实验研究
王文清1, 王晓璐2, 田子建2
(1.北京市煤炭矿用机电设备技术开发有限公司, 北京 100042;
2.中国矿业大学(北京) 机电与信息工程学院, 北京 100083)
摘要:提出了一种新型的基于微环谐振器的甲烷传感器。该传感器通过微环表层的穴番A涂层来增加微环的有效折射率,使微环谐振器中谐振波长随甲烷浓度的增加而向右漂移;通过测量输出光信号的谐振波长推算出甲烷浓度。理论分析结果表明,该传感器的谐振波长变化范围在一个自由光谱范围内,甲烷浓度测量范围为0~15%;对比SOI材料和聚合物材料、单面敏感膜和三面敏感膜的测量结果,得出聚合物材料三面敏感膜微环的谐振波长变化幅度较大,测量灵敏度为60 pm。
关键词:甲烷传感器; 甲烷浓度测量; 微环谐振器; 敏感膜
气体检测最早采用的是电传感器。电传感器通过敏感元件将气体浓度转换为电参数进行传输。以甲烷传感器为例,其电传感器类型有催化燃烧型[1]、半导体型[2]、电化学型[3]。在矿井环境中,电磁干扰对甲烷电传感器的影响较大,易导致传感器误报、漏报。另外,甲烷电传感器一般由监测分站经3芯或4芯矿用电缆供电。《煤矿安全规程》规定,甲烷电传感器至监测分站的最大距离不小于2 km,使得矿用电缆损耗较大。上述问题严重制约了甲烷电传感器在煤矿井下的应用。
光纤传感器技术[4]的发展为光纤甲烷传感器在煤矿井下的应用创造了条件。光纤甲烷传感器采用光波传递信号,不受电磁干扰影响,电气绝缘性能好,结构简单,适用于井下恶劣环境[5]。其类型包括光谱吸收型、染料指示剂型和倏逝波型[6]。其中光谱吸收型光纤甲烷传感器研究最多,应用较广,但其光源昂贵,结构复杂,成本较高。染料指示剂型光纤甲烷传感器易受化学反应速度的限制,对温湿度有较高要求,应用受限。倏逝波型光纤甲烷传感器成本较低,结构简单,近年来成为研究热点。吴锁柱[7]在倏逝波理论基础上研究了一种基于穴番A修饰的模式滤光光纤甲烷传感器,但其采用的PCS光纤[8]制作难度较大。杨建春等[9]在此基础上提出了一种应用普通光纤、基于敏感膜折射率变化的纤芯失配型光纤甲烷传感器,降低了成本。上述光纤甲烷传感器通过光探测器检测输出光强变化来推算折射率,从而得到甲烷浓度,对光纤的入射角及折射角有较高要求,并且在单模光纤和多模光纤的交界处或弯折处会产生光损耗,导致光强因光纤本身的缺陷而减弱,影响检测精度。本文提出将光波导结构—微环谐振器应用于甲烷检测中,研究了一款基于微环谐振器的甲烷传感器,为甲烷传感器的设计提供了一种新思路。
1.1 微环谐振器结构
图1为平行波导单环微环谐振器结构[10],其由2条平行波导和1个微环构成。微环半径R=12.488 μm,2条平行波导长度L=100 μm,则微环的自由光谱区为18.13 nm。光在微环中的传输过程:光信号从p端进入上平行波导后,在临近微环时发生耦合,使得光功率不断耦合进入微环中;耦合进微环的光不停旋转,当绕微环传输1周所产生的光程差为波长的整数倍时,光信号发生谐振,谐振后的光信号传输至微环与下平行波导临近区域时,再次发生耦合,并沿下平行波导由q端输出。

图1 平行波导单环微环谐振器结构
1.2 传感过程
基于微环谐振器的甲烷传感器基本原理如图2所示。甲烷浓度由敏感膜来感知。敏感膜相当于微环的包层,当甲烷与其发生作用时会引起折射率变化,使得传播模式的有效折射率变化,最终引起微环谐振波长漂移。

图2 基于微环谐振器的甲烷传感器基本原理
研究表明,在穴番类化合物中,穴番A在有机溶液中对甲烷具有较强的亲合能力[11],且在6个月内具有良好的稳定性[7],因此将穴番A作为微环表面的敏感膜。当敏感膜与甲烷接触时,甲烷分子扩散进膜内部,并与穴番A发生非共价键相互作用[11],选择性地进入穴番A分子的空穴中,引起敏感膜折射率变化,微环的有效折射率也随之变化,从而引起谐振波长漂移。研究表明,穴番A的折射率随甲烷浓度的升高而增大[11-12],如图3所示。敏感膜的折射率n与甲烷浓度C几乎呈线性关系,斜率为0.053,即
n=0.053C+1.412
(1)

图3 甲烷浓度与敏感膜折射率关系
图4为微环横截面。a,b分别为波导芯的宽度和厚度。设波导芯中心为坐标系原点o,将波导芯分成9个区域,各区域折射率均为常数。为了简化分析,忽略光功率在阴影部分的传输,只讨论在其他5个区域的传输情况[13]。

图4 微环波导芯横截面
为了简化分析,设大部分光功率在波导芯中传输,则波导中存在2种基本传播形式:电场主要沿x方向偏振,称为
模式(s,t为模式阶数,单模传输时s=t=0);电场主要沿y方向偏振,称为
模式。在远离传播模式截止的情况下,由亥姆霍兹方程可得
传播模式的有效折射率:
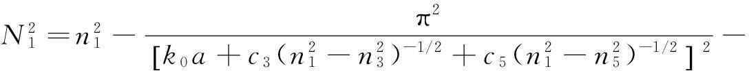
N2=![]()
(2)
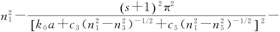
式中:n1,n2,n3,n4,n5分别为图4中微环波导芯内5个非阴影区域的折射率;k0为真空中的波数;c2,c3,c4,c5为模式常数。
(3)
(4)
由式(2)可知,当微环表面涂敏感膜时,敏感膜感知甲烷浓度变化而产生折射率变化时,会引起传播模式有效折射率发生变化。
光在微环中传输时,只有绕微环传输1周产生的光程差为波长整数倍的光才能发生谐振而加强,即满足微环方程:
(5)
式中:m为谐振级数;λ为谐振波长。
当微环有效折射率发生改变时,谐振波长也会随之变化,产生谐振波长漂移。
2.1 波导材料的选择
在温湿度不变的条件下,不计损耗,为在微环谐振器中实现平行波导和微环中
主模的单模传输[14],取波导芯宽度a与厚度b均为1.5 μm。
在微环上包层涂穴番A,如图5所示。

图5 单面敏感膜微环横截面
敏感膜厚度需大于其穿透深度0.482 μm,因此膜厚度取0.5 μm。当敏感膜与甲烷发生作用时,微环的有效折射率为
(6)
谐振波长为
(7)
由式(6)—式(7)可知,随着甲烷浓度的升高,微环的有效折射率随之增大,使得谐振波长增大,产生谐振波长漂移。
目前常用的波导材料有SOI材料[15]与聚合物材料。SOI具有包层与波导芯折射率相差大、利于微环耦合等特点。本文首先选用SOI材料的微环谐振器,取波导芯折射率n1=3.4,下包层的折射率n2=1.455。此时甲烷浓度测量透射谱如图6所示。
从图6可看出,选用SOI材料的微环谐振器时,敏感膜与甲烷发生作用后谐振波长无变化,原因是SOI材料中波导芯的折射率比敏感膜与甲烷作用后的折射率大得多,较大的折射率差使微环的有效折射率变化很小甚至无变化。可见SOI材料不适合作为微环谐振器的制作材料。
选用聚合物为材料的微环谐振器,可合成所需折射率值,使波导芯折射率与敏感膜折射率差较小。取聚合物材料波导芯折射率n1=1.627 8,下包层的

(a) 甲烷体积分数为0

(b) 甲烷体积分数为15%
图6 选用SOI材料的微环谐振器时甲烷浓度测量透射谱
折射率n2=1.465。此时甲烷浓度测量透射谱如图7所示。可见采用聚合物材料的微环谐振器时,谐振波长有明显变化。需要注意的是,聚合物材料波导芯与敏感膜折射率差不能太小,否则会影响微环谐振器的性能。
从图7可看出,甲烷体积分数为0时,谐振波长为1.556 1 μm;甲烷体积分数为15%时,谐振波长为1.556 4 μm,谐振波长向右漂移,变化量为0.3 nm。该变化在自由光谱区范围内,不影响观测。可见甲烷浓度升高会引起微环谐振波长漂移,但是在单面敏感膜条件下,波长漂移幅度不大,难以精确反映甲烷浓度与谐振波长变化量之间的关系,测量灵敏度较低。
2.2 敏感膜的增加
从式(4)可看到,当上表层涂敏感膜时,只有n4发生变化。若将波导左右包层均涂上穴番A作为敏感膜,如图8所示,即n3,n4,n5均变化,可与甲烷充分接触发生反应,使有效折射率变化更加明显,引起谐振波长漂移量增加。

(a) 甲烷体积分数为0

(b) 甲烷体积分数为15%
图7 选用聚合物材料的微环谐振器时甲烷浓度测量透射谱

图8 三面敏感膜微环横截面
此时微环的有效折射率为

(8)
谐振波长为
(9)
由式(8)、式(9)可知,随着甲烷浓度的升高,微环的有效折射率随之增大,使谐振波长增大,产生波长漂移。
图9为采用三面敏感膜微环时甲烷浓度测量透射谱。可看出甲烷体积分数为0时,谐振波长为1.567 4 μm;甲烷浓度为15%时,谐振波长为1.568 3 μm,谐振波长向右漂移,波长变化量为0.9 nm,在自由光谱区范围内。可见当甲烷浓度升高时,三面敏感膜产生的谐振波长漂移量为单面敏感膜的3倍,测量灵敏度较高。
2.3 传感器的选择性
在进行气体检测时,空气中含有较多的CO,CO2,N2,O2等。图10为该基于敏感膜折射率变化的甲烷传感器测量几种气体时的透射谱。可看出该传感器对CO,CO2,N2,O2几乎无响应,即在检测甲烷浓度时不受其他气体干扰,对甲烷气体表现出良好的选择性。

(a) 甲烷体积分数为0

(b) 甲烷体积分数为15%
图9 采用三面敏感膜微环时甲烷浓度测量透射谱


图10 甲烷传感器测量其他气体时的透射谱
由以上分析可知,由聚合物材料制成的微环谐振器,其波导芯折射率n1=1.627 8,下包层的折射率n2=1.465,若三面涂有敏感膜,在测量甲烷浓度时的谐振波长变化范围在一个自由光谱区范围内,可得出甲烷浓度与谐振波长之间的关系,如图11所示。可见在甲烷爆炸极限范围内,谐振波长λ与甲烷浓度C呈线性关系,如式(10)所示。测量灵敏度为60 pm,测量范围为0~15%。
λ=6.0×10-5C+1.567 5
(10)

图11 甲烷浓度与谐振波长的关系
在微环谐振器的基础上,设计了一种基于敏感膜折射率变化的甲烷传感器,通过测量输出光信号的谐振波长,推算出甲烷浓度。理论分析表明,该传感器的谐振波长变化范围在一个自由光谱区范围内,测量范围为0~15%;对比SOI材料与聚合物材料、单面敏感膜和三面敏感膜的测量情况,得出三面敏感膜聚合物材料微环的谐振波长变化幅度较大,测量灵敏度为60 pm。
参考文献:
[1] 童敏明.催化传感器的研究与应用技术[M].徐州:中国矿业大学出版社,2002:1-6.
[2] SAHA M,BANERJEE A,HALDER A K,et al.Effect of alumina addition on methane sensitivity of tin dioxide thick films[J].Sensors and Actuators(B),2001,79(2):192-195.
[3] QIAO Jie,LI Haifen,CHANG Yan,et al.Voltammetric study and detection of methane on nickel hydroxide modified nickel electrode[J].Analytical Letters,2008,41(4):593-598.
[4] 张记龙,王志斌,李晓,等.基于气体特征光谱吸收和谐波检测的瓦斯浓度测量技术[J].煤炭学报,2009,34(1):24-27.
[5] 孙继平.煤矿井下安全避险“六大系统”的作用和配置方案[J].工矿自动化,2010,36(11):1-4.
[6] 杨建春,徐龙君,章鹏.倏逝波型光纤气体传感器研究进展[J].光学技术,2008,34(4):562-565.
[7] 吴锁柱.新型模式滤光光纤化学传感器的研究[D].太原:山西大学,2009.
[8] 杨建春,徐龙君,章鹏,等.纤芯失配型光纤传感器折射率敏感特性[J].光学学报,2009,29(5):1183-1187.
[9] 杨建春,徐龙君,陈伟民.基于敏感膜折射率变化的光纤甲烷传感器[J].煤炭学报,2010,35(3):420-423.
[10] LITTLE B E,CHU S T,HAUS H A,et al.Microring resonator channel dropping filters[J].Journal of Lightwave Technology,1997,15(6):998-1005.
[11] BENOUNIS M,JAFFREZIC-RENAULT N,DUTASTA J P,et al.Study of a new evanescent wave optical fiber sensor for methane detection based on cryptophane molecules[J].Sensors and Actuators (B),2005,107(1):32-39.
[12] BRUCKNER C A,SYNOVEC R E.Gas chromatographic sensing on an optical fiber by mode-filtered light detection[J].Talanta,1996,43(6):901-907.
[13] 马春生,刘式墉.光波导模式理论[M].长春:吉林大学出版社,2007:172-195.
[14] 马春生,秦政坤,张大明.光波导器件设计与模拟[M].北京:高等教育出版社,2012:79-92.
[15] XU D X,DENSMORE A,DELAGE A,et al.Folded cavity SOI micro ring sensors for high sensitivity and real time measurement of biomolecular binding[J].Optics Express,2008,16(19):15137-15146.
WANG Wenqing1, WANG Xiaolu2, TIAN Zijian2
(1.Beijing Coal Mining Electric Equipment Technical Development Co., Ltd.,Beijing 100042, China;
2.School of Mechanical Electronic and Information Engineering, China University of Mining
and Technology(Beijing),Beijing 100083, China )
Abstract:A new type of methane sensor was proposed which was based on micro-ring resonator. The sensor is coated cryptophane A on micro-ring surface to increase effective refractive index of the micro-ring, so as to make resonance wave length in the micro-ring resonator drift towards the right along with methane concentration increasing. Methane concentration is gotten by measuring the outputted resonance wave length. The theoretical analysis results show that change of the outputted resonance wave length of the sensor is within a free spectral range, and methane concentration measuring range is 0~15%. By comparing measurement results of SOI material and polymer material, single sensitive film and three sensitive films, a conclusion is gotten that polymeric material micro-ring with three sensitive films has larger variation width of resonance wave length, which has measurement sensitivity of 60 pm.
Key words:methane sensor; methane concentration measurement; micro-ring resonator; sensitive membrane
作者简介:王文清(1963-),男,北京人,教授级高级工程师,硕士,主要从事煤矿井下安全检测方面的工作,E-mail:wwq@bgy.org.cn。
基金项目:国家自然科学基金资助项目(U1261125);北京市教育委员会创新团队建设提升计划资助项目(IDHT20130511)。
收稿日期:2015-12-02;修回日期:2015-12-27;责任编辑:李明。
中图分类号:TD712.55
文献标志码:A 网络出版时间:2016-01-26 15:44
文章编号:1671-251X(2016)02-0034-05
DOI:10.13272/j.issn.1671-251x.2016.02.009
王文清,王晓璐,田子建.基于微环谐振器的甲烷传感器[J].工矿自动化,2016,42(2):34-38.