王永星1, 华钢1, 张欣2
(1.中国矿业大学 信息与电气工程学院, 江苏 徐州 221008;
2.空军勤务学院 基础部计算机教研室, 江苏 徐州 221000)
摘要:针对煤矿井下巷道中传统逐点采集RSS指纹数据效率低的问题,提出了一种基于Kriging插值算法的RSS指纹数据快速生成方法。该方法在已知少量观测点的RSS指纹数据情况下,根据实验变差函数拟合出理论变差函数,然后在无偏估计和最小估计方差的条件下求解Kriging插值算法的权重系数,计算待估点的RSS指纹数据。实验结果表明,利用该方法得到的RSS指纹数据准确性高,定位误差小。
关键词:煤矿井下巷道; RSS指纹数据; Kriging插值算法; 指纹数据库
井下人员定位是煤矿智能监控系统的重要组成部分[1]。基于接收信号强度(Received Signal Strength,RSS)指纹的定位方法具有成本低、能耗低、部署简单等优点,已经在煤矿井下得到了应用[2-3]。基于RSS指纹的定位方法分为2个阶段:① 离线阶段,即建立定位区域的RSS指纹数据库;② 在线阶段,即目标定位。在离线阶段,主要工作是采集RSS指纹数据,然后根据这些数据建立RSS指纹数据库,RSS指纹数据库直接影响后续的目标定位精度。为了提高定位精度,通常的做法主要包括:① 在定位区域划分更多的参考点,从理论上讲,参考点越密集,目标定位精度越高[4];② 为了保证RSS指纹数据采集的准确性,在每个参考点上采集多次数据,求取这些数据的平均值作为建立RSS指纹数据库的样本数据[5-6]。然而煤矿井下巷道距离长且环境特殊,建立RSS指纹数据库的工作量与参考点的个数和采集数据的次数成正比,传统逐点采集RSS指纹数据的方法效率低。鉴此,本文提出了一种基于Kriging插值算法的RSS指纹数据快速生成方法,该方法可以在已知少量观测点的RSS指纹数据的情况下,充分利用观测点之间以及观测点与待估点之间的空间相关性,准确估计待估点的RSS指纹数据,在保证井下目标定位精度的基础上,节省大量的人力、物力和时间。
假设Z(xi)(i=1,2,…,n,n为观测点数量)表示1组观测点xi的观测值,则待估点x0处的RSS指纹数据估计值Z*(x0)为各个观测值的加权之和,即
(1)
式中λi为相应Z(xi)的权重系数。
相距为h的空间2个点x和x+h处的观测值Z(x)和Z(x+h)之间的方差称为变差函数,其表达式为
(2)
在实际应用中,直接求解式(2)比较困难。因此,可以利用有限的观测值求解实验变差函数,再由实验变差函数求解理论变差函数(即式(2))。实验变差函数表达式为
(3)
式中:N(h)为相距h的数据对的对数;j=1,2,…,n,j≠i。
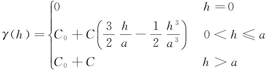
式(3)要求观测点数据对的间距相同,实验变差函数的计算有赖于有效数据的空间构型,对于规则的网格数据点,可以直接由式(3)求取实验变差函数。利用定位区域中无线信号强度值求解的实验变差函数非常接近于球状模型的理论变差函数[7],球状模型的理论变差函数表达式为

(4)
式中:C0为块金常数,表示参数随机性变化的部分,C0越小,参数空间相关性越强,随机性越弱,C0越大,参数空间相关性越小,随机性越强;C为拱高,表示参数结构性变化的部分;C0+C为基台值,反映参数在数值上最大的变化幅度;a为变程,表示参数具有空间相关性范围,反映参数空间变化的速度大小,a越小,空间相关性范围越小,表示参数的空间变化速度越大,a越大,空间相关性范围越大,表示参数的空间变化速度越小[8]。
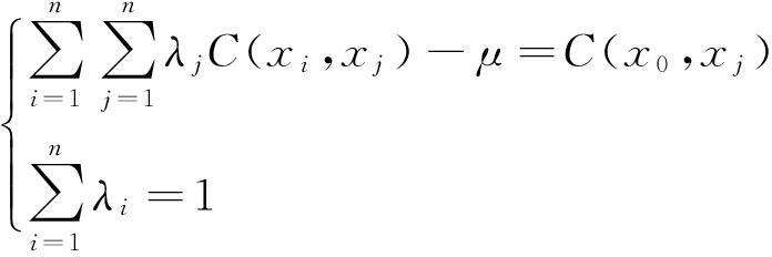
在保证无偏估计和最小估计方差的前提下,利用Kriging插值算法求解式(1)中的权重系数。其中无偏估计为
(5)
式中Z(x0)为待估点x0处的RSS指纹数据真实值。
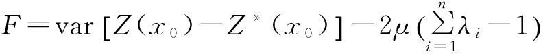
估计方差为
![]()
![]()
(6)
式中:var[·]为方差函数;C(·,·)为协方差函数。
构造Lagrange函数:
(7)
式中μ为Lagrange函数因子。
然后分别对λi和μ求偏导,得到普通Kriging方程组[7]:

(8)
将计算出的权重系数λi代入式(1),即可求出待估点x0处的Z*(x0),实现煤矿井下巷道中待估点的RSS指纹数据的无偏估计。
2.1 实验环境
防空洞的地面为水泥地,墙壁较粗糙,顶部两侧布设电缆,从地形结构和电磁波传播特性来看,防空洞与真实矿井环境相似,因此选择防空洞模拟煤矿井下巷道环境。防空洞的长、宽、高分别为150,3.4,4.5 m,以防空洞的长、宽、高为坐标系的x,y,z轴,由于防空洞的宽度和高度远小于长度,所以定位时不考虑目标在y轴和z轴上的变化。防空洞中共布设3个AP(Access Point,接入点),AP1,AP2,AP3的位置坐标用伪坐标表示,分别为(7,y,z),(43,y,z),(97,y,z)。定位区域中共有100个参考点(包括观测点和待估点),参考点之间的距离为1.5 m。定位区域截面如图1所示。

图1 定位区域截面
在不同天线方向上,同一个参考点上RSS值也会不同。为了保证观测值准确,在每个观测点上分别采集AP在不同方向(东、西、南、北)上的5次数据,然后取这些数据的平均值作为观测值。
2.2 实验结果及分析
分别采用不同方法建立3种RSS指纹数据库:① 在定位区域中利用传统方法在每个参考点上采集RSS指纹数据,建立原始RSS指纹数据库;② 在100个参考点中选取20个观测点,利用本文方法对剩余80个待估点进行插值计算,建立Kriging-RSS指纹数据库;③ 采用另一种比较典型的插值算法——距离加权反比法(Inverse Distance Weighted,IDW)[9]建立IDW-RSS指纹数据库。
从2个方面来衡量不同方法的优劣性:① 通过基于不同RSS指纹数据库的定位算法计算平均定位误差,定位算法采用K最近邻(K-Nearest Neighbor,KNN)[10-11],其中K=3(K表示选取最近K个点的坐标);② 利用交叉验证法,计算估计值与真实值的误差平方和的均值。
基于不同RSS指纹数据库的定位算法的定位误差实验结果如图2所示。从图2可看出,基于原始RSS指纹数据库的定位算法得到的平均定位误差为2.255 m;基于Kriging-RSS指纹数据库的定位算法得到的误差平方和的均值为0.213,平均定位误差为2.276 m,在每个参考点上的定位误差与基于原始RSS指纹数据库的定位算法得到的定位误差几乎一样;基于IDW-RSS指纹数据库的定位算法得到的误差平方和的均值为1.165,平均定位误差为3.449 m,在每个待估点上的定位误差与基于原始RSS指纹数据库的定位算法得到的定位误差相差较大。这是因为IDW插值算法没有考虑数据之间的空间分布情况,往往会因为观测点的分布不均匀而造成估计结果产生偏差;而本文方法不仅考虑观测点与待估点之间的相对位置,还考虑各观测点之间的相对位置,充分利用了数据之间的空间结构信息。

图2 基于不同RSS指纹数据库的定位算法的
定位误差实验结果
针对煤矿井下巷道环境,提出了一种快速生成RSS指纹数据的方法。该方法可以在已知少量观测点的RSS指纹数据的情况下,充分利用观测点与待估点之间的相对空间位置信息,考虑各观测点之间的相对位置信息,根据实验变差函数拟合出理论变差函数,然后采用无偏估计和最小估计方差的准则,求解Kriging插值算法的权重系数,最后利用Kriging插值算法对待估点的RSS指纹数据进行计算。实验结果表明,基于该方法得到的RSS指纹数据用于定位时,其定位精度几乎和基于实际采集的RSS指纹数据得到的定位精度一样,验证了本文方法的有效性和可行性。
参考文献:
[1] 华钢,王永星.基于信号衰减模型补偿的RSS指纹定位算法[J].徐州工程学院学报:自然科学版,2015,30(4):28-32.
[2] 董建平,杨诚,陆小丽.基于WiFi的井下指纹模定位算法[J].工矿自动化,2014,40(10):93-95.
[3] 唐丽均,吴畏.用于井下精确人员定位的单基站方向识别技术[J].工矿自动化,2015,41(2):68-70.
[4] PRASITHSANGAREE P,KRISHNAMURTHY P,CHRYSANTHIS P K.On indoor position location with wireless LANs[C]//The 13th IEEE International Symposium on Personal, Indoor and Mobile Radio Communications,Lisboa,2002:720-724.
[5] SAHA S,CHAUDHURI K,SANGHI D,et al.Location determination of a mobile device using IEEE 802.11b access point signals[C]//Wireless Communications and Networking,New Orleans,2003:1987-1992.
[6] LAITINEN H,LAHTEENMAKI J,NORDSTORM T.Database correlation method for GSM location[C]//Vehicular Technology Conference,Rhodes,2001:2504-2508.
[7] 牛文杰,朱大培,陈其明.贝叶斯残余克里金插值方法的研究[J].工程图学学报,2001,22(2):68-76.
[8] 冉启全,周南翔.油气藏非均质性的地质统计学描述[J].大庆石油地质与开发,1993,12(2):42-46.
[9] LI B H,WANG Y F,LEE H K,et al.Method for yielding a database of location fingerprints in WLAN[J].IEEE Proceedings-Communications,2005,152(5):580-586.
[10] BAHL P,PADMANABHAN V N.RADAR:an in-building RF-based user location and tracking system[C]//The 19th Annual Joint Conference of the IEEE Computer and Communications Societies,Tel Aviv,2000:775-784.
[11] CORMEN T T,LEISERSON C E,RIVEST R L,et al.Introduction to algorithms[M].3rd ed.Cambridge:MIT Press,2009.
WANG Yongxing1, HUA Gang1, ZHANG Xin2
(1.School of Information and Electrical Engineering, China University of Mining and Technology,Xuzhou 221008, China; 2.Foundation Department Computer Science Teaching and Research Section, Air Force Logistics University, Xuzhou 221000, China)
Abstract:In view of problem of low efficiency of traditional sampling of RSS fingerprint data point by point in underground roadway, a rapid generation method of RSS fingerprint data based on Kriging interpolation algorithm was proposed. Firstly, theory variogram is obtained by fitting experiment variogram with RSS fingerprint data of a few observation points. Then weight coefficient of Kriging interpolation algorithm is gotten under the condition of unbiased estimation and the minimum estimation variance. Finally, RSS fingerprint data of estimation points are calculated through Kriging interpolation algorithm. The experimental result shows that the RSS fingerprint data obtained by the method are accurate and location error is low.
Key words:underground roadway; RSS fingerprint data; Kriging interpolation algorithm; fingerprint database
中图分类号:TD655.3
文献标志码:A 网络出版时间:2016-03-07 15:17
作者简介:王永星(1985-),男,河南周口人,博士研究生,主要研究方向为人员定位、人工智能等,E-mail:wyx_783@163.com。通信作者:华钢(1963-),男,江苏江阴人,教授,博士,博士研究生导师,主要研究方向为物联网、信息融合、云计算、煤矿安全监控,E-mail:ghua3323@163.com。
基金项目:国家自然科学基金资助项目(61379100,51574232)。
收稿日期:2016-01-05;修回日期:2016-01-25;责任编辑:盛男。
文章编号:1671-251X(2016)03-0036-04
DOI:10.13272/j.issn.1671-251x.2016.03.008
网络出版地址:http://www.cnki.net/kcms/detail/32.1627.TP.20160307.1517.008.html
王永星,华钢,张欣.煤矿井下巷道中RSS指纹数据快速生成方法[J].工矿自动化,2016,42(3):36-39.