王广君1, 闵德顺2
(1.中国地质大学(武汉) 自动化学院, 湖北 武汉 430074;2.中国地质大学(武汉) 机械与电子信息学院, 湖北 武汉 430074)
摘要:针对瞬变电磁发射机中发射线圈存在寄生电感导致发射电流关断时间过长的问题,设计了一种新型快速关断电路。在发射电流下降期间,该电路利用晶体管给发射线圈提供一条新的放电回路,利用该回路上电阻大、放电时间常数小的特点实现发射电流的快速关断。仿真和实验结果表明,该电路能够有效地降低瞬变电磁发射机的关断时间,且稳定性好。
关键词:瞬变电磁发射机; 放电回路; 时间常数; 快速关断
随着国民经济的快速发展,国家对矿产资源、地下水、地质环境的探测越来越迫切,特别是在目前浅部资源枯竭的情况下,对深部隐蔽矿床的探测越发显得尤为重要。瞬变电磁法(Transient Electromagnetic Method)是一种时间域的电磁探测方法,其原理是利用发射线圈向地下发射一次场,地下地质体在一次场的感应下会产生二次场信号,研究二次场信号随时间变化的关系就可以得到地下地质体的物理特性[1-2]。瞬变电磁法具有场源灵活、稳定高效、探测深度深等优点。但是由于我国在瞬变电磁仪的研制上起步较晚,目前国内研制的瞬变电磁仪与国外商品化的仪器相比还有较大的差距,在瞬变电磁仪的使用场合,往往还是选择国外进口的仪器,因此,研制我国具有自主知识产权的瞬变电磁仪具有比较深远的战略意义[3]。
瞬变电磁发射机的发射电流在瞬变电磁系统中起到了至关重要的作用。减小发射电流的关断时间(从最大值下降到零所需的时间),可以在一定程度上提高仪器测量的准确性[4]。为了尽可能地减小发射电流的关断时间,参考文献[5]提出了2种准谐振型电流陡脉冲整形电路。这2种电路利用谐振原理,在电路的参数选取比较适当的时候,可以比较好地降低发射电流的下降时间,提高关断能力。但是该电路的参数选取与线圈寄生电感量和发射电流大小有关。在多数情况下,线圈寄生电感量和发射电流大小都是不固定的,因而,这2种电路的性能不能发挥至最佳。
针对瞬变电磁发射机研究中的发射电流问题,本文提出了一种新型瞬变电磁发射机快速关断电路。在发射电流下降沿期间,该电路利用晶体管的通断将发射线圈接入一个特殊的放电回路,通过减小放电时间常数的方法加速发射电流的下降,减小关断时间。仿真和实验结果证明,该电路能极大地减小发射电流的关断时间。
为了能够在与发射机相连的负载线圈上得到双极性矩形脉冲电流,瞬变电磁发射机常采用MOS管或者绝缘栅双极性晶体管(IGBT)构成的全桥电路,只要控制全桥电路中功率晶体管的驱动信号,即可在负载线圈上得到双极性矩形脉冲电流。发射机全桥电路如图1所示,双极性脉冲电流的具体控制方法详见参考文献[6]。

图1 发射机全桥电路
在图1所示电路中,电感L和电阻RL表示发射线圈的寄生参数,二极管D1、电阻R1和电容C1构成瞬变电磁发射机常用的RCD吸收电路。根据参考文献[7]可知,该电路的关断时间为
(1)
式中:U1为电源电压和二极管导通压降之和;I0为关断时刻发射线圈的电流大小,即发射电流。
由式(1)可知,RCD吸收电路的关断时间与电源电压有关系,电源电压越高,关断时间越短。由于瞬变电磁发射机的电源电压一般都不会很高,所以,RCD吸收电路的关断时间很长。取线圈参数L=1.2 mH,RL=0.5 Ω,在发射电流I0=10 A时,关断时间约为1.3 ms。
瞬变电磁发射机发射电流的关断过程可以等效成一个电感的放电过程。根据参考文献[8],电感在放电的过程中,其放电时间常数τ=L/R,其中,L为发射线圈的等效电感,R为放电回路的等效电阻。放电时间常数越小,电感中的能量消耗得越快,电流下降得越快。在τ=L/R中,L不可改变,因此,如果能够增大电感放电回路中的等效电阻,即可减小其放电时间常数,加速电流的下降。
据此思想,本文设计了一种新型瞬变电磁发射机快速关断电路,如图2所示,发射线圈的供电过程可分为正向供电、正向停供电、反向供电、反向停供电。其中,在正向供电和反向供电时,Q5、Q6均是导通的,反向供电过程和正向供电过程类似,所以本文只介绍正向供电过程。

图2 新型瞬变电磁发射机快速关断电路
正向供电开始时刻,Q1、Q4、Q5、Q6导通,Q2、Q3截止,负载线圈中流过正向电流,电流流向为VCC→Q1→Q5→L→RL→Q6→Q4。由于晶体管导通电阻极小,电阻R3、R4被短路,所以,电阻R3、R4上电流很小,不会增加系统额外的损耗。
正向供电结束时刻,Q1、Q4、Q5、Q6同时截止。负载电感通过电阻R3和晶体管的寄生二极管与电源构成放电回路,放电过程中,电流的流向为L→RL→R3→Q2→VCC→Q3→Q5,如图2中箭头所示。由于电阻R3的值比较大,负载电感放电回路中的时间常数就会比较小,从而使负载电感中的电流快速下降,减小关断时间。
在负载线圈正向供电电流下降沿期间,负载电感放电回路的等效电路如图3所示。

图3 负载电感放电回路的等效电路
根据基尔霍夫定律,由图3可列出电感的线性微分方程:
(2)
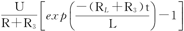
当t=0时,即关断时,线圈上电流等于发射电流I0,由此可得电流i(t)的表达式为
i(t)=![]()
(3)
令i(t)=0,可得关断时间为
(4)
由式(4)可看出,在发射电流一定的情况下,本文提出的电路的关断时间t与R3和电压U有关,其中,U等于电源电压和3个二极管导通压降之和,在电源电压固定的情况下,可以认为U值是不变的,因此,关断时间仅与R3有关。根据式(4)可知,发射机的关断时间随R3的增大而变小。
为了与RCD吸收电路进行比较,在发射线圈参数和发射电流取值一样的情况下,即L=1.2 mH,RL=0.5 Ω,I0=10 A,用Matlab绘出关断时间t与R3的关系曲线,如图4所示。

图4 关断时间t与R3的关系曲线
由图4可看出,关断时间随着R3的增大有明显的下降趋势,理论上来说,R3取无穷大可以使关断时间趋近于零。但是R3并不能无限大。一方面,t=0时,电阻两端的电压UR3=I0R3=VCCR3/RL,R3越大,其两端的电压就越大。由于电阻R3和晶体管Q5是并联的,电压过高可能会击穿晶体管;另一方面,根据图4可看出,虽然发射机的关断时间会随着R3的增大而减小,但是这种减小的趋势随着R3的增大越来越小,当R3大到一定程度之后,继续增加R3几乎不会减小关断时间。因此,为了保证系统的安全性与稳定性,R3大小应有所限制。
4.1 仿真结果
采用Matlab/Simulink仿真本文提出的电路,电路参数设置如下:L=1.2 mH,RL=0.5 Ω,I0=10 A,仿真结果如图5所示。

图5 电流波形仿真结果
由图5可以看出,R3越大,发射机的关断时间越短,且仿真结果和理论计算基本完全吻合。当R3=50 Ω时,关断时间已经下降到100 μs左右,此时电阻两端的电压在关断的一瞬间已经达到了500 V。
4.2 实验结果
对RCD吸收电路和本文提出的快速关断电路进行实验验证。参数设置如下:L=1.2 mH,RL=0.5 Ω,I0=10 A。实验过程中,采用安捷伦示波器(DSO7052B, 500 MHz, 4 GSa/s)在线性电流传感器(ACS712)上观测发射电流波形。由于实验中采用耐压值为650 V的晶体管,故R3不能超过65 Ω,实际实验过程中,R3=51 Ω。实验结果如图6所示。
在参数相同的情况下,由图6(a)可以看出,RCD吸收电路的关断时间约为1.3 ms,由图6(b)可以看出,本文提出的快速关断电路的关断时间大约为100 μs。与RCD吸收电路相比,本文提出的快速关断电路将发射电流的关断时间减小到原来的1/10以下,且实验结果与仿真结果一致。

(a) RCD吸收电路电流下降波形

(b) 快速关断电路电流下降波形
图6 RCD吸收电路和快速关断电路实验结果对比
瞬变电磁发射机中发射线圈的寄生电感极大地减小了发射电流的下降速度,从而导致发射电流关断时间过长。新型瞬变电磁发射机快速关断电路利用电阻和晶体管减小电感放电时间常数,为瞬变电磁发射机的研制提供了一种较好的减小发射电流关断时间的方案。电阻取值越大,发射电流的关断时间越短,但是对晶体管的耐压值要求也就越高。在实际应用中,应该根据发射电流的大小和晶体管的耐压值合理选取电阻阻值。
参考文献:
[1] 薛国强,李貅,底青云.瞬变电磁法理论与应用研究进展[J].地球物理学进展,2007,22(4):1195-1200.
[2] 牛之链.时间域电磁法原理[M].长沙:中南大学出版社,2017:1-6.
[3] 李文尧,晏冲为,邹振巍,等.瞬变电磁仪研究进展[J].云南大学学报(自然科学版),2012,34(增刊2):233-241.
[4] 陈曙东,林君,张爽.发射电流波形对瞬变电磁响应的影响[J].地球物理学报,2012,55(2):709-716.
[5] 付志红,周雒维.两种新颖的准谐振型电流陡脉冲整形电路[J].中国电机工程学报,2006,26(5):70-75.
[6] 齐林.时间域航空电磁法发射机关键技术与实验[D].长春:吉林大学,2012.
[7] 付志红,周雒维,苏向丰.瞬变电磁发射机中的电流脉冲整形技术[J].电力电子技术,2006,40(1):108-110.
[8] 李翰荪.电路分析基础[M].4版.北京:北京高等教育出版社, 2006.
WANG Guangjun1, MIN Deshun2
(1.School of Automation, China University of Geosciences(Wuhan), Wuhan 430074, China;2.School of Mechanical Engineering and Electronic Information, China University of Geosciences(Wuhan), Wuhan 430074, China)
Abstract:In view of problem that turn-off time of emission current of transient electromagnetic transmitter is overlong caused by parasitic inductance of the transmitter coils, a novel fast turn-off circuit was designed. During the decline of transmitting current, the fast turn-off circuit uses transistors to provide an additional new discharge circuit, which takes advantages of its large resistance and low discharge time constant to realize quick turn-off of the transmitting current. The results of simulation and experiment show that the novel circuit can decrease the turn-off time of transient electromagnetic transmitter effectively with high stability.
Key words:transient electromagnetic transmitter; discharge circuit; time constant; fast turn-off
文章编号:1671-251X(2016)11-0077-04
DOI:10.13272/j.issn.1671-251x.2016.11.019
王广君,闵德顺.一种新型瞬变电磁发射机快速关断电路设计[J].工矿自动化,2016,42(11):77-80.
收稿日期:2016-03-28;
修回日期:2016-07-25;责任编辑:张强。
作者简介:王广君(1964-),男,河南禹州人,教授,博士,主要研究方向为图形处理、模式识别、虚拟仪器、智能仪器与信息处理、数字系统设计, E-mail:gjwang@cug.edu.cn。通信作者:闵德顺(1992-),男,安徽蚌埠人,硕士研究生,主要研究方向为数字系统设计,E-mail:mindeshun@qq.com。
中图分类号:TD608
文献标志码:A
网络出版:时间:2016-10-28 16:33
网络出版地址:http://www.cnki.net/kcms/detail/32.1627.TP.20161028.1633.019.html