张艳军1, 王俊元1, 董磊1, 杜文华1, 李勇1, 王胜利2
(1.中北大学 机械与动力工程学院, 山西 太原 030051;2.中煤平朔集团有限公司, 山西 朔州 036000)
摘要:为了准确得到连续采煤机截割臂工作时的振动特性,以模态运动能分析结果为主要参考依据,模态应变能结果为辅助参考依据,对连续采煤机截割臂上传感器进行优化配置。利用传感器采集截割臂振动加速度信号,并对振动加速度信号进行时域和频域分析,得到了该信号的特征和频带能量分布情况,为进一步优化连续采煤机结构设计和故障诊断提供了理论基础。
关键词:煤炭开采; 连续采煤机; 截割臂; 加速度传感器; 模态分析; 振动信号; 时域分析; 小波包分析
ML340型连续采煤机是用于短臂工作面开采和高产高效长臂工作面开采的重要机械设备,其工作环境恶劣、复杂,在工作过程中,它的功率主要消耗在截割臂上,所以,对其截割臂的振动信号进行测试与分析将为采煤机工作性能的提高及动态设计奠定基础[1]。
采煤机截割臂振动信号是通过布置在其截割臂上的传感器采集的,为了保证采集到的振动信号的有效性,有必要对截割臂传感器测点布置进行研究。传统的传感器布置方法一般采用有限元分析方法,根据经验来选择合适的区域进行传感器布置,但该方法存在随机性和主观性。在传感器优化布置的研究领域中,国内外针对桥梁检测系统的研究比较多,而对于类似采煤机等复杂机械结构的传感器优化布置研究甚少。传感器优化配置包括优化配置准则的选取[2-3]和传感器优化配置方法[4-5]。模态保证准则是常用的传感器配置准则, 可以节约监测成本,提高信噪比,降低信号处理难度。
传感器采集到的振动信号一般包含噪声等干扰信息,需要进行滤噪处理。传统的频域信号处理方法一般采用傅里叶分析法,它无法反映信号的非平稳、时域和频域局部化等特性,而小波分析只对低频信号进行分解,故其频率分辨率随频率升高而降低。小波包分析[6-7]不仅能对低频部分进行分解,而且还能对高频部分实施分解,是一种比小波分解更为精细的分解方法。
本文根据模态保证准则,仿真得到了采煤机截割臂部件的模态参数及振型,并以此对连续采煤机截割臂上传感器测点进行了优化配置,克服了依靠经验确定测点方法的随机性和主观性缺点;利用传感器采集截割臂振动信号,并对信号进行时域和频域分析,得到了连续采煤机截割臂振动信号特征和频带能量分布情况,为进一步研究连续采煤机的力学特性及优化设计奠定了基础。
传感器布置位置要能精确反映连续采煤机固有振动特性,最大程度反映连续采煤机振动响应能量。反映连续采煤机位移响应的微分方程为
(1)
式中:[M]、[C]、[K]分别为质量、阻尼及刚度矩阵;{x}为位移;{F}为输入。
总位移响应为
{X}=[Q][∅]
(2)
式中: [Q]为阵型系数;[∅]为模态阵型矩阵。
[Q]=[q1(n),…,qr(n),…,qn(n)]T
(3)
[∅]=[∅1,…,∅r,…,∅n]
(4)
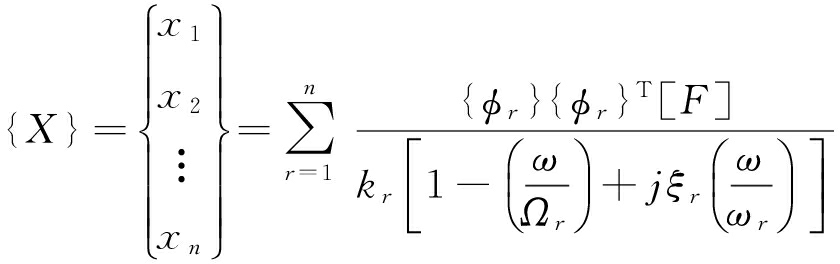
将式(2)代入式(1),求解微分方程,得到位移响应为

(5)
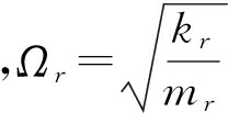
式中:Ωr为固有频率
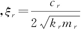
;ξr为阻尼比
;mr、cr、kr分别为第r阶模态质量、模态阻尼、模态刚度。
结构振动下的能量包括运动能和应变能2个部分,将传感器布置在振型的最大运动能处(模态应变能作为辅助参考),此时传感器将具有模型固有振型的最大可观性。模态运动能(KE)和模态应变能(MSE)分别为
KE=[∅]T[M][∅]
(6)
MSE=[∅]T[K][∅]
(7)
EML340连续采煤机实物如图1所示。本文将连续采煤机截割臂与截割滚筒、油缸、机架的连接均视为柔性联接,以便能更准确地反映连续采煤机动力特性,在ADAMS中建立其虚拟样机模型,按照图2布置各传感器测点,然后在虚拟样机中施加扫频载荷激励,分析各测点的模态运动能及模态应变能,然后对传感器进行优化配置。

图1 EML340连续采煤机实物

图2 截割臂上初始传感器布置
截割滚筒截割过程中受到低频激励。通过分析前6阶的模态坐标可得,第2阶模态所占比例最大,如图3所示。该阶模态振型表现为截割臂和滚筒上下摆动,与实际过程中受载情况一致。

图3 前6阶模态坐标
1—6阶模态各测点能量比例见表1,考虑到模型对称性,只列出(i=1∶6)点数值。
累计表1中各测点的能量百分比之和,就模态运动能而言,所占比例从大至小的测点分别是A1、A6、A4、A5、A3、A2;就模态应变能而言,测点A1、A4及A6最重要。以模态运动能结果为主要评价标准,模态应变能结果为辅助参考,选取A1、A4、A6及对称测点B1、B4、B6来布置传感器,如图4所示。最终传感器布置方向和通道序号见表2。因截割臂结构为对称结构,故取A1的Y方向和Z方向、A4的Y方向、A6的-X和Y方向布置传感器。
表1 前6阶模态测点(A1—A6)能量比例


图4 优化后的测点布置
表2 传感器布置方向和通道序号

2.1 试验、数据提取
试验是在平朔集团的东坡煤矿进行。根据连续采煤机实际工作情况确定测试工况顺序:电动机启动(0~148 s)→车身位置调整(148~179 s)→截割(179~265 s):向下截割、向上截割、向下截割、向上截割→车身位置调整(265~286 s)→装运停止(286~316 s)。
本文通过畸点消除和巴特沃斯滤波对所得到的加速度振动信号进行预处理,此外,为了方便对信号进行分析,常常假设测得的随机数各态历经[8],最终得到加速度时域波形,如图5所示。

(a) 通道1

(b) 通道2

(c) 通道3

(d) 通道4

(e) 通道5
图5 加速度时域波形
2.2 测试分析
对处理过的连续采煤机截割臂3个测点的振动加速度信号在时域上进行计算,得到3个测点的均方根和方差,见表3。
表3 时域分析结果

(1) 从各个测点加速度历程上看,装运电动机和截割电动机开启时,振动都较小;截割开始后,振动迅速增大:测点A1、A4和A6的Y方向振动较为剧烈,这是因为本次主要进行的是上下截割,竖直方向上受到的力比较大。测点A6的-X方向振动也比较剧烈,是因为它离截割滚筒较近,受到的煤层对其作用力比较大;测点A1的Z方向振动剧烈程度较小,其主要受装运电动机的影响。A1测点的Z方向在661.9 Hz处拥有一个显著的共振频率,经过初步分析,这一频率与装运电动机固有频率的第5阶频率相近。
(2) 在Y方向上:从3个测点的均方根值可以看出,截割臂与机架铰接处的A1振动最强烈,而截割臂中间位置的A4振动最弱;从3个测点的方差可以看出,截割臂中间位置的A4振动平稳性最好,而与机架铰接处的A1由于受传递振动冲击的影响,振动平稳性最差。
在连续采煤机振动分析时,其振动可以从不同频带内的能量变化体现出来。对连续采煤机截割臂的振动加速度信号频带能量分析可分为以下几个步骤[9]:
(1) 小波包分解。小波包分解模块是以db4小波为基函数的3级小波包变换,将2 000 Hz分解可得8个频段函数。小波包3级分解后,第4层的数学表达式为
s3=s30+s31+…+s36+s37
(8)
式中s3j为分解后第4层信号第j个频段信号重构函数,j=0,1,…,7。
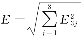
(2) 小波包重构。对各频段内的小波包重构可获得该频段内的时域波形,然后提取各频段内的重构函数系数Xjk(t)。各频带能量计算公式为
(9)
式中n为s3j的离散点个数。
(3) 特征向量合成。以各节点能量为元素组成特征向量:
T=[E1,E2,…,Ej]
(10)
(4) 各频段信号能量的归一化处理。为避免特征向量中各能量差相差过大,故对其进行归一化处理。
重构信号总能量为
(11)
归一化后的向量为
T1=[E1/E,E2/E,…,Ej/E]
(12)
对采煤机截割臂的振动加速度信号进行小波包分解,得到的3个测点振动加速度信号的频带能量,见表4,各个频带的归一化数值见表5。
表4 3组信号的频带能量 1013(m·s-2)2

表5 各个频段归一化处理后的数值

分析表4,通过小波包分解计算不同测点能量值的总和可以得到:Y方向上,截割臂中间位置的A6振动能量最小,而截割臂与机架铰接处的A1振动能量最大;A1的Z方向上能量值最小。这与前面的时域分析结果一致。
从3个测点的能量频段分析可得,采煤机截割臂的能量主要集中在第1频带,即0~250 Hz上,这与实际情况一致。
以模态运动能分析结果为主要参考依据,模态应变能结果为辅助参考依据,对连续采煤机截割臂上传感器测点进行了优化配置,弥补了传统依靠经验确定传感器测点方法的不足。
利用优化配置后的传感器采集连续采煤机在上下截割过程中的振动加速度信号,并对信号进行时域和小波包分析,得到了连续采煤机截割臂振动信号特征和频带能量分布情况。分析结果表明,在竖直方向上,与机架铰接处位置的振动较截割臂靠近截割滚筒的位置和中间位置强烈,这是由于机架铰接处的位置为电动机振动传递部分,所以铰接点的设计应充分考虑振动的影响;连续采煤机截割臂的能量主要集中在0~250 Hz 上,如果发现其他频带的能量过高,很有可能是由于截割臂出现了裂痕或疲劳损伤等故障。这一结论为进一步研究连续采煤机的力学特性及优化设计奠定了基础。
参考文献:
[1] 赵丽娟,田震.薄煤层采煤机振动特性研究[J].振动与冲击,2015,34(1):195-199.
[2] 张业林.采煤机摇臂传动系统动力学及传感器优化布置研究[D].徐州:中国矿业大学,2014:76-79.
[3] 于亮亮,黄超勇,程珩.基于有效独立法的连采机减速器传感器优化布置[J].机械工程与自动化,2013(2):121-123.
[4] BOZEHALOOI I S,LIANG M.A joint resonance frequency estimation and in-band noise reduction method for enhancing the detectability of bearing fault signals[J].Mechanical Systems and Signal Processing,2008,22(4):915-933.
[5] 路亮,龙源,谢全民,等.提升小波包最优基分解算法在爆破振动信号分析中的应用研究[J].振动与冲击,2014,33(5):165-169.
[6] 王凡重,田慕琴.基于RBF神经网络和小波包的电动机故障诊断研究[J].工矿自动化,2011,37(2):49-51.
[7] 杨健健,姜海,吉晓东,等.基于小波包特征提取的煤岩硬度振动识别方法[J].煤炭科学技术,2015,43(12):114-117.
[8] 董磊,王步康,张宏,等.连续采煤机截割臂振动特性分析及载荷识别[J].煤矿机械,2011,32(5):37-40.
[9] 葛哲学.小波分析理论与MATLAB-R2007实现[M].北京:电子工业出版社,2007:115-130.
Analysis of vibration characteristics of cutting arm of EML340 continuous miner
ZHANG Yanjun1, WANG Junyuan1, DONG Lei1, DU Wenhua1, LI Yong1, WANG Shengli2
(1.College of Mechanical and Power Engineering, North University of China, Taiyuan 030051, China;2.China Coal Pingshuo Group Co., Ltd., Shuozhou 036000, China)
Abstract:In order to get vibration characteristics of cutting arm of continuous miner in working condition, the optimized sensor disposition was done taking results of the modal movement energy as main reference and results of modal strain energy as auxiliary reference. Vibration acceleration signals of cutting arm were collected by the sensor, and time-domain analysis and frequency-domain analysis of the signal were done. And the distribution of vibration characteristics and frequency-band energy was obtained. It provides a theoretical basis for further optimization of structural design and fault diagnosis of continuous miner.
Key words:coal mining; continuous miner; cutting arm; acceleration sensor; modal analysis; vibration signal; time-domain analysis; wavelet packet analysis
收稿日期:2016-08-12;
修回日期:2016-09-20;责任编辑:张强。
基金项目:山西省基础研究项目(2014021024-4)。
作者简介:张艳军(1990-),男,山西吕梁人,硕士研究生,研究方向为矿用重型机械的振动分析与载荷识别,E-mail:18234157293@163.com。
文章编号:1671-251X(2016)12-0063-05
DOI:10.13272/j.issn.1671-251x.2016.12.014
中图分类号:TD421.6
文献标志码:A
网络出版:时间:2016-12-01 10:46
网络出版地址:http://www.cnki.net/kcms/detail/32.1627.TP.20161201.1046.014.html
张艳军,王俊元,董磊,等.EML340型连续采煤机截割臂振动特性分析[J].工矿自动化,2016,42(12):63-67.