於静,莫修权,徐楠
(中国矿业大学 信息与电气工程学院,江苏 徐州 221008)
摘要:提出了一种基于模型预测控制的矿山高压三电平ANPC变频器预测控制方案。该方案采用电流预测控制实现三电平有源中点钳位型高动态性能及单位功率因数控制,根据开关器件损耗选取与电压矢量唯一对应的开关状态。针对控制过程计算量大的问题,提出对系统进行延时补偿控制。仿真和实验结果表明,采用所提控制方案的三电平有源中点钳位型整流器动态响应快,具有良好的静、动态特性。
关键词:变频器预测控制;有源中点钳位型;模型预测控制;延时补偿
网络出版地址:http://www.cnki.net/kcms/detail/32.1627.TP.20160930.0954.002.html
随着现代工业发展对电能需求的日益增长与非可再生能源的日益枯竭,需要对能源进行更为有效的利用。常规不控整流电动机驱动器不能实现能量回馈,也不能实现电动机的四象限运行,而且会向电网注入大量谐波和无功功率,造成严重的电网污染。为实现矿山节能减排,变频调速技术被广泛应用在电动机调速领域。6/10 kV矿用变频器是煤矿生产中最重要的调速控制设备,其变频效果直接关系到矿山机械的运行效率。
电压型PWM变频器因能够实现能量双向流动、功率因数高、谐波电流低等优点得到越来越多的应用。三电平中点钳位型(Neutral Point Clamped,NPC)整流器因输出电压低、容量小等优越性能,在中高压大功率变频调速领域得到广泛应用[1]。但NPC三电平整流器存在功率器件损耗不平衡的问题,很大程度上限制了整流器容量和功率器件开关频率的提升[2]。针对NPC三电平整流器这一缺点,BRUCKNER T[3-4]提出三电平有源中点钳位型(Active Neutral Point Clamped,ANPC)拓扑结构,采用开关功率器件取代三电平NPC拓扑中的钳位二极管,解决了损耗不平衡问题,提高了变换器功率处理能力和可靠性。在相同功率器件下,ANPC拓扑结构的功率处理能力比NPC高20%[5]。PWM整流器控制策略多采用双闭环PI控制,但在控制过程中存在稳定性和快速性相互制约的问题。目前关于ANPC的研究主要集中于通过改变调制方式来调节损耗平衡。在常规PI控制下,参考文献[6]提出在总损耗不变的情况下,根据调制比确定2种PWM方式的作用时间,实现各功率器件之间的损耗均匀分布。参考文献[7]提出了一种结温平衡控制方法,通过计算2种PWM方式下功率器件的结温来选择合适的PWM方式,该方法能够平衡功率器件结温,但在线计算量大,不利于数字控制的实现。
模型预测控制作为一种基于模型的控制策略,具有控制方法易理解、易使用于非线性模型、控制器易实现等优势,已经被广泛应用在电源变换器设备中[8-9]。参考文献[10]对电流环采用预测控制方法取代PI控制,有效地提高了电流响应速度及系统鲁棒性。参考文献[11]对系统进行延时补偿,解决了预测控制计算量大导致的延时问题。参考文献[12]提出电压预测控制方法,解决了电流预测控制计算量大的问题。
本文提出了一种基于模型预测控制的矿山高压三电平ANPC变频器预测控制方案。该控制方案将模型预测控制理论应用到电流环控制设计中,使得三电平ANPC变频器可以实现高性能的动静态特性、零电平最小损耗及单位功率因数控制,便于数字化实现。另外,对系统进行了延时补偿,提高了变频器控制性能。
1.1 ANPC拓扑结构
三电平ANPC主电路拓扑结构如图1所示。其中Ta1—Ta6,Tb1—Tb4,Tc1—Tc4分别表示a,b,c相功率器件;Da1—Da6,Db1—Db4,Dc1—Dc4分别表示a,b,c相反并联二极管。每相桥臂有6个开关器件和反并联二极管,可以输出P,O,N三种电平状态。ANPC采用开关器件取代NPC拓扑中的钳位二极管,产生OU1,OU2,OL1,OL2四种零开关输出状态。a相器件的开关状态Sa1—Sa6见表1,其中1和0分别表示对应器件导通和关断。
1.2 损耗计算
根据功率器件的开关暂态过程,建立器件损耗模型[13]。由于功率器件导通时存在饱和压降和导通电阻,所以会产生导通损耗Pcon:
(1)
式中:v和r分别为器件压降和导通电阻;I为流过功率器件的瞬时电流值。
功率器件在开通或关断过程中会产生开通或关断损耗。快速恢复二极管开通过程中的损耗很小,可忽略不计,在关断时产生反向恢复损耗。在特定的测试条件下,开关损耗Eswitch可表示为

图1 ANPC三电平整流器主电路拓扑结构
表1 ANPC三电平a相开关状态

Eswitch=![]()
[1-Kswitch(125 °C-Tvj)]
(2)
式中:Aswitch,Bswitch,Cswitch为器件开通或关断损耗随电流变化的二次拟合曲线系数;Uce为功率器件实际承受的电压;Ubase为功率器件在特定测试条件下的测试电压;Dswitch为器件开通或关断时测试电压的修正系数;Kswitch为器件开通或关断时的温度修正系数;Tvj为当前功率器件结温。
模型预测控制是一种最优化控制方法,可建立给定电流与实际电流的目标函数,通过在线滚动优化来选取最优开关状态。模型预测基于α-β坐标系进行控制,消除了d-q轴电流耦合。整个控制系统主要包括电流预测、直流侧电容电压预测、零开关状态选取、延时补偿和滚动优化等部分。预测控制结构如图2所示。
2.1 预测控制模型
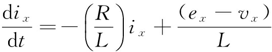
2.1.1 电流预测模型
在两相静止α-β坐标系下,用状态方程表示的整流器动态数学模型为
(3)

图2 预测控制结构
式中:ix为网侧电流;t为时间;R,L分别为网侧等效电阻、电感;ex为网侧输入电压;vx为整流器输出电压;下标x=α表示α轴分量,x=β表示β轴分量。
采用前向欧拉法对式(3)进行离散化,建立离散时间电流预测模型:
(4)
式中
(k+1)为k+1采样周期电流预测值,上标p表示预测值;Ts为控制策略采样周期,t=kTs,k表示当前采样周期。
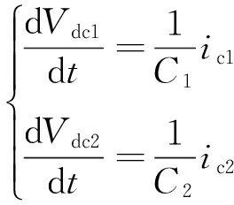
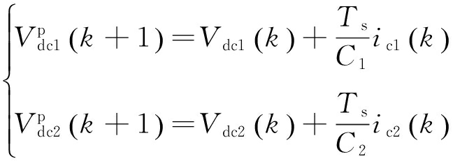
2.1.2 直流侧电容电压预测模型
在直流侧,电容电压用状态方程可以表述成

(5)
式中:ic1,ic2是流过电容C1,C2的电流值,其值与整流器的输出开关状态有关;Vdc1,Vdc2是电容C1,C2端电压值。
采用前向欧拉法将式(5)进行离散化,推导出直流侧电容电压离散方程:

(6)
2.1.3 损耗预测模型
在ANPC中P电平或N电平对应唯一的开关状态,O电平状态对应4种冗余开关状态,因此无法选取电压矢量对应的开关状态。分析在P→O电平情况下功率器件的开关、导通损耗情况,结果见表2。从表2可知,零电平下不同的零开关状态对应的器件损耗分布不同。通过合理分配零开关状态,可以实现功率器件损耗均衡。通过损耗预测模型和最小化目标函数,可以将基本电压矢量转换为唯一对应的开关状态。
表2 P→O方式下的a相器件损耗分布

为降低功率器件总损耗,使损耗均衡分布,零电平单相目标函数J可表示为
(7)
式中
表示第i个器件的预测损耗值。
目标函数J的第1部分表示功率器件平均损耗,第2部分表示每个器件损耗与平均损耗的方差。
根据功率器件的导通、开关损耗数学模型,建立4种零开关状态下功率器件损耗预测模型:
(8)
式中
为功率器件损耗预测值
(k+1)为功率器件开关、导通损耗预测值,可分别表示为
![]()
![]()
(AswitchI2(k+1)+BswitchI(k+1)+Cswitch)
(9)
(10)
式中:I(k+1)为第k+1采样周期流过功率器件的瞬时电流值。
通过损耗预测模型和目标函数,可求得下一采样周期零电平所对应的零开关状态。
2.2 延时补偿
进行模型预测控制数字化时,不能忽略在线计算所耗时间,当前采样周期输出的开关状态无法及时应用于系统,从而产生控制延时,导致系统的控制性能降低,电流谐波含量变大。
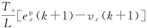
对电流预测控制和损耗预测控制采用二次补偿方法,求第k+1次最优开关状态。在第k+1采样周期开始时刻应用该方法,解决了由于计算导致的时间延迟。
第k+2采样时刻电流预测值为
![]()
![]()
(11)
由于电压变化相对电流变化较慢,可令![]()
第k+2采样时刻损耗预测值为
(12)
2.3 滚动优化
滚动优化的目的是使实际电流较好地跟踪给定电流。在一个采样周期内,获取实际电流和给定电流,利用预测模型对27种基本电压矢量进行电流预测,通过损耗预测模型及损耗预测价值函数选择27种基本电压矢量对应开关状态,再通过目标函数进行滚动优化,得到使动态特性最优的开关状态。
电流环控制目标是使k+2采样时刻电流的预测值与电流给定值尽可能接近,同时尽可能降低中点电位波动对直流侧电流电压不平衡的影响,建立目标函数:
J=![]()
(13)
式中
(k+2)分别为k+2采样周期α,β轴电流给定值;λdc为中点电位平衡的权重因子。
3.1 仿真验证
为验证三电平ANPC变频器预测控制方案的可行性,利用Simulink搭建仿真模型。仿真中整流器参数:网侧电源线电压为380 V,电网基波频率为50 Hz,直流侧给定电压为500 V,交流侧进线电感为10 mH,交流进线电感内阻为0.3 Ω,直流侧负载为100 Ω,直流侧电容为2 200 μF。系统的采样周期为200 μs,平均开关频率为580 Hz。
当系统运行在稳态时,预测控制下NPC和ANPC的a相器件的平均损耗功率Ploss如图3所示。从图3可以看出,在预测控制下,与NPC整流器相比,ANPC功率器件损耗降低,损耗分布更为均衡。

图3 预测控制平均损耗功率
在相同工况下对传统PI控制和预测控制进行对比仿真。仿真中,在t=0.5 s时由不控整流进入PWM整流。图4为传统PI控制下直流母线电压Vdc及a相电压ua、电流ia的仿真波形。由图4(a)可知,由不控整流进入PI控制,到达稳态时调节时间为0.06 s,直流侧电压存在一定超调;图5(b)为a相电压、电流波形,电流调节时间为0.042 s。图5为预测控制仿真波形。图5(a)中由不控整流进入预测控制时,直流母线电压升高154.5 V,调节时间为0.02 s,直流侧电压几乎不存在超调。由图5(b)可见,在预测控制下,电压、电流同相位,整流器可以工作在单位功率因数上,且电流的谐波含量较小,突变时电流经过0.025 s达到稳态。

(a) 直流母线电压波形

(b) a相电压、电流波形
图4 PI控制仿真波形

(a) 直流母线电压波形

(b) a相电压、电流波形
图5 预测控制仿真波形
图6为直流母线电压波形,给定电压突变为510 V时,图6(a)中常规PI控制直流电压存在超
调,而图6(b)中预测控制突变时无超调且能够快速达到稳态。

(a) PI控制

(b) 预测控制
图6 给定电压突变时直流母线电压波形
3.2 实验验证
为验证控制策略的可行性,搭建双三电平ANPC实验平台进行实验研究。实验主要参数与仿真参数相同。实验平台以TMS320F28335为主控芯片,选用IGBT作为主电路功率器件。在实验中,使用Fluke43B电能质量分析仪采集直流侧电压、交流电流波形,对交流电流谐波畸变率进行分析,实验波形如图7所示。图7(a)为直流侧电压实验波形,给定电压突变510 V时,直流侧电压能够快速响应。由图7(b)可知,在负载、给定电压均未发生突变时,a相电流畸变率为3.1%,符合并网要求。图7(c)为网侧a相电压电流波形,稳态时电流波形近似正弦,电压电流同相位,整流器工作在单位功率因数上。由图7(d)可知,负载突变时,电流能够快速响应,且d,q轴电流无耦合,有效解决了PI控制中的电流耦合情况。
研究了一种矿山高压ANPC预测控制方案,通过仿真和实验结果得出,采用预测控制的三电平ANPC整流器具有以下优点:① 无需使用线性控制器和PWM控制模块,计算较简单,容易实现。② ANPC运行损耗相对平衡,可以进一步实现矿用电力系统的节能减排。③ 动态响应快,具有良好的静、动态特性,电流正弦度高。

(a) Vdc*突变直流侧电压波形

(b) 电流畸变率

(c) 网侧电流、电压波形

(d) 电流id,iq波形
图7 实验波形
参考文献:
[1] ABU-RUB H,HOLTZ J,RODRIGUEZ J,et al.Medium-voltage multilevel converters-state of the art,challenges,and requirements in industrial applications[J].IEEE Transactions on Industrial Electronics,2010,57(8):2581-2596.
[2] 景巍,谭国俊,叶宗彬.大功率三电平变频器损耗计算及散热分析[J].电工技术学报,2011,26(2):134-140.
[3] SAYAGO J A,BERNET S,BRUCKNER T.Comparison of medium voltage IGBT-based 3L-ANPC-VSCs[C]//IEEE Annual Power Electronics Specialists Conference,2008.
[4] BRüCKNER T,BERNET S,GüLDNER H.The active NPC converter and its loss-balancing control [J].IEEE Transactions on Industrial Electronics,2005,52(3):855-868.
[5] RODRIGUEZ J,BERNET S,STEIMER P K,et al.A Survey on Neutral-Point-Clamped Inverters[J] .IEEE Transactions on Industrial Electronics,2010,57(7):2219-2230.
[6] 潘延林.ANPC三电平有源电力滤波器研究[D].哈尔滨:哈尔滨工业大学,2015.
[7] 谭国俊,景巍.有源钳位三电平变频器及其结温平衡控制[J].电工技术学报,2012(2):97-102.
[8] 周克敏,多伊尔,格洛弗,等.鲁棒与最优控制[M].北京:国防工业出版社,2006.
[9] KOURO S,CORTES P,VARGAS R,et al.Model predictive control-a simple and powerful method to control power converters [J].IEEE Transactions on Industrial Electronics 2009,56(6):1826-1838.
[10] 马宏伟,李永东,郑泽东,等.电流环模型预测控制在PWM整流器中的应用[J].电工技术学报,2014,29(8):136-141.
[11] 罗德荣,姬小豪,黄晟,等.电压型PWM整流器模型预测直接功率控制[J].电网技术,2014,38(11):3109-3114.
[12] 王萌,施艳艳,沈明辉,等.三相电压型整流器模型电压预测控制[J].电工技术学报,2015,30(16):49-55.
[13] CASSIMERE B,SUDHOFF S D,CASSIMERE B,et al.IGBT and PN junction diode loss modeling for system simulations[C]//IEEE International Conference on Electric Machines and Drives,San Antonio,TX,2005.
[14] SULTANA WR,SAHOO S K,KARTHIKEYAN S P,et al.Comparative analysis of model predictive control and PWM control techniques for VSI[C]//International Conference on Control,Instrumentation,Communication and Computational Technologies,Kanyakumari,2014.
[15] LI K,WAN J,GONG C,et al.An improved predictive current controlled three phase voltage PWM rectifier[C]//IEEE PES Innovative Smart Grid Technologies Tianjin,2012.
[16] GENDRIN M,GAUTHIER J Y,LIN-SHI X.An improved model predictive control for online PWM sequence selection applied on converter[C]// Conference of the IEEE Industrial Electronics Society,Dallas,TX,2014.
YU Jing,MO Xiuquan,XU Nan
(School of Information and Electrical Engineering,China University of Mining and Technology,Xuzhou 221008,China)
Abstract:A predictive control program for mine high-pressure three-level ANPC inverter based on predictive model control was proposed.The program uses current predictive control to achieve three-level ANPC high dynamic performance and unity power factor control,selects switching state corresponding to voltage vector according to switching device loss.For problem of intensive calculated amount,delay compensation control was adopted.The simulation and experimental results show that three-level ANPC rectifier adopting the proposed control scheme has fast dynamic response,good static and dynamic characteristics.
Key words:inverter predictive control; ANPC; model predictive control; delay compensation
文章编号:1671-251X(2016)10-0085-06 DOI:10.13272/j.issn.1671-251x.2016.10.020
於静,莫修权,徐楠.矿山高压三电平ANPC变频器预测控制研究[J].工矿自动化,2016,42(10):85-90.
收稿日期:2016-05-03;
修回日期:2016-08-23;责任编辑:胡娴。
作者简介:於静(1992-),女,江苏南通人,硕士研究生,研究方向为变换器、异步机模型预测控制技术,E-mail:yuyu199204@163.com。
中图分类号:TD611
文献标志码:A 网络出版时间:2016-09-30 09:54