孔维正1,靳宝全1,王宇1,王东1,张红娟2,高妍2
(1.太原理工大学 新型传感器与智能控制教育部与山西省重点实验室,山西 太原 030024;2.太原理工大学 电气与动力工程学院,山西 太原 030024)
摘要:详细介绍了矿用本质安全超声测距电路系统中的驱动电路和回波处理电路的组成和工作机理,通过分析输出电压波形,计算了测距电路系统各储能元件的最大储能。实验结果表明,该测距电路系统中各储能元件的最大储能均小于最小点燃能量,达到了国家有关标准规定的本质安全型要求。
关键词:超声测距;本质安全;储能分析;驱动电路;回波处理电路;最小点燃能量
网络出版地址:http://www.cnki.net/kcms/detail/32.1627.TP.20160930.1002.007.html
超声波因其突出的环境适应能力而被优先使用于燃爆环境下的物位测量、水位测量、流量测量、厂区安全距离预警和特殊车辆倒车雷达等[1-2]。然而在燃爆性环境中,当仪器设备的电路系统中释放的能量高于环境中物质的最小点燃能量时,便会引燃引爆周围的易燃易爆气体,造成严重的安全生产事故。目前,本质安全设备因其安全性最好、使用最方便而成为最佳的防爆手段[3],同时可省去隔爆外壳及其他复杂结构,兼有重量轻、尺寸小、成本低等优点[4],为此,矿用仪器设备的电路系统必须优先考虑进行本质安全化设计[5],以满足实际安全生产需求。
近年来国内学者针对燃爆环境下检测设备的本质安全化开展了很多研究。其中,杨健健等[6]通过解决矿用阻燃电缆模块非本安化难点,设计了矿用本安型振动传感器。赵舒畅等[7]针对本质安全要求设计了一种煤矿运输声光报警装置,然而,目前针对超声测距系统的本质安全设计和研究目前尚且空白。为此,本文采用可实现高低压切换功能的高速光耦器件,设计了矿用超声测距电路系统,再配合本质安全电源电路和阻抗匹配驱动电路,实现了矿用超声测距电路系统的本质安全化设计。通过分析测距电路系统的输出电压波形,计算了测距电路系统各储能元件的最大储能。结果表明,基于高速光耦的本质安全超声测距电路系统中各储能元件的最大储能均小于最小点燃能量,达到了相关国家标准[8]规定的本安要求。
超声测距电路系统包括超声驱动电路和超声回波处理电路2个部分。其中驱动电路对换能器进行驱动,使其发射超声波,回波处理电路对换能器接收的回波进行处理。由于回波处理电路供电电压单一、控制简单,而驱动电路供电电压不同、驱动控制复杂,因此,将供电电路、光耦转换电路、匹配调理电路组合为超声驱动电路,如图1所示。

图1 驱动电路组成
供电电路输入18 V本安直流电压,18 V直流电压连接电阻R2给光耦转换电路中的光耦4N25引脚5供电,并通过18/12 V,12/5 V转换元件输出5 V给单片机C8051F040供电。光耦转换电路从单片机S0输入低压驱动脉冲,并转换为输出约为18 V的高压脉冲U0,在4N25引脚4输出。高压脉冲U0送入匹配调理电路后驱动换能器发射超声波。超声波经障碍物反射回来后经换能器转换为超声回波信号,经匹配调理电路送入回波处理电路处理后输出脉冲信号,单片机检测S0端口发射脉冲时刻和S1端口回波脉冲信号时刻时差Δt,Δt即为超声波飞行时间,按照超声波距离计算公式d=0.5×vΔt(v为超声波在空气中传播速度),计算出换能器与障碍物的距离d。
1.1 供电电路
供电电路如图1所示。由于线性稳压器具有反应速度快、输出纹波小、工作时产生噪声较低等特点,选取线性转压芯片LM7812和AMS1117-5.0作为第1、第2级电压转换电路,将18 V本安直流输入电压分别转换为12 V和5 V输出,其中C1、C2、C3、C4分别为输入端和输出端滤波电容。同时在第1级稳压转换电路的输出端,选择电阻R1及电容C2和C3分别构成了π型RC滤波电路,本安输入电压经过多重滤波后,降低了电压中的谐波分量,减小了供电电路输出直流纹波。
1.2 光耦转换电路
光耦转换电路如图2所示。光耦转换电路输入、输出电压信号分别为Ui和U0,光耦4N25输入电流为iD,当iC≤iD≤iF(iC,iF分别为光耦4N25工作于放大区间的最小电流和最大电流)时,B2脱离截止区而工作于放大区,此时流经B2的电流iB随流经二极管D0的电流iD线性变化,因此,从光耦4N25引脚4输出的电压U0随引脚2端口电压线性变化。

图2 光耦转换电路
由于Ui为一连串低压控制脉冲,为保证输出电压U0随Ui线性变化,流经D0的电流iD应满足如下条件:
(1)
式中:UB为集电极B1的电压;RD为二极管D0导通时的等效电阻。
通过外置电阻R3并选择三极管B1参数,使电流iD工作于式(1)的区间,这样U0随UB线性变化,而UB随Ui线性变化,所以,U0随Ui线性变化,且U0为占空比与Ui相同的高压脉冲。
1.3 匹配调理电路
对超声换能器进行阻抗匹配会提升换能器的电能-机械能和机械能-电能的转换效率[9],换能器匹配调理过程如图3所示。
图3(a)为换能器匹配电路,L1、Cp、Rp分别为匹配电感、电容和电阻。换能器匹配后的电路如图3(b)所示,虚线框内为换能器等效电路,C0为静态电容,Lm和Cm分别为动态电感和动态电容,Rm为串联支路等效电阻。换能器驱动时动态支路等效为电阻Rm。系统驱动时换能器匹配电路如图3(c)所示,驱动时换能器总电路如图3(d)所示,其中RG为二极管D2导通的等效电阻。


图3 超声波换能器匹配过程
如图3所示,对换能器进行匹配时,匹配电感L1与C0有关,为减小匹配电感L1的储能,增加匹配电容Cp可改变L1的大小。经阻抗匹配之后电路总阻抗为
Z=![]()
(2)
式中ω为换能器谐振频率。
为减少Z的虚部造成的无功损耗,应使Z的虚部为0,得到L1的表达式:
(3)
由式(3)可知:阻抗匹配后,电感L1的感抗与C0和Cp的容抗在谐振频率ω处抵消,此时换能器表现为纯电阻,消除了总阻抗虚部的无功损耗。此外,为减小流经电感L1的电流,增加了限流电阻Rp进行分流,以进一步减小电感L1的储能。
发射出的超声波信号遇到障碍物后返回换能器,经机械能-电能转换变为电信号,再经信号调理电路实现对回波电信号的放大与解调,超声回波处理电路如图4所示。其中,A为二级放大,B为滤波放大,C为峰值检测和比较输出。

图4 超声回波处理电路
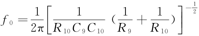
回波经二级放大后,输入滤波放大电路进行滤波和放大,其中滤波放大电路由放大器M1(LM339),外置电阻R9、R10和电容C9、C10构成,电路中心频率为
(4)
通过设置R9、R10、C9、C10可改变电路的中心滤波频率,滤除f0以外频率的杂波。滤波放大后回波送入由C11、C12、R14、R15和二极管D2组成的峰值检测电路,将回波信号整形为幅值连续的回波信号,最后送入比较器M4和直流电压V0进行比较,电压V0取值如下:
(5)
当峰值检测输出回波电压信号的峰值大于V0,比较器M4输出一个高电平脉冲,并送入单片机端口S1,单片机通过检测此脉冲来识别超声波回波。
本质安全电路是指电路在正常和非正常工作时(短路或断路等)都能达到本质安全要求的电路。对电路的本质安全性能进行分析评价的方法有很多种,其中采用最小点燃能量进行定量分析和设计的评价方法可以避免复杂实验,且设计可信度较高[10]。
3.1 驱动电路本质安全参数设计
超声波测距电路系统的驱动电路储能元件(如电感L和电容C等)的储能较大,所以,最难达到本
质安全要求,也是超声波测距电路系统本质安全参数设计的主要考虑因素。驱动电路中电感和电容的储能计算公式如下:

(6)
式中:I为流过电感L的电流;U为电容C两端电压。
按照图3(d)中驱动时的等效电路,设流经电阻RG的电流为i,流经匹配电感L1的电流为iL,对电路分析得到电流i和iL的计算公式:

(7)
电阻Rp和Rm对电流i进行分流,得到iL,将iL代入式(6)得到电容Cp的储存能量WCp和电感L1的储存能量WL1:

(8)
超声驱动电路参数如下:RG=50 Ω,Rp=1 kΩ,Rm=200 Ω。由于U0<UIN,设计时将U0按照UIN值来设计L1和Cp取值范围。依据国家标准,I类(甲烷-空气)点燃最小能量Wmin=0.28 mJ[8],Cp两端储存能量应满足WCp<Wmin,进而得到驱动电路电容Cp取值范围为Cp<0.74 μF。
假定电容Cp同换能器静态电容C0(换能器静态阻抗值约为2 000 pF)数量级大致相同,选取C0=2 200 pF,将电阻RG、Rp、Rm代入式(3),则有L1=167 μH。将L1值代入式(8),得WL1=0.41 μJ,小于Wmin,因此,电感L1参数取值符合本质安全要求。
3.2 回波处理电路本质安全参数设计
由图4可知,回波处理电路最大电压VCC=5 V。根据国家标准[8],电容储量需满足WC<Wmin。依据式(6)可得回波电路中电容最大取值Cmax≤9.96 μF。考虑回波处理电路对电容滤波需求,设计了回波处理电路电容本质安全参数。驱动电路电容Cp和电感L1,供电电路电容C1—C4及回波处理电路C6—C12的本质安全参数设计及对应元件最大储能见表1。
表1 测距电路器件参数及其最大储能

为验证以上本质安全电路系统设计的合理性,按照图1和图4设计了测距电路系统,并选用型号为NU40A25TR的收发一体超声波换能器,同时选择匹配电感L1=167 μH,Cp=2 200 pF。
4.1 正常工作状态波形
驱动电路正常工作时的波形如图5所示,即图1中的波形测试点(a)的测试波形。正常驱动时,驱动电路的最大电压U0(max)为15.5 V,小于设计计算取值(18.0 V)。

图5 驱动电路正常波形
随后测试了回波经二级放大后M2输出的波形,即图4中波形测试点(b)的波形,如图6所示。可观察到回波幅值电压小于VCC(5 V),因此,回波电路中各储能元件的最大储能可依照表1中的最大储能值来考虑。由以上对驱动电路和回波电路的波形分析和计算可知,实测正常工作时电路最大能量与所设计的能量值不同,需要重新计算元件储能。

图6 超声波回波二级放大波形
4.2 非正常工作状态波形
为判定驱动电路在电路非正常时(开路和短路)上电最大能量,测试了电源和驱动电路开路和短路时的电压波形。本质安全电源输入电压UIN在上电瞬间和断电瞬间的电压波形如图7所示。

图7 本质安全电源输入UIN上电和断电瞬间的电压波形
高压驱动脉冲在换能器正端上电瞬间产生的电弧和驱动结束后的电弧放电波形如图8所示,从图8可知,实际驱动脉冲上电瞬间最大电弧电压幅值(U0=15.4 V)大于计算值(U0=15 V)。

图8 驱动时换能器上电和断电电弧波形
4.3 电路本质安全分析和对比
由4.1节和4.2节对超声测距电路系统正常与非正常情况下的波形对比分析可知,参数设计时所选用的电压值和实际电压值不同,所以,需对电路元器件实际储能进行校准。由图5和图8可知,驱动最大电压U0(max)=15.5 V,代入式(8)得WCp=0.26 μJ,WL1=0.41 μJ。由图7可知,本质安全输入电源UIN上电电弧最大幅值约为19.5 V,大于设计电压18.0 V,于是选择将UIN=19.5 V代入式(6)得到电容C1和C2的储能:WC1=19.0 μJ,WC2=18.6 μJ。可知WC1和WC2相对表1中的数值变大。
对于短路时的能量分析,主要考虑容易导致短路情况发生的电阻RG、Rm、Rp对匹配电感L1和电容Cp的储能值变化的影响及电感L1短路时匹配电容Cp的储能变化的影响。电阻RG、Rm、Rp分别短路时,计算电感L1的最大储能为0.47 μJ;电阻RG、Rm、Rp和电感L1分别短路时,Cp的最大储能为
0.26 μJ。
电路正常工作、断路及短路时,各元器件最大储能值如图9所示。图9中,Ⅰ为供电电路区间、Ⅱ为回波处理电路区间、Ⅲ为驱动电路区间的最大储能,横坐标1—13分别代表元件器C1—C4、C6—C12、Cp和L1对应的序号。

图9 设计元件最大储能和元件实际最大储能对比
由图9可知,通过实测波形计算所得储能与设计元器件计算储能相差不大,均小于国家标准规定的最小点燃能量(0.28 mJ)[8],所以,设计的超声测距电路系统符合国家标准规定的本质安全要求。
给出了符合本质安全要求的超声测距电路系统中驱动电路、回波电路及供电电路的设计参数,通过对测距电路系统关键引脚的波形分析,得出了电路系统满足本质安全要求的结论。
参考文献:
[1] 孙利,李庆昭,潘守国.矿用雷达料位计的设计[J].工矿自动化,2012,38(2):56-58.
[2] 戴绍港.基于超声波测距的自动寻迹泊车系统模型设计[J].电子器件,2012(3):204-207.
[3] 赵曼.防爆型电气设备及电路本质安全性能评价[J].电子科技,2013(5):174-176.
[4] 蔡利新.本安电路参数设计及元件要求简介[J].电气防爆,2008(3):21-23.
[5] 张刚.煤矿井下本质安全电气系统设计及技术发展[J].工矿自动化,2012,38(9):27-34.
[6] 杨健健,薛光辉,赵国瑞,等.矿用本安型振动传感器的研制[J].煤炭科学技术,2013,41(2):71-74.
[7] 赵舒畅,曹利波,任玉东.煤矿运输安全声光报警装置设计[J].煤矿机械,2014,35(8):214-217.
[8] GB 3836.1—2010 爆炸性环境设备通用要求[S].
[9] 徐晓伟.压电超声换能器的阻抗匹配分析[J].振动测试与诊断,2014,36(5):745-747.
[10] 孟庆海.爆炸性环境本质安全电路功率判别及非爆炸评价[M].徐州:中国矿业大学出版社,2008.
KONG Weizheng1,JIN Baoquan1,WANG Yu1,WANG Dong1,ZHANG Hongjuan2,GAO Yan2
(1.Key Lab of Advanced Transducers and Intelligent Control System of Ministry of Education, Taiyuan University of Technology,Taiyuan 030024,China;2.College of Electrical and Power Engineering,Taiyuan University of Technology,Taiyuan 030024,China)
Abstract:The paper introduced composition and working mechanism of driving circuit and echo processing circuit of mine-used intrinsic safety type ultrasonic ranging circuit system.By analyzing output voltage waveform,it calculated the maximum energy storage of each energy storage element in the ranging circuit system.The experimental results show that the largest energy storage of each energy storage element is less than the minimum ignition energy in ranging circuit system,which reaches stipulated intrinsic safety request of national standards.
Key words:ultrasonic ranging; intrinsic safety; analysis of energy storage; driving circuit; echo processing circuit; minimum ignition energy
文章编号:1671-251X(2016)10-0065-05 DOI:10.13272/j.issn.1671-251x.2016.10.015
孔维正,靳宝全,王宇,等.矿用本质安全超声测距电路系统设计[J].工矿自动化,2016,42(10):65-69.
收稿日期:2016-04-08;
修回日期:2016-08-22;责任编辑:张强。
基金项目:国家自然科学基金项目(51504161)。
作者简介:孔维正(1990-),男,湖北武汉人,硕士研究生,主要研究方向为煤矿电气安全,E-mail:kwz_mtjs@163.com。
中图分类号:TD685
文献标志码:A 网络出版时间:2016-09-30 10:02