李媛媛1,王海艳1,朱青青1,董丽1,钟佩思2
(1.青岛黄海学院 机电工程学院,山东 青岛 266427;2.山东科技大学 机械电子工程学院,山东 青岛 266590)
摘要:针对煤岩条件对掘进机截割头载荷的影响问题,提出采用有限元仿真方法对截割头截割过程进行动态仿真分析。以煤岩普氏系数为煤岩特性参数,经仿真得到不同煤岩条件下的截割头动态载荷,通过分析得到了截割头三向力随煤岩普氏系数的变化规律,即截割头载荷随煤岩普氏系数的增加而增大,且当煤岩的普氏系数增大到一定程度时,截割头的牵引阻力将成为截割头的最大载荷,而侧向力一直处于较低的水平。
关键词:掘进机;截割头;煤岩特性;载荷分析;普氏系数
网络出版地址:http://www.cnki.net/kcms/detail/32.1627.TP.20160930.1016.016.html
在机械化掘进过程中有许多因素都会影响掘进机的性能,主要包括煤岩的物理性质和掘进机本身的结构参数。截割头作为掘进机直接作用于煤岩的工作机构,因工作环境恶劣,截齿磨损、合金刀头脱落甚至截齿折断或丢失等失效形式经常发生,在一些掘进工作面还会出现截割硬度不适应的现象,导致截齿不能合理利用[1]。
有关掘进机破岩方面的研究大多集中于碎岩效果的分析及掘进机械本身结构方面。陈文莉等[2]以破碎的岩片为研究对象,分析了不同掘进机械作用下岩片的粒度及分布规律;宋克志等[3]通过概率统计理论方法对岩碴尺寸及粒径分布进行了研究,掌握了岩石特性和机械参数对其分布规律的影响;H.Copur[4]等通过研究证明了在最佳切削条件下截割比能耗与岩石单轴抗压强度和抗拉强度密切相关;K.Serhat[5]研究发现岩石的特性对截割头瞬时截割率及截割比能耗具有重要影响;N.Bilgin[6]等对倾斜工作面的隧道掘进进行了研究,分析了一些地质和煤岩条件对掘进机截割性能的影响。然而,国内的研究者对于煤岩条件对截割头的载荷影响没有进行系统的阐述,国外研究者大多采用实地试验的方法进行研究,但受截割头工作环境及国内煤矿地质条件复杂等因素制约,在国内进行试验的难度较大[7]。在不同条件的煤岩掘进工作面,如何选取合适型号的掘进机械是煤炭开采领域亟需解决的问题。本文针对煤岩条件对截割头载荷的影响,选用普氏系数作为煤岩特性的定量表征,采用动力学仿真方法对截割头破岩过程进行研究,并对煤岩特性对掘进机截割头载荷的影响程度进行比较分析。
1.1 截齿受力计算
对于截齿切削岩石,常采用载荷计算公式[1]:

(1)
式中:Pzi,Pyi,Pxi分别为截割头上第i个截齿上的截割阻力、牵引阻力、侧向力;p为岩石的接触强度;kT为截齿类型系数;kg为截齿几何形状系数;ky′为刀杆头部形状系数;t为平均截线距;h为平均切削厚度;S为截齿后刃面在牵引方向的投影面积;C1,C2,C3为切屑影响系数。
式(1)中除p外,其余参数值均可按照参考文献[1]选取。岩石的接触强度p与岩石的普氏系数f存在一定的对应关系,见表1。
表1 p与f的对应关系
根据式(1)及表1,可绘制截齿所受的截割阻力、牵引阻力、侧向力与普氏系数f的关系曲线,如图1所示。可看出截齿的截割阻力、侧向力与普氏系数呈线性相关,随着煤岩普氏系数的增大,截割阻力和侧向力变大;截齿的牵引阻力随普氏系数的增大呈指数形式增长。

图1 截齿截割阻力、牵引阻力和侧向力与普氏系数的关系
1.2 截割头载荷计算
根据单个截齿的受力计算,将截割头任意时刻参与截割的各截齿受力合成,可求得截割头所受载荷的理论值。
由于实际截割头模型较复杂,为便于分析,建立以截割头的回转中心轴为c轴的坐标系,得到如图2所示的截割头受力示意。ω为截割头转速;vs,vt分别为截割头钻进和进给速度。
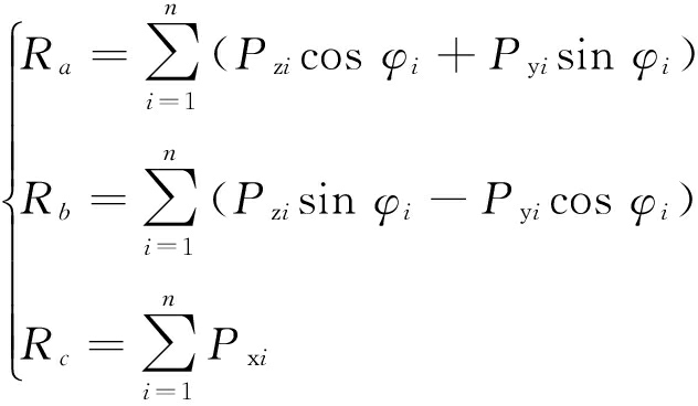
截割头在3个坐标轴方向所受的合力分别为

(2)

图2 截割头受力示意
式中:n为该时刻参与截割的截齿数;φi为第i个截齿的位置角。
从式(1)、式(2)可看出,煤岩特性对截割头的载荷有影响。由于截割头载荷是动态变化的,理论公式无法全面、真实地反映截割头工作过程中截割头的受力情况,所以本文在传统理论分析基础上,提出采用有限元仿真方法对截割过程进行动力学仿真,以获取截割头截割煤岩过程中的动态载荷,并在此基础上对不同煤岩特性下截割头载荷进行研究。
2.1 材料参数的定义
煤岩的单轴抗压强度fc与普氏系数f的关系:
(3)
煤岩的弹性模量Ec与单轴抗压强度fc的关系[8]:
(4)
式中ρ0为煤岩破坏前的密度。
由弹性理论可知,煤岩的剪切模量G与弹性模量Ec满足关系:
(5)
式中υ为材料的泊松比。
由式(3)—式(5)可知,煤岩的剪切模量G与普氏系数f的关系:
(6)
对于截割头的材料参数,综合考虑仿真时间及截割接触的力学行为,分析过程中将截割头整体作为一个刚性体,材料参数选取直接参与截割的合金刀头的参数,材料参数见表2。
2.2 截割头截割有限元建模
截割头的主要参数包括截割头的长度、直径、锥角、螺旋叶片的头数与截齿数量等。掘进机截割头的结构参数见表3,本文根据该组参数建立截割头的有限元模型。煤岩模型采用有限体积的长方体代替,在其不被截割表面添加无反射边界条件,可以模拟无限大体积的煤岩,分析过程中煤岩和截割头均选用SOLID164单元。
表2 材料参数

表3 掘进机截割头的结构参数

采用智能自由网格划分方法对截割头进行网格划分,因煤岩模型形状简单,采用扫掠网格划分方式。划分完网格后,定义截割头和煤岩为2个PART,设定它们之间的接触类型为面与面接触中的侵蚀接触。建立的截割头截割有限元模型如图3所示。

图3 截割头截割有限元模型
2.3 加载、约束及求解
针对截割头截割有限元模型,设定截割头转速为36 r/min,横切速度为1.5 m/min,限制截割头的其他自由度。根据截割头截割煤岩的速度及自身转速,设定求解时间为10 s。选择合理的质量缩放因子,时间步长因子为0.9。输出模型关键字k文件,在k文件中修改煤岩的材料模型,并设定相应的破坏参数MAT_ADD_EROSION为剪应变值0.03。完成所有操作后提交求解。
为了分析不同煤岩特性下掘进机截割头的截割载荷规律,分别取普氏系数f=3-8的煤岩材料进行仿真,以获得不同煤岩特性下截齿和截割头的载荷特性。
为了获取不同煤岩特性下截割头的三向力变化规律,统计普氏系数f=3-8时截割头受到的三向力最大值及平均值,得到不同普氏系数下截割头截割煤岩载荷统计值,见表4。可看出不同普氏系数下截割头受到的截割阻力和牵引阻力的最大值及平均值都比侧向力大很多;随着普氏系数的增加,三向力也呈现增大趋势。根据表4数据绘制截割头三向力最大值及平均值与普氏系数f的关系曲线,如图4、图5所示。
表4 截割头截割煤岩载荷统计值

从图4、图5可看出,截割头三向力最大值的变化规律与理论上单个截齿受力的变化规律一致,但相关性不如单个截齿的变化规律明显;截割头三向力平均值随普氏系数的增大而线性增大。分析可知,随着煤岩坚固性的增强,截割难度增大,截割头的载荷显著增加,但三向力增加的速率不同,当煤岩的普氏系数增大到一定程度时,截割头的牵引阻力将成为截割头的最大载荷,而侧向力一直处于较低的水平。因此,在破碎较硬的岩石时,在保证截齿性能的前提下,应增大截割头的截割功率来保证截割效率。

图4 截割头三向力最大值与普氏系数f的关系

图5 截割头三向力平均值与普氏系数f的关系
采用数值模拟方法对煤岩截割过程中截割头的载荷进行了分析,得出其随煤岩特性的变化规律:截割头载荷随煤岩普氏系数的增加而增大,且当煤岩的普氏系数增大到一定程度时,截割头的牵引阻力将成为截割头的最大载荷,而侧向力一直处于较低的水平。
针对不同的煤岩地质条件,应设定相应的煤岩参数进行截割仿真试验,以精确获取截割头载荷,为不同地质条件下掘进机截割头的选型提供依据。
参考文献:
[1] 李晓豁.掘进机截割的关键技术研究[M].北京:机械工业出版社,2008.
[2] 陈文莉,福井胜则,大久保诚介.关于掘进机械破碎岩片的研究[J].岩石力学与工程学报,2003,22(6):1037-1043.
[3] 宋克志,季立光,袁大军,等.盘形滚刀切割岩碴粒径分布规律研究[J].岩石力学与工程学报,2008,岩石力学与工程学报,2008,27(增刊1):3016-3022.
[4] ÇOPUR H,TUNCDEMIR H,BILGIN N,et al.Specific energy as a criterion for the use of rapid excavation systems in Turkish mines[J].Transactions of the Institution of Mining and Metallurgy,2001,110(9/10):149-157.
[5] SERHAT K.Cutting performance assessment of a medium weight roadheader at Cayirhan coal mine[D].Ankara:Middle East Technical University,2005.
[6] BILGIN N,DINCER T,COPUR H,et al.Some geological and geotechnical factors affecting the performance of a roadheader in an inclined tunnel[J].Tunneling and Underground Space Technology,2004,19(6):629-636.
[7] 钱七虎.岩石力学与岩石工程学科发展报告[R].北京:中国科学技术协会,2010.
[8] 张凤国,李恩征.混凝土撞击损伤模型参数的确定方法[J].弹道学报,2001,13(4):12-16.
LI Yuanyuan1,WANG Haiyan1,ZHU Qingqing1,DONG Li1,ZHONG Peisi2
(1.School of Mechanical and Electrical Engineering,Qingdao Huanghai University,Qingdao 266427, China; 2.School of Mechanical and Electronic Engineering,Shandong University of Science and Technology,Qingdao 266590,China)
Abstract:For influence of coal and rock conditions on roadheader cutting head load,finite element simulation method was proposed to simulate dynamic cutting process of cutting head.Dynamic cutting loads were gotten under different coal and rock conditions by taking firmness coefficient as coal and rock property parameter,and relationship between three-axis force of cutting head and firmness coefficient was derived.The analysis results show that cutting head load increases along with increasing of firmness coefficient,and traction resistance of cutting head is the largest load when firmness coefficient of coal and rock increases to a certain value,while side resistance is always at a low level.
Key words:roadheader; cutting head; coal and rock property; load analysis; firmness coefficient
文章编号:1671-251X(2016)10-0026-04 DOI:10.13272/j.issn.1671-251x.2016.10.006
李媛媛,王海艳,朱青青,等.煤岩特性对掘进机截割头载荷的影响分析[J].工矿自动化,2016,42(10):26-29.
收稿日期:2016-04-21;
修回日期:2016-08-20;责任编辑:李明。
基金项目:山东省自然科学基金资助项目(ZR2015EM042)。
作者简介:李媛媛(1979-),女,山东莱州人,副教授,硕士,主要从事机械设计制造与仿真研究方面的工作,E-mail:liyuanyuan0908@163.com。
中图分类号:TD421
文献标志码:A 网络出版时间:2016-09-30 10:16