实验研究
贾依帛1, 杜雪珂1, 王金凤1, 冯立杰1,2
(1.郑州大学 管理工程学院, 河南 郑州 450001;2.河南省煤层气开发利用有限公司, 河南 郑州 450016)
摘要:针对煤矿生产物流系统动态时序、复杂多变及不确定性的特征,充分考虑煤矿生产物流各子系统的客观因素,确定了煤矿生产物流系统安全资源指标体系;采用信息熵方法对各安全资源指标进行定量化计算分析,构建了基于最大信息熵的安全资源配置模型,研究了安全资源的合理优化配置问题。实例应用结果表明,运输子系统及排水子系统属于重点增加安全资源投入的子系统,开采子系统及通风子系统属于削减安全资源投入的子系统。运用最大信息熵方法进行安全资源配置,可为提高煤矿安全生产水平、优化煤矿安全资源配置提供理论支持。
关键词:煤矿生产物流; 最大信息熵; 安全资源指标; 安全资源配置
煤矿生产物流系统是一个多环节、多工序、多种物流并存且生产过程复杂的系统,既受地理环境影响,也受材料、设备、人员、风、水、电等影响[1]。为了保证煤矿生产物流系统处于可持续生产的状态,必要的安全资源投入是确保其安全高效生产的重要前提[2]。然而,通常煤炭企业在资源配置时存在较强的主观性,将有限的安全资源不分重点地投入到生产中,就会使某一子系统的安全资源投入偏多,其他子系统的安全资源投入不足,导致安全资源配置失衡,从而引发安全事故,严重制约了煤炭企业安全水平的提高。因此,对煤矿生产物流系统安全资源进行合理的优化配置,有利于保证其在安全高效的状态下可持续运转。
目前,针对煤矿生产物流系统安全资源配置研究的文献较少,已有文献大多是根据安全水平影响因素配置安全资源,或是在资源配置效率评价、人员资源配置及应急资源配置等方面,采用因子分析、神经网络方法、DEA方法及多目标规划等方法解决整体资源配置评价问题[3-6]。然而,资源配置是一个复杂多变的动态过程,存在较多的人为因素,而上述研究建立在整体性分析的基础上,较少考虑将复杂不确定系统进行结构化分层,难以清晰、公平、合理地进行安全资源配置。因此,本文在保证公平合理的前提下,结合煤矿生产物流系统动态时序、复杂多变及不确定性的特征,采用信息熵方法[7-9]对煤矿生产物流系统各安全资源指标进行定量化计算分析,建立基于最大信息熵的安全资源配置模型,以期能够有效指导煤矿生产物流系统安全资源的优化配置。
煤矿生产物流系统是一个多种物流并存且由各级子系统相互交叉形成的复杂大系统,可分解为风、水、人员、动力、煤炭、矸石及材料等7种物流形态,不同物流形态间有耦合关系且相对独立。因此,根据煤炭生产过程的不同物流形态,将煤矿生产物流系统划分为7个子系统:开采子系统、储存子系统、装卸子系统、运输子系统、通风子系统、排水子系统及其他辅助子系统[10]。
煤矿生产物流系统安全资源主要指为确保煤炭生产企业处于安全高效的生产状态,在一定时期内对相应物力、财力等无形及有形物质的投入[11]。由于安全资源配置的过程与结果受到人员、设备、环境及管理水平等多因素影响,且上述因素的状态受到煤炭生产企业对其所做投入的制约,不同的安全资源投入组合制约着系统的安全资源配置效果。本文根据安全资源的投入情况,从合理配置安全资源的角度出发,选取人员、设备、环境、管理等因素作为安全资源配置的基础指标Zij(其中i为子系统个数,i=1,2,…,7;j为指标数,j=1,2,3,4),构建煤矿生产物流子系统安全资源配置指标体系,见表1。
表1 煤矿生产物流系统安全资源配置指标体系

为了确保煤矿生产物流系统安全高效运转,其重点在于公平合理地优化系统安全资源配置。由于煤矿生产物流系统由开采、储存、装卸等7个子系统构成,如何将有限的安全资源在煤矿生产物流的7个子系统中进行合理优化配置成为亟待解决的核心问题。本文在对煤矿生产物流系统进行安全资源配置的过程中,首先运用熵值法确定各个指标的重要程度,即权重系数,以求取各个安全资源指标分配量的加权信息熵总和最大值的函数作为该模型的目标函数;其次,设子系统安全资源分配量为决策变量,在安全资源总量增加和各子系统所需安全资源分配量的约束条件下进行优化求解,最终求出各子系统安全资源的最优分配组合,实现系统内各子系统安全资源的合理配置。
2.1 信息熵基本原理
信息熵方法可用于处理复杂不确定系统概率分布问题[12],它表示任何一种能量在空间中分布的均匀程度。对于一个不确定系统,信息熵方法可以用来评价系统的均衡性。信息熵方法的核心内容是指对于一个不确定的复杂大系统,用随机变量X表示它的状态特征,对于离散型随机变量,假设X的取值为X={x1,x2,…,xn}(n≥2),则每一取值对应的概率
pi=1,得到该系统最终的信息熵计算公式为[13]
(1)
本文利用信息熵方法计算每项安全资源分配量的信息熵大小,得到所选取安全资源指标分配量在各个子系统间的差异化水平:安全资源指标分配量的信息熵值越大,表示各子系统间的安全资源配置越均衡,各个子系统间的安全资源指标分配量的差异越小,从而衡量各子系统安全资源指标分配量的差异程度[14]。
2.2 模型构建
(1) 信息熵值及权重确定。由信息熵理论可知,信息熵用于衡量信息的不确定性,若某一指标的熵值越小,说明该指标对系统所起的作用越大,应赋予该指标较大的权重。对于第j项安全资源指标,各子系统中该指标值的差异性越小,那么该指标的信息熵值越大,当各子系统的该项指标值全部相等时,该指标的信息熵值为最大,即ej=1,表示该项指标与安全资源配置无关系。反之,则表示该项指标与安全资源配置之间关系越大。本文利用熵权法确定安全资源指标的权重,依据指标的熵值大小ej与该指标下各子系统的偏差程度之间的关系,定义指标j的差异因数为
(2)
gj越大,表示第j项指标越重要。若共有n项指标用差异因数gj来确定第j项指标的权重,则其权重为
(3)
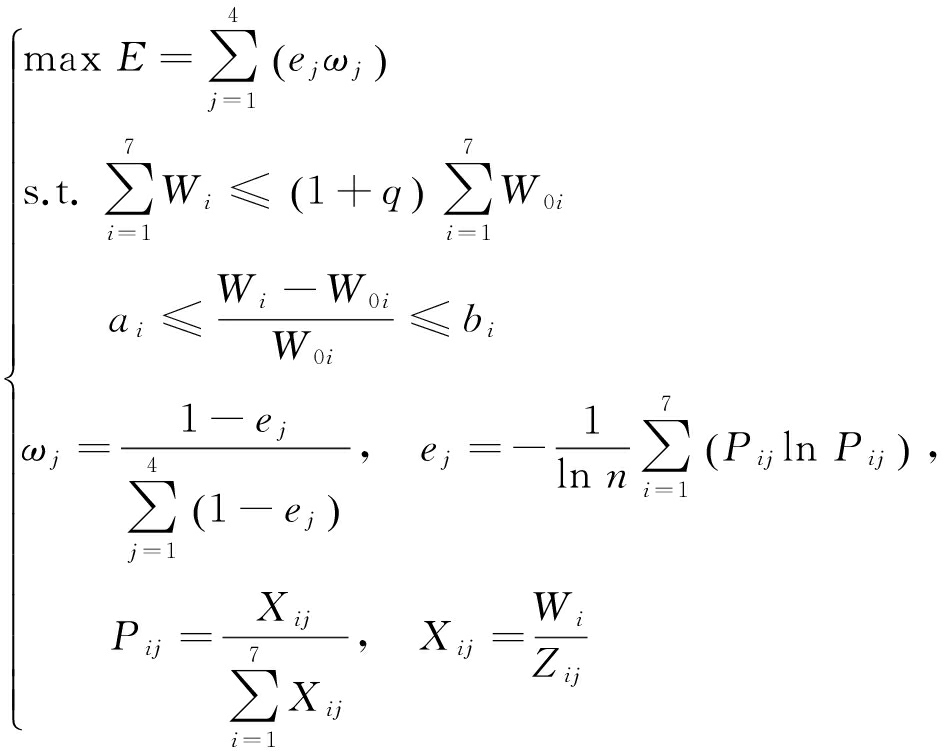
(2) 目标函数。将各子系统安全资源分配量作为决策变量,分别计算每个资源指标的信息熵值,运用熵权法得到每个资源指标权重,以每个指标的安全资源分配量对应的信息熵值加权总和E最大化作为目标函数:
(4)
各子系统安全资源分配量占该资源总量的比重Pij及各安全资源指标的单位安全资源分配量Xij计算公式如下:

(5)
(6)
式中Wi为第i个子系统内安全资源分配量。
各子系统安全资源分配量的信息熵值ej为
(7)
第j项指标的权重ωj为

(8)
(3) 约束条件。安全资源总投入增加约束:为了提高系统整体的安全生产水平,煤矿生产物流系统拟于2016年增加总安全资源投入量,增加的安全资源投入量比例不超过q,可得
(9)
式中W0i为第i个子系统安全资源投入量的实际值。
各子系统基于现状的安全资源投入增加比例约束:鉴于煤矿生产物流系统中存在不同物流形态的7个子系统,其各自对安全资源投入量的需求不同,根据某矿业集团对各个子系统基于现状的安全资源投入量增加比例要求,可得
(10)
式中ai,bi分别为第i个子系统安全资源投入增加比例的可行上限和下限。
最后,确定安全资源配置模型如下[15]:

(11)
本文选取某矿业集团下属M煤矿生产物流系统(以下简称M系统)作为分析对象,M系统于2015年投入安全资源总量为953万元。为使M系统处于安全高效的可持续生产状态,预计在2015年安全资源总投入的基础上最多增加29%作为2016年安全资源总投入。将获取的相关数据代入已构建的基于信息熵的煤矿生产物流系统安全资源配置模型并求解,并对资源配置前后的安全资源分配比例进行对比分析,提出合理可行的资源配置方案。
3.1 数据收集及处理
2015年M系统安全资源指标初始投入量见表2。
表2 2015年M系统安全资源指标初始投入量
万元

3.2 模型构建及求解
将表2数据代入式(11),得到最终的安全资源配置模型:

(12)
根据表2中的数据,利用最大信息熵理论求解,得到了2015年影响安全资源配置的各安全资源指标的信息熵及对应的加权信息熵总和,见表3。
表3 2015年M系统安全资源指标信息熵结果

从表3可看出,人员及管理因素的信息熵值较低,表明各个子系统在人员及管理方面的安全资源分配极为不协调;运输子系统属于煤矿生产物流的重要系统之一,在人员方面分配的安全资源最少;设备、环境因素的信息熵比较高,说明各子系统安全资源在设备及环境方面的分配合理且相对均衡。
按照煤矿生产物流系统安全资源配置信息熵模型,利用Matlab软件求解,可得安全资源各指标信息熵优化结果及具体配置方案,见表4、表5。
表4 M系统安全资源各指标的信息熵优化结果

表5 M系统安全资源配置优化结果

3.3 结果分析
从表4可看出,设备和环境因素的安全资源分配量基本处于平衡状态,因此,随着安全资源投入量的增加,设备和环境因素2项指标的信息熵值变化程度较小。从表5可看出,安全资源总量增加16.42%时,信息熵值加权和最大,得到最佳安全资源配置方案:2016年安全资源总投入量为1 109.48万元,7个子系统的安全资源分配量分别为164.72,146.74,172.97,175.52,158.97,173.50,117.06万元。对于各子系统而言,具体分析如下:
(1) 运输及排水子系统的增加比例较大,属于重点增加投入子系统,结合表2可知,其安全资源分配量偏低。运输子系统的最低安全资源分配量占安全资源总量的17.84%,而在人员方面的分配只有10.76%,在管理方面的分配仅为13.31%;排水子系统的最低安全资源分配量占安全资源总量的15.03%,而在人员方面的分配只有11.54%,在管理方面的分配仅为11.35%,从而造成这些子系统实际的安全资源分配不能满足最低安全资源配置量,应加大在人员和管理两方面的安全资源投入量。因此,对于运输子系统和排水子系统安全资源投入量的增加比例较大。
(2) 开采子系统及通风子系统的安全资源投入量过多,2个子系统均存在资源冗余现象。其原因:开采子系统最低安全资源分配量只占安全资源总量的14.43%,而在管理方面的分配已达为16.87%;通风子系统最低安全资源分配量占安全资源总量的14.41%,在人员及管理方面的分配分别达18.45%和16.87%,应适当削减安全资源投入力度,因此,开采子系统及通风子系统安全资源增加比例较小。
(3) 储存、装卸及其他辅助子系统的安全资源分配量较为合理。分析表2可得,储存、装卸及其他辅助子系统在人员、设备、环境和管理等方面的安全资源分配量比例均与其最低的安全资源分配量占安全资源总量的比例相一致,因此,2016年安全资源分配增加比例与原有比例相差不大。
合理地配置煤矿生产物流系统安全资源是当今研究的热点问题。运用信息熵的概念及原理,把与煤矿生产物流系统安全资源配置紧密联系的各个影响因素转化为具有公平合理特性的指标,构建了各个指标的信息熵最大加权和目标函数及相关约束条件,研究了安全资源的合理优化配置问题。研究结果表明,确定各子系统的安全资源分配量,进行合理的安全资源优化配置,能够保证煤矿生产物流系统安全、高效、可持续运转。然而,影响安全资源配置的因素复杂且众多,已选的影响信息熵值的相关因素不够全面,因此,仍需从多角度选取并确定影响安全资源配置信息熵值的因素,这是下一步的研究重点。
参考文献:
[1] FENG Yicheng. Research on internal control evaluation for coal mine production logistics based on management entropy[J]. Advanced Materials Research, 2014,23(10):172-178.
[2] 王金凤,杨利峰,翟雪琪,等.基于粗糙集和IPA的煤矿生产物流系统安全影响因素分析[J].安全与环境学报,2015,15(4):6-11.
[3] 王金凤,杜雪珂,冯立杰,等.煤矿生产物流系统安全资源配置随机规划模型[J].中国安全科学学报,2015,25(3):16-22.
[4] TONG Lei, DING Rijia. Efficiency assessment of coal mine safety input by data envelopment analysis[J]. Journal of China University of Mining and Technology, 2008,18(5):88-92.
[5] 高艳芬,贾明涛,陈忠强,等.我国煤炭企业安全效率评价及其优化[J].安全与环境学报,2014,14(4):134-136.
[6] SZCZERBICKI E,CHARLTON G.System modelling and simulation for a coal mine[J].Systems Analysis Modelling Simulation,2001,40(1):111-123.
[7] DENIS S S,IGOR S S.Information entropy of oxygen allotropes,a still open discussion about the closed form of ozone[J]. Computational and Theoretical Chemistry,2015,1073(12):61-66.
[8] ZHAO Jingjing, CHAI Lihe. A novel approach for urbanization level evaluation based on information entropy principle:A case of Beijing[J]. Physica A:Statistical Mechanics and its Applications, 2015,430(15):114-125.
[9] 李秦阳,汪金燕,矫卫红.基于信息熵-区间数TOPSIS的省际竞争力评价[J].统计与决策,2015(6):63-65.
[10] 陈云翔,董骁雄,项华春,等.基于信息熵的群组聚类组合赋权法[J].中国管理科学,2015,23(6):142-146.
[11] LIU Quanlong, LI Xinchun, HASSALL M. Evolutionary game analysis and stability control scenarios of coal mine safety inspection system in China based on system dynamics[J]. Safety Science, 2015,80(12):13-22.
[12] 周德群,王梅,张钦.基于熵的区域碳排放总量企业间分配研究[J].北京理工大学学报(社会科学版),2015,17(3):16-22.
[13] PAN Yanbo, YANG Bolun, ZHOU Xiaowei. Feedstock molecular reconstruction for secondary reactions of fluid catalytic cracking gasoline by maximum information entropy method[J]. Chemical Engineering Journal, 2015,281(1):945-952.
[14] 刘红琴,丁哲,王泳璇,等.基于信息熵的省域内能源消费总量分配研究[J].长江流域资源与环境,2014,23(4):482-489.
[15] 姚晓阳,孙晓蕾,吴登生,等.基于互信息熵的国家风险相关性研究[J].系统工程理论与实践,2015,25(7):1657-1665.
JIA Yibo1, DU Xueke1, WANG Jinfeng1, FENG Lijie1,2
(1.Administrative Engineering College, Zhengzhou University, Zhengzhou 450001, China;2.Henan Provincial Coal Seam Gas Development & Utilization Co., Ltd., Zhengzhou 450016, China)
Abstract:According to characteristics of dynamic time sequence, complexity and uncertainty of coal mine production logistics system, security resources index system of coal mine production logistics system was determined that fully considered objective factors of various subsystems of the coal mine production logistics system, and security resources index was quantitatively calculated and analyzed by information entropy method. The safety resource allocation model based on maximum information entropy was built, and the optimization allocation problem of security resources was studied. Application results of example show that transportation subsystem and drainage subsystem belong to focus on increasing security resources investment, and mining subsystem and ventilation subsystem belong to cut safety resource investment. The safety resource allocation based on maximum information entropy method can provide theoretical support for improving level of coal mine safety production and optimizing coal mine security resource allocation.
Key words:coal mine production logistics; maximum information entropy; security resources idex; security resources allocation
文章编号:1671-251X(2016)11-0033-05
DOI:10.13272/j.issn.1671-251x.2016.11.008
贾依帛,杜雪珂,王金凤,等.基于最大信息熵的煤矿生产物流系统安全资源配置模型研究[J].工矿自动化,2016,42(11):33-37.
收稿日期:2016-05-26;
修回日期:2016-07-26;责任编辑:张强。
基金项目:国家自然科学基金资助项目(71271194);郑州市普通科技攻关计划项目(141PPTGG343)。
作者简介:贾依帛(1991-),男,河南平顶山人,硕士研究生,研究方向为煤矿物流工程、技术创新等,E-mail:445302044@qq.com。
中图分类号:TD67
文献标志码:A
网络出版:时间:2016-10-28 16:25
网络出版地址:http://www.cnki.net/kcms/detail/32.1627.TP.20161028.1625.008.html