赵敏1, 尚鹏辉2
(1.鹤壁汽车工程职业学院 电子工程系, 河南 鹤壁 458030;2.河南理工大学 电气工程与自动化学院, 河南 焦作 454000)
摘要:为了解决采用传统经验模态分解的电缆故障测距方法存在的频带混叠问题,以及基于总体平均经验模态分解的电缆故障测距方法受残留白噪声影响等问题,提出了一种基于补充总体平均经验模态分解的井下配电网电缆故障在线双端行波测距方法。该方法通过补充总体平均经验模态分解提取双端故障行波线模分量的固有模态函数,利用基于瞬时频率突变和模极大值的奇异性检测原理进行行波波头标定,从而实现故障点定位。通过在PSCAD/EMTDC环境下搭建基于频变特性电缆线路的6 kV井下配电网模型并进行仿真,验证了该方法测距精度高,最大测距误差不超过4%。
关键词:井下配电网; 电缆故障定位; 电缆故障测距; 补充总体平均经验模态分解; 行波测距
井下配电网多为数段短电缆构成的干线式纵向网络,因井下环境恶劣,电缆在运行中发生单相接地故障的概率较大。而现有的低压脉冲法、闪络测试法等井下电缆故障测距方法存在可靠性差、测距精度低等问题。
实际应用的电缆故障测距方法大多为离线测量,考虑到井下电力负荷多为一级、二级负荷,一般不允许采用离线测量,且离线法最大的问题是部分故障难以在高压冲击下再现,从而造成测距失败,此外,多次注入高压脉冲会影响整根电缆的寿命,因此,在线行波测距对于井下电缆故障测距具有重要的工程实用价值[1]。行波测距的关键在于波头到达时刻的准确标定和行波波速的确定。目前主要采用小波分析方法来提取故障行波波头[2-6],但小波分析结果受小波基种类、采样率及分解尺度等因素的影响,理论上有无限多种小波基,如不能详尽分析其特点并结合行波信号特征选取合适的小波基函数,就难以得到满意的结果[7]。经验模态分解(Empirical Mode Decomposition,EMD)方法是一种能够有效分析处理非平稳信号的自适应分解算法,其将信号分解成若干个固有模态函数(Intrinsic Mode Function, IMF)分量,通过分析各分量的时频特性,有效地对各频率成分进行分离,对非平稳、非线性信号具有良好的时频聚集性。该方法能够克服小波分析方法需要人为选取小波基及分解尺度的缺点,在非平稳信号处理方面得到了一定的应用[8]。但EMD存在模态混叠问题,即1个IMF分量中包含差异很大的特征时间尺度,或者相近的特征时间尺度分布在不同的IMF分量中。为了抑制模态混叠,参考文献[9]提出了总体平均经验模态分解(Ensemble EMD,EEMD),其是一种噪声辅助的数据分析方法,能够很好地还原信号的本质。但EEMD方法无法将原信号添加的白噪声完全中和,导致分解产生的IMF分量残留部分白噪声,无法获得纯净的模态分量。为了解决上述问题并提高运算效率,参考文献[10-11]提出了补充总体平均经验模态分解(Complementary EEMD, CEEMD),该方法能够有效解决EMD分解存在的模态混叠问题,并且几乎消除了残留白噪声的影响。
本文提出了一种基于CEEMD的井下配电网电缆故障在线双端行波测距方法,并通过PSCAD仿真模型验证了该方法可行,且具有较高的定位精度。
EMD分解是将行波信号x(t)(t为时间)分解为若干个IMF分量ci(t)和余量r(t)之和,即
(1)
式中n为IMF分量个数。
EEMD实质是在原始信号上叠加高斯白噪声,进行多次EMD,取IMF分量的均值作为最终结果。该方法利用高斯白噪声的统计特性,使得加入噪声后的信号在不同频率尺度上具有连续性,有效解决了EMD的模态混叠问题。CEEMD通过向原信号成对添加符号相异的白噪声,再对添加白噪声的2组信号分别执行EMD,以抑制模态混叠和残留白噪声的影响[12]。CEEMD具体步骤如下。
(1) 在原始行波信号x(t)中加入模值相等的正、负2组白噪声序列N(t)与-N(t),得
(2)
(3)
式中x1(t),x2(t)分别为加入了正、负白噪声后的信号。
(2) 对x1(t),x2(t)分别进行EMD,得到分解后的模态函数序列cj+(t),cj-(t)。
(3) 重复步骤(1)、步骤(2)M(M=200)次,并进行集总平均,得x1(t),x2(t)分解后的IMF分量均值分别为
(4)
(5)
则x(t)分解后的IMF分量均值为
(6)
式中:cp(t)为IMF分量;m为IMF分量个数。
电缆发生故障时产生广域频带的暂态信号,故障行波含有丰富的高频分量;不同模量、不同频率的行波信号传播速度不一,导致行波波头在传播过程中发生畸变,影响波头的精确标定。本文采用色散较小的行波线模分量进行行波波头检测[13]。
2.1 行波线模分量的提取
电缆三相之间存在复杂的电磁耦合关系,因此,需对提取的故障行波信号进行解耦。本文采用凯伦贝尔变换实现故障行波信号解耦。解耦过程:

(7)

(8)
式中:I0,Iα,Iβ分别为解耦后的零模电流、α模电流和β模电流分量;IA,IB,IC为线路三相电流。
α模和β模分量称为线模分量。进一步可得出行波在不同模量下的波速方程:

(9)
式中:v0,v1分别为行波的零模波速和线模波速;L0,C0为电缆线路的零模参数;L1,C1为电缆线路的线模参数。
2.2 行波波头到达时刻的标定
由故障点产生的行波到达测量端时,行波电压和电流都将发生尖锐变化,行波波头在时频图中表现为高频突变,突变点即为波头位置[14]。为了进行对比,本文采用2种算法进行波头标定。算法1(基于瞬时频率突变的奇异性检测算法):对行波线模分量进行CEEMD分解,提取第1次分解得到的IMF分量均值进行Hilbert变换,得到其时频图,则时频图上第1个频率突变点位置即为故障行波波头到达时刻。算法2(基于模极大值的奇异性检测算法):对行波线模分量进行CEEMD分解,取其第1次分解得到的IMF分量均值,求取该分量相邻的极大值点和极小值点的幅值差的绝对值,以及相邻极大值点与极小值点的时间间隔,则幅值差的绝对值最大且极值点时间间隔最小处定为信号奇异值点,即为波头到达位置。
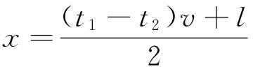
2.3 双端行波测距
双端行波测距方法具有原理简单、定位精度高等优点。其原理如图1所示。

图1 双端行波测距原理
图1中,F为故障点,t1,t2分别为故障行波到达M端和N端的时间,l为电缆全长,x为M端与故障点距离。设v为行波波速,则电缆故障测距方程为
(10)
3.1 仿真建模
采用PSCAD/EMTDC软件搭建井下6 kV配电网模型。选用具有依频特性的分布参数电缆模型,具体参数:土壤电阻率为100 Ω/m,温度为20 ℃,3根电缆呈三角形排列,轴心距为0.4 m;导体电阻率为1.78×10-8 Ω/m,实际截面积为0.000 332 m2,外径为0.020 9 m,相对磁导率为1;护套电阻率为1.78×10-8 Ω/m,实际截面积为0.000 169 m2,内径为0.065 8 m,外径为0.069 8 m,相对磁导率为1;内绝缘层内径为0.023 3 m,外径为0.060 6 m,相对介电常数为2.3;外绝缘层内径为0.069 8 m,外径为0.077 8 m,相对介电常数为2.25。
根据以上参数并参考文献[15],可计算出该模型中行波线模波速v1=198.26 m/μs。
3.2 算例仿真
设电缆长度为1 km,分别在距首端0.1,0.2,0.5,0.8,0.9 km处发生单相接地故障,设置不同过渡电阻进行仿真分析,仿真时长为0.05 s,在0.02 s发生故障,采样频率为1 MHz。
对故障点距首端0.2 km处、过渡电阻为10 Ω的算例进行具体仿真分析,步骤如下。
(1) 运行仿真模型,得到A相发生接地故障时电流波形,其中首端电流波形如图2所示。

(a) 三相电流波形

(b) 故障电流局部放大波形
图2 A相接地时电缆首端电流波形
(2) 分别对双端采样的三相电流进行相模变换,求出其α模分量,提取t=0.019 8~0.020 4 s的电流行波α模分量进行分析。双端行波线模分量如图3所示。

图3 双端行波线模分量
(3) 对提取的双端行波线模分量分别进行CEEMD,其中末端行波线模分量分解结果如图4所示,其中IMFp为第p(p=1,2,…,6)个IMF分量均值。
(4) 对于双端行波线模分量分解后的首个IMF分量均值,利用Hilbert变换法求取其时频图,通过瞬时频率的突变点标定波头到达时刻(算法1)。首末两端的波头到达时刻标定结果如图5所示。
从图5可看出,首端检测到的波头到达时刻为第211个采样点,末端检测到的波头到达时刻为第241个采样点。可计算出故障点距首端202.61 m,相对误差为1.305%。

图4 末端行波线模分量CEEMD结果

(a) 首端波头到达点标定

(b) 末端波头到达点标定
图5 波头标定算法1标定结果
(5) 对于双端行波线模分量分解后的首个IMF分量均值,利用基于模极大值原理的检测方法(算法2)进行波头标定,其第1个模极大值点即为波头到达时刻。首末两端的波头到达时刻标定结果如图6所示。
从图6可看出,首端检测到的波头到达时刻为第212个采样点,末端检测到的波头到达时刻为第242个采样点,计算得故障点距离首端202.61 m,与算法1结果一致。
为了进一步验证本文方法的有效性和测距精度,对不同过渡电阻和不同故障位置的情况,分别利用2种波头标定算法进行电缆故障测距仿真计算,结果见表1。

(a) 首端波头到达点标定

(b) 末端波头到达点标定
图6 波头标定算法2标定结果
表1 故障测距结果

从表1可看出,本文提出的电缆故障在线双端行波测距方法基本不受故障电阻影响,且最大相对误差不超过4%,无论故障靠近首端、中点、末端,均能准确定位,且具有较高的测距精度。
为了对比分析本文方法较传统EMD方法的优势,对不同过渡电阻和不同故障位置的情况,分别采用本文方法和基于传统EMD的电缆故障测距方法进行仿真计算,结果见表2。
从表2可看出,本文方法较基于EMD的电缆故障测距方法在测距精度上有了较大改进,在不同过渡电阻、不同故障位置下均能实现更准确的定位。
表2 2种方法的测距结果对比

为了抑制传统EMD频带混叠及EEMD分解的IMF分量残留白噪声等问题,采用CEEMD对行波线模分量进行分解,并利用基于瞬时频率突变和模极大值的奇异性检测原理进行行波波头标定,提出了一种基于CEEMD的井下配电网电缆故障在线双端行波测距方法。考虑电缆线路参数频变特性对行波传播特性的影响,采用PSCAD/EMTDC软件建立了基于频变电缆模型的6 kV井下配电模型,对不同故障位置、不同过渡电阻的单相接地故障进行了仿真计算。仿真结果表明,本文方法能有效提取到行波信号的奇异性特征,精确地标定波头到达时刻,且不受故障点过渡电阻影响,最大定位误差不超过4%。
参考文献:
[1] 刘洋,曹云东,侯春光.基于经验模态分解及维格纳威尔分布的电缆双端故障定位算法[J].中国电机工程学报,2015,35(16):4086-4093.
[2] 覃剑,黄震,邱宇峰,等.基于小波变换的同杆并架双回线双端行波故障测距[J].电力系统自动化,2004,28(5):51-55.
[3] 周湶,卢毅,廖瑞金,等.基于小波包提取算法和相关分析的电缆双端行波测距[J].电力系统保护与控制,2012,40(1):1-4.
[4] 王敏,王磊,陈平.基于行波原理的10 kV电缆单环网故障测距研究[J].电力系统保护与控制,2013,41(6):38-42.
[5] 周湶,卢毅,李剑,等.小波包提取算法和相关分析用于电缆双端行波测距[J].高电压技术,2011,37(7):1695-1699.
[6] 覃剑,陈祥训,郑健超,等.利用小波变换的双端行波测距新方法[J].中国电机工程学报,2000,20(8):7-11.
[7] 黄子俊,陈允平.行波故障定位中小波基的选择[J].电力系统自动化,2006,30(3):61-64.
[8] 王述仲.基于快速本征模态分解的电力系统短期负荷预测[J].中国电机工程学报,2013,33(增刊1):79-84.
[9] WU Z H,HUANG N E. Ensemble empirical mode decomposition:a noise assisted data analysis method [J].Advances in Adaptive Data Analysis,2011,1(1):1-41.
[10] YEH J R,SHIEH J S,NORDEN E,et al.Complementary ensemble empirical mode decomposition:a noise enhanced data analysis method[J].Advances in Adaptive Data Analysis,2012,2(2):135-156.
[11] 唐贵基,王晓龙.基于EEMD降噪和1.5维能量谱的滚动轴承故障诊断研究[J].振动与冲击,2014,33(1):6-10.
[12] HUANG N E,WU Z.A review on Hilbert-Huang transform:Method and its applications to geophysical studies[J].Reviews of Geophysics,2008,46(2):2008.
[13] 束洪春,孙涛.电缆-架空线混合线路故障行波测距新方法[J].电力自动化设备,2008,28(10):1-7.
[14] 张小丽,曾祥君,马洪江,等.基于Hilbert-Huang变换的电网故障行波定位方法[J].电力系统自动化,2008,32(8):64-68.
[15] 束洪春,田鑫萃,董俊,等.利用故障特征频带和TT变换的电缆单端行波测距[J].中国电机工程学报,2013,36(22):103-112.
ZHAO Min1, SHANG Penghui2
(1.Department of Electronic Engineering, Hebi Automotive Engineering Professional College,Hebi 458030, China; 2.School of Electrical Engineering and Automation,Henan Polytechnic University, Jiaozuo 454000, China)
Abstract:In order to solve problems of block overlap of frequency bands in cable fault ranging method based on empirical mode decomposition and effect of residual white noise in the one based on ensemble empirical mode decomposition, an online cable fault ranging method by double-end traveling wave for underground distribution network was proposed which was based on complementary ensemble empirical mode decomposition (CEEMD). The method extracts intrinsic mode function of line model components of double-end fault traveling wave by CEEMD, and uses singularity detection principle based on instantaneous frequency mutation and modulus maxima to demarcate the wave head, so as to realize fault location. A 6 kV underground distribution network model was built in PSCAD/EMTDC software which was based on frequency characteristic of cable line. The simulation result shows the method has high ranging precision, and the max ranging error is no more than 4%.
Key words:underground distribution network; cable fault location; cable fault ranging; complementary ensemble empirical mode decomposition; traveling-wave ranging
文章编号:1671-251X(2016)11-0050-06
DOI:10.13272/j.issn.1671-251x.2016.11.012
赵敏,尚鹏辉.井下配电网电缆故障在线双端行波测距方法[J].工矿自动化,2016,42(11):50-55.
收稿日期:2016-07-06;
修回日期:2016-09-24;责任编辑:李明。
基金项目:河南省重点科技攻关计划资助项目(152102210198)。
作者简介:赵敏(1983-),女,河南鹤壁人,讲师,硕士,主要研究方向为电力系统运行与控制,E-mail:zhaomin0392@126.com。
中图分类号:TD60
文献标志码:A
网络出版:时间:2016-10-28 16:28
网络出版地址:http://www.cnki.net/kcms/detail/32.1627.TP.20161028.1628.012.html