网络[5]的基本思想:网络竞争层的各个神经元通过竞争来获得对输入模式的相应机会,最后仅一个神经元成为竞争的胜利者[6]。同时网络将与获胜神经元有关的各连接权值向着更有利于竞争的方向调整。自组织竞争网络的自组织、自适应学习能力进一步拓宽了神经网络在模式分类和识别方面的应用。
1.3 竞争型神经网络结构和学习算法
竞争型神经网络有很多具体形式和不同的学习算法,在此介绍一种比较简单的网络结构和学习算法,其结构如图1所示。

图1 基本竞争型神经网络结构
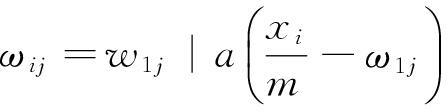
整个网络分为输入层和竞争层,如果有N个神经元i在输入层,M个神经元j在竞争层,那么整个网络的权值ωij(i=1,2,…,N;j=1,2,…,M)满足
ωij=1。竞争层神经元j的状态计算公式为
(3)
式中xi为输入样本数据的第i个元素。
经过网络竞争后权值最大的神经元k获得胜利,输出结果为
(4)
竞争后的权值按照式(5)修正,对于所有的输入层神经元i,有
(5)
式中:a为学习参数,0<a<<1,一般取为0.01~0.03;m为输入层中输出为1的神经元个数,![]()
权值调整公式中的
项表示当xi为1时,权值增加;而当xi为0时,权值减小。也就是说,当xi活跃时,对应的第i个权值就增加,否则就减小。由于所有权值的和为1,所以当第i个权值增加或者减小时,对应的其他权值就可能减小或者增加。此外,式(5)还保留了权值的调整,能够满足所有的权值调整量之和为0。
由于井下环境复杂多变,信号干扰严重,获取有用的训练数据比较困难,即使能够获取到训练数据,也无法保证网络训练的可靠性,继而会使下一步实际网络的竞争产生较大偏差,导致定位精度不准确。因此,本文采用理论仿真的方法来获取训练数据。
2.1 数据训练
首先由理论仿真推导出信标节点所接收的由未知节点发出的信号强度,本文选用具有视距传播的对数距离路径损耗模型,井下无线信号传播模型为
![]()
(6)
式中:P(d)表示接收节点接收到的信号强度;P(do)表示与发射节点距离为do时所接收到的信号强度;d为接收节点与发射节点的距离;d0为到发射节点的一个参考距离;α为路径长度与路径损耗之间的比例因子,其值与所处环境相关;Xσ为由环境引入的噪声,其值满足均值为0的正态分布N(0,σ2),σ越大,信号衰减的不确定性越大。
由式(6)推算出信号强度值,同时记录信标节点的坐标,并建立一个RSSI值与坐标一一对应的数据库。然后对数据进行分组,确保能对未知节点进行相对准确的定位。本文共选取30组数据进行实验,每组至少保证有3个信标节点数据,对这些数据进行网络训练学习。数据训练结果见表1。
从表1可看出,数据分类错误率为7/30=23.3%,达到了预期要求。
表1 数据训练结果

2.2 数据筛选
在数据训练过程中,网络对数据进行不断、反复观察,分析与比较其形成规律,准确地从复杂数据中筛选出所有具有相似规律的数据。筛选过程选取了20组待测样本(未知数据的有效性),需要区分的类别数目为2,学习速率设为0.1,学习筛选之后,舍弃一些异常数据和分类为2的数据。
2.3 未知节点定位计算
把实验中测得的RSSI值分组带入网络中进行筛选,然后从自组织竞争网络中提取出有用的信号强度值,对照接收到的RSSI值与其当时对应的坐标数据库,找到各个信标节点的坐标,然后根据加权质心算法(式(2))估算未知节点位置。
3.1 节点部署
为了保证仿真的有效性,在Windows 7操作系统上采用Matlab R2013a作为仿真平台进行仿真[7]。将仿真区域设置成10 m×100 m,模拟井下狭长的巷道环境,如图2所示。整个区域分布着100个信标节点以及随机分布的50个待测节点,采用频率为2.4 GHz的无线载波信号进行通信,节点通信半径设置为50 m。
3.2 仿真结果与分析
在同样的参数和环境下,同时采用一般加权质心算法和基于自组织神经网络的加权质心算法进行定位计算,结果如图3所示。由图3可知,经过自组织竞争网络改进后的算法定位效果比较显著,未知节点与估测节点比较接近。

图2 节点部署

图3 2种算法的定位结果
2种算法的定位误差比较如图4所示。由图4可知,随着节点搜寻范围的增加,即用于定位的信标节点数量的增多,2种算法的精确度随之提高。

图4 2种算法的定位误差比较
2种算法的仿真误差比较结果见表2。由表2
可看出,定位选取的50个未知节点中,一般算法和改进算法定位误差小于1.5 m的概率分别为82.71%,91.88%;定位误差小于1.0 m的概率分别为68.87%,86.44%;定位误差小于0.5 m的概率分别为22.23%,42.59%。改进后定位算法的置信概率比一般加权质心算法高,能够满足井下人员定位需要。
表2 2种算法的仿真误差比较结果

提出了基于自组织竞争网络的井下人员定位融合算法,经过网络学习筛选,过滤掉无效数据,使定位数据更加准确有效。仿真结果表明,基于自组织竞争网络的井下人员定位融合算法定位精度得到了显著提高,且易于实现。
[1] 安恂,蒋挺,周正.一种用于无线传感器网络的质心定位算法[J].计算机工程与应用,2007,43(20):136-138.
[2] 杨鹃,韩雪松.基于改进型加权质心算法的井下人员定位[J].承德石油高等专科学校学报,2014,16(4):57-60.
[3] 王琰琳,黄友锐,曲立国.改进型质心算法在井下人员定位中的应用[J].煤矿机械,2012,33(8):76-78.
[4] 吴超,张磊,张琨.基于BP神经网络的RFID室内定位算法研究[J].计算机仿真,2015,32(7):323-326.
[5] 许东,吴铮.基于Matlab6.x的系统分析与设计——神经网络[M].2版.西安:西安电子科技大学出版社,2002.
[6] 李双明,武庆威.采用RSSI提高无线传感网络定位精度的算法[J].无线电工程,2015,45(2):8-10.
[7] 陈守平,董瑞,罗晓莉.MATLAB神经网络30个案例分析[M].北京:北京航天航空大学出版社,2010:153-158.
ZHANG Jianying, ZHANG Yuehui, ZHOU Liyu
(School of Information and Electrical Engineering, China University of Mining and Technology,Xuzhou 221116, China)
Abstract:In view of problem of big positioning error of underground personnel positioning method based on weighted centroid algorithm, a fusion algorithm of underground personnel positioning based on self-organizing competitive network was proposed. The algorithm uses learning screening capacity of self-organizing competitive network, and screens out actual RSSI value close to the theoretical value by group training, then finds valid coordinates for the weighted centroid algorithm, and calculates unknown node position based on weighted centroid algorithm. The Matlab simulation results show that the positioning accuracy of the algorithm is significantly higher than the original weighted centroid algorithm.
Key words:wireless sensor networks; personnel positioning; self-organizing competitive network; weighted centroid
中图分类号:TD655.3
文献标志码:A 网络出版时间:2016-03-07 15:18
作者简介:张剑英(1963-),女,江苏徐州人,教授,从事信号处理、模式识别等方面的研究工作,E-mail:zjycumt@126.com。
收稿日期:2015-12-02;修回日期:2016-01-15;责任编辑:胡娴。
文章编号:1671-251X(2016)03-0044-04
DOI:10.13272/j.issn.1671-251x.2016.03.010
网络出版地址:http://www.cnki.net/kcms/detail/32.1627.TP.20160307.1518.010.html
张剑英,张跃辉,周立宇.基于自组织竞争网络的井下人员定位融合算法[J].工矿自动化,2016,42(3):44-47.