田西方,李云波,肖勇,韩超超
(中煤科工集团重庆研究院有限公司,重庆 400037)
摘要:介绍了矿用本安型无线透地通信系统的组成结构和关键技术,分析了系统的工作原理。该系统采用低频电磁波辐射技术、数字通信技术和本安电源技术,具有体积较小、重量较轻、使用方便的特点。样机实验结果表明,该系统实现了50 m的双向透地通信,通信速率约为150 bit/s,误码率不大于0.2%,具有一定的实用价值。
关键词:无线透地通信;双向通信;应急救援;电磁波辐射;数字通信;本安电源
网络出版地址:http://www.cnki.net/kcms/detail/32.1627.TP.20160930.1010.012.html
煤矿井下活动空间狭小、地质构造复杂、充满爆炸性气体混合物,当发生灾害时,传统通信系统通常会被破坏,造成被困人员和救护人员联络中断,给救援工作造成极大困难[1]。透地通信是一种以地层为通信信道的无线通信技术,不受煤矿灾害的影响,能够实现双向通信,是煤矿安全生产和灾后应急救援的重要通信手段[2-3] ,是煤矿井下无线透地通信系统的新兴研究方向。本文设计了一种矿用本安型无线透地通信系统,该系统采用低频电磁波辐射技术、数字通信技术和本安电源技术,具有体积较小、重量较轻、使用方便的特点[4]。样机测试结果表明,该系统实现了50 m的双向透地通信,为下一步开展文本通信和语音通信提供了研究平台。
矿用本安型无线透地通信系统主要由锂电池、本安电源板、通信主机、发射机、接收机、框形天线和天线切换电路组成,如图1所示。锂电池和本安电源板为系统提供安全稳定的电源供应。通信主机负责控制发射机和接收机的工作。发射机主要由正弦信号发生器、振幅键控电路、电压放大电路、功率放大电路、发射调谐电容和发射电流调节电阻组成。接收机主要由选频电感、接收调谐电容、I/V变换电路、信号调理电路[5]、有源全波整流电路、低通滤波电路和阈值判决电路组成。由于发射机和接收机分时利用同一框形天线,采用天线切换电路来实现发射机或接收机的接通逻辑。

图1 矿用本安型透地通信系统组成结构
矿用本安型无线透地通信系统的关键技术主要有数字通信技术、低频电磁波辐射技术和本安电源技术(可编程数字调制器、高灵敏度微弱信号接收器和本安电源)。
(1) 数字通信技术采用可编程数字调制器,以STC12C5A60S2单片机为核心,以DDS芯片AD9833为正弦载波发生器,以高速模拟开关CD4051为键控电路,采用C51语言对单片机进行编程,并将发送数据变换为已调信号。
(2) 由于接收点的通信信号十分微弱且存在环境噪声干扰,研制高灵敏度微弱信号接收器有助于提高接收机性能。采用LC选频电路抑制干扰并选择有用信号,采用微弱电流放大器OPA129将接收
到的微安级电流信号转换为毫伏级电压信号,信号调理电路主要包括程控放大电路和50 Hz陷波电路,程控放大电路使接收信号的输出幅值稳定在一个区间,50 Hz陷波电路用来抑制工频干扰。
(3) 电源采用容量为6 A·h的锂电池组,并配备本安电源板,为系统提供安全、稳定、持久的供电保障。本安电源板采用两级稳压、两级限流的双重保护电路来限制电源电路的输出功率。本安电源系统原理如图2所示。DC/DC升压电路以LM2577为核心元件搭建,将锂电池组输出的DC3.8 V升高到通信系统的工作电压DC9 V。两级稳压电路以LM317为核心元件搭建,两级限流电路以MAX471和LM311为核心元件搭建。
![]()
图2 本安电源系统原理
2.1 透地信号衰减规律与载波选择
透地通信以大地为通信信道,不同地区的地质构造存在差异,地层中各层的电导率σ和厚度h各不相同。透地通信的电磁波在均匀介质的地层中会发生损耗,在介质不同的2个相邻的地层界面会发生反射和折射,这些现象导致透地通信信号发生衰减。
透地通信系统工作在煤矿,电磁波要在煤层及岩层中传播[6],煤层及岩层属半导电媒质,其平均电导率为10-4~10-1 S/m,电磁波将会发生较大衰减,振幅衰减常数α满足式(1)要求。
(1)
式中:f为电磁波的频率;μs为地层的平均磁导率;σs为地层的平均电导率。
由式(1)可知,对于固定的地层,电磁波的频率f越低,振幅衰减常数α越小,这意味着对于固定功率的发射机和固定灵敏度的接收机,通信距离可以更远。特低频ULF(300~3 000 Hz)和甚低频VLF(3~30 kHz)这2个频段的电磁波具有一定带宽,又具有一定穿透性,适合用作透地通信载波[7]。
2.2 调制与解调方式
矿用本安型无线透地通信系统是可移动式通信设备,采用电池供电,体积和重量不能过大,为此,需要采用相对简单、功耗较低的调制与解调方式。采用二进制振幅键控实现信号调制,由通信主机将通信数据变换为基带波形s(t),采用键控法对载波c(t)进行数字调制,当s(t)为高电平时载波接通,当s(t)为低电平时载波关断,这样获得已调信号u(t)。采用包络检波法进行非相干解调,依次对接收信号进行LC选频、I/V变换、信号调理、全波整流、低通滤波和阈值判决以得到解调波形,然后由通信主机进行数字解码。
2.3 发射机原理
为了减轻系统体积和重量,采用一个框形天线来进行透地通信信号的发射和接收。框形天线由2个部分构成:矿用阻燃电缆和拆卸式碳纤维骨架。当需要进行通信时,将骨架组装成十字形结构,将阻燃电缆固定在骨架的顶端,如图3(a)所示,天线形状固定,电感基本不变,天线和收发系统的匹配变得简单。框形天线内部由N(N≥1)匝绝缘导线绕制而成,边长为a,周长l≪λc(λc为载波波长)。如图3(b)所示,U(t)为发射机末级功率放大器的输出电压,C1为发射电路调谐电容,R2用来调节发射电流;虚线框内为发射天线等效电路,L1为天线电感,R1为天线欧姆损耗电阻,Rr为天线辐射电阻。其中Rr代表发射电路辐射能力,一般有Rr≪R1。

图3 框形天线结构和发射机原理
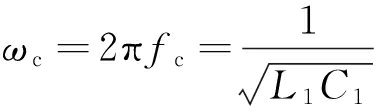
当通信载波频率fc确定后,调节C1,使发射电路达到谐振状态,此时发射回路电流i1(t)达到最大值,载波角频率ωc满足式(2)要求。
(2)
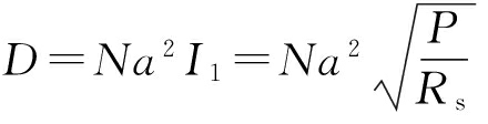
发射电路的辐射能力用电流矩D来衡量,如式(3)所示。
(3)
式中:I1为发射电流有效值;P为发射机功率;Rs为发射回路所有欧姆损耗电阻之和,Rs=R1+R2。
增加天线的边长a和匝数N,提高发射机功率P,或降低发射回路电阻Rs,均有助于提高辐射能力。
2.4 接收机原理
接收机原理如图4所示。收发系统采用同一框形天线,虚线框内为接收天线等效电路,根据法拉第电磁感应定律,框形天线有感应电动势e(t)产生,如式(4)所示。
(4)
式中:μ0为空气磁导率;H为接收点的通信电磁波的磁场强度。
由式(4)可知,对于固定形状的天线,提高通信频率有助于提高接收信号强度,但通信频率不能过高,要符合2.1节的要求。

图4 接收机原理
接收点的信号一般比较微弱,接收电路需要具备良好的选频特性,因此,要提高接收回路的品质因数Q值,在接收回路中串联一个高Q值的选频电感L2,以提高接收电路选择性。感应电动势e(t)在接收回路中产生感应电流i2(t),R3为一个阻值很小的采样电阻,用来将感应电流i2(t)转换为电压u3(t),便于后级电路进一步处理。
根据上述设计方案搭建实验测试样机,系统由2台结构和性能完全相同的设备构成,工作方式为半双工通信。
实验场地示意如图5所示,透地通信的电磁波穿透的地层以泥岩、砂岩和石灰岩为主。将一台设备布置在距离平硐矿井洞口200 m的井巷中间位置A,另一台设备在距离A点的垂直高度为50 m的地面山坡等高面上移动,B点位于A点的正上方,C点、D点和B点的距离均为3 m,E点、F点和B点的距离均为5 m,在B点、C点、D点、E点、F点分别进行5次实验,每次实验时间为10 min,对实验结果求平均值,获得的实验数据见表1。表1中,通信速率1和误码率1表示井下发射、地面接收时的通信指标,通信速率2和误码率2表示地面发射、井下接收时的通信指标。

图5 实验场地示意
从表1可以看出,在以B点为中心、半径为5 m的区域内,通信速率和通信误码率的差异不大;地面发射、井下接收时的通信指标优于井下发射、地面接收时的通信指标,这是由于地面的环境干扰比井下干扰要大。实验结果表明,实验样机实现了50 m的双向透地通信,通信速率约为150 bit/s,误码率不大于0.2%,具有一定的实用价值。
表1 透地通信实验数据

介绍了矿用本安型无线透地通信系统的组成结构和工作原理,并对其关键技术进行了研究。样机实验结果表明,该系统实现了50 m的双向透地通信,通信速率约为150 bit/s,误码率不大于0.2%。上述研究成果将为今后进行文本通信、语音通信和编解码等研究提供良好的实验平台。
参考文献:
[1] 孙红雨,王娜,郭银景,等.透地通信系统研究进展[J].山东科技大学学报(自然科学版),2011,30(3):79-85.
[2] 霍振龙.透地通信系统的现状和主流技术分析[J].工矿自动化,2013,39(9):40-42.
[3] 郝建军,孙晓晨.几种透地通信技术的分析与对比[J].湖南科技大学学报(自然科学版),2014,29(1):59-63.
[4] 李彦博,向新,凌立伟.透地通信系统天线小型化设计与测试[J].工矿自动化,2013,39(7):18-22.
[5] 易滨,刘勇,陈静.矿井透地通信与接收电路运放设计[J].舰船电子工程,2014,34(3):72-75.
[6] 陶晋宜.穿透地层的矿井地下无线通信系统设计方案探析[J].太原理工大学学报,2000,31(1):39-42.
[7] 陶晋宜.甚低频电磁波穿透地层无线通信系统天线装置的研究[J].太原理工大学学报,1999,30(2):139-143.
TIAN Xifang,LI Yunbo,XIAO Yong,HAN Chaochao
(CCTEG Chongqing Research Institute,Chongqing 400037,China)
Abstract:The paper introduced structure and key technologies of mine-used intrinsically safe wireless through-the-earth communication system,and analyzed working principle of the system.The system uses low-frequency electromagnetic radiation technology,digital communication technology and intrinsically safe power supply technology,which has characteristics of smaller volume,lighter weight and easy operation.The test results of prototype show that the system has realized 50 m two-way through-the-earth communication with communication rate of about 150 bit/s and bit error rate of no larger than 0.2%,and has a certain practical value.
Key words:wireless through-the-earth communication; two-way communication; emergency rescue; electromagnetic radiation; digital communication; intrinsically safe power supply
文章编号:1671-251X(2016)10-0044-04 DOI:10.13272/j.issn.1671-251x.2016.10.010
田西方,李云波,肖勇,等.矿用本安型无线透地通信系统设计[J].工矿自动化,2016,42(10):44-47.
收稿日期:2016-04-11;
修回日期:2016-06-22;责任编辑:张强。
基金项目:“十三五”国家科技重大专项(民口)项目(2016ZX05045002-003)。
作者简介:田西方(1988-),男,河南济源人,助理研究员,硕士,研究方向为低频通信、矿井水文物探,E-mail:txf16888@126.com。
中图分类号:TD655
文献标志码:A 网络出版时间:2016-09-30 10:10