公茂法, 周立人, 张超, 吴娜, 于永进
(山东科技大学 电气与自动化工程学院, 山东 青岛 266510)
摘要:针对现有煤矿电网评估方法存在计算效率低、通用性差等问题,提出了一种改进的BFS-最小路评估方法。该方法首先利用广度优先搜索方法对配电网孤岛划分优化模型进行快速求解,然后结合孤岛运行范围,采用最小路法对供电可靠性进行评估。实验结果表明,该方法提高了电网薄弱环节的评估速度,评估结果安全可靠、精准有效。
关键词:煤矿分布式电源; 电网孤岛; 广度优先搜索法; 最小路法; 可靠性评估
网络出版地址:http://www.cnki.net/kcms/detail/32.1627.TP.20151231.1554.008.html
随着煤炭开采机械化、自动化水平的不断提升,煤矿对供电系统的安全可靠性要求越来越高。为避免和减少供电灾害事故,优质高效服务煤炭开采工作,分布式电源(Distributed Generation, DG)供电升级改造成为煤矿追逐的热点。但在改造过程中,配电网出现了新的孤岛运行方式,可靠性评估方法因此变得更为复杂[1],《电业生产事故调查规章》中特别对配电网可靠性评估方法提出了新要求。目前,解析法和蒙特卡罗模拟法为主流的两大可靠性评估方法。参考文献[2]指出蒙特卡罗模拟法从大量的模拟实验结果中统计出了系统的可靠性指标,虽然算法程序结构简单,但一般只用于静态复杂网络评估,而且若要得到较高精度,需花费更多的时间。参考文献[3]采用解析法中的最小路法评估分布式电源供电系统,通过对非最小路元件故障简化折算,只需分析最小路上元件故障对相应负荷点的影响,对电网的薄弱环节评估非常有效,但是文中对于孤岛划分没有给出具体求解办法。参考文献[4]介绍了一种基于广度优先搜索(Breadth First Search,BFS)的拓扑分析方法,该方法网络拓扑分析快速、简便、通用性强,适用于孤岛范围的动态划分。本文在此基础上,提出了一种改进的BFS-最小路评估方法,在传统最小路法基础上,利用BFS法不仅能快速求解孤岛范围,而且提高了最小路集求取速度,减少了评估耗时,提高了评估效能。
模拟的6 kV等级的井下分布式供电系统如图1所示[5],LP1—LP4为用电负荷,DG1和DG2为容量不同的分布式电源。如果去掉DG1和DG2,这就是1条传统的放射型配电线路,线路负荷供电全部依靠从变电站引出的6 kV电压等级母线,若线路1段发生故障,那么所有的负荷都会失去电力供应,造成供电事故。

图1 模拟的6 kV等级的井下分布式供电系统
DG1和DG2并网可以避免上述事故。如图1所示,线路3段发生事故,整个系统被分为3个部分,6 kV母线和电源DG1向区域1中负荷LP1、LP2供电;区域2因故障被隔离,LP3停止用电;区域3中的负荷LP4仅由电源DG2供电,失去和大电网联系,形成孤岛。
孤岛的形成和运行,解决了传统配电方式因前端故障导致后端崩溃的问题。但是,孤岛也存在隐患,由于分布式电源容量限制,与大电网失联可能会造成电能质量下降,负荷之间电压分配不均衡,易发生安全事故,因此,在对配电网供电可靠性评估时必须考虑孤岛运行方式。
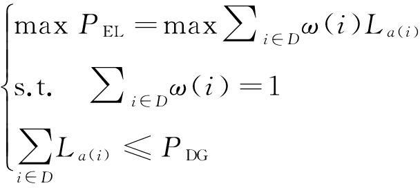
当系统发生故障时,分布式电源向脱离大电网的孤岛上的设备供电,电源容量成为判别负荷是否能正常运行的一个重要指标。设计采用画功率圆方法对孤岛正常运行范围进行评估[6],功率圆半径为分布式电源的容量,原则上是从电源放射出去的任意一条线路的等值电力负荷PEL不超过功率圆半径,即可认为是孤岛正常运行范围,计算公式如下:

(1)
式中:i为负荷点的标号;D为孤岛的负荷所组成的区域;ω(i)为i点的负荷权重系数;La(i)为i点的负荷大小;PDG为分布式电源的等值额定容量。
某厂矿组态简化配电图如图2所示。现以图2为例描述用功率圆模型划分孤岛范围的方法。为描述方便,假设只有1个容量为0.6 MW的分布式电源位于负荷点S1上,所有负荷的权重系数ω设为1,以S1为圆心画功率圆。可以看出,“S1→S2→S3→S4”和“S1→S5”这2条线路节点的负荷容量和均小于0.6 MW,在功率圆范围之内,即途中虚线所包围的A区域为孤岛的正常运行范围。

图2 某厂矿组态简化配电图
配电网改进的BFS-最小路评估方法大致分为3个步骤:① 将煤矿实际配电图化为简图后,用BFS方法遍历负荷节点形成访问队列;② 根据遍历结果,借助功率圆模型划分孤岛范围,写出网络关联矩阵并计算所有路集;③ 根据给出的可靠性指标,用最小路法进行可靠性评估。
3.1 常用的可靠性评估指标
常用的可靠性评估指标如下[7]:
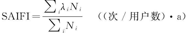
系统平均停电频率指标SAIFI:
(2)
系统平均停电持续时间指标 SAIDI:
(3)
系统平均供电可用率指标 ASAI:
(4)
系统电量不足指标 ENSI:
(5)
用户平均停电频率指标 CAIFI:
((次/停电用户数)·a)
(6)
用户平均停电持续时间指标CAIDI:
(h/停电用户数)·a)
(7)
式中:Ni,λi分别为负荷节点i的总用户数量和故障率;Ui为节点i的等值年平均停电时间,h;Lb(i)为停电节点的平均负荷,kW;EFF为包括所有停电节点的集合;Nj为停电节点j的总用户数。
3.2 BFS方法程序设计
BFS方法首先要解决顶点的搜索问题,即将所有具有电气联系的节点依照连通关系归总到一个系统图中,如将分段母线的几个母线段当做一个节点计算等[8]。图化简完毕之后,从某一个顶点进行遍历,将顶点放入已访问列表,横向搜索所有还没有访问过的节点,标记已访问节点并放入已访问队列之中,按照此方法继续搜索直到没有剩余可访问节点[9],最后写出网络关联矩阵,计算所有路集,提高最小路集求取速度。BFS方法的优点是从近到远,逐层有序,不重复访问节点,节省了时间,提高了效率。
本文采用BFS方法快速求解孤岛功率圆范围,将分布式电源所在的负荷点设为顶点,先访问与顶点相连的支路,然后逐层访问剩余支路,直至路径上的负荷点的等值负荷大小满足式(1)条件后停止搜索,最后得到孤岛运行范围,BFS方法程序流程如图3所示。

图3 BFS程序流程
对图2用BFS方法遍历各个负荷节点,假设孤岛形成,S1为分布式电源所在位置,设S1为起始访问顶点,访问顺序:S1→S2→S5→S7→S3→S6→S8→S4。
3.3 最小路法程序设计
最小路法是建立在BFS方法上的改进方法。如图1所示,假设线路2段发生故障,用BFS方法遍历各个负荷点,求取所有路集,以分布式电源DG2为顶点并借助功率圆模型求出区域2和区域3为孤岛范围。线路1、2、3段加上C负荷分支线是对应于负荷LP3的最小路,以这条最小路为例说明最小路上设备故障对负荷LP3故障率和停运时间影响的评估方法。
(1) 线路3段和C负荷分支线上设备在孤岛运行的范围内,若它们发生故障,会使负荷LP3停运。
(2) 线路2段在最小路上,但是不在孤岛之内,若2段上设备故障,在评估时负荷LP3的停运计算时间是max{t1,t2},t1为主馈线上GW2隔离开关动作时间,t2为孤岛运行断路器QF3所需倒闸时间。
对于非最小路来说,需要根据实际情况,按照非最小路上的煤矿电力设备故障时对负荷节点的影响折算到最小路上的负荷节点上[10],这里以非最小路上元件故障对负荷点LP3故障率和停运时间的影响为例进行说明。
(1) 负荷分支线A装有熔断器,若此线路发生故障,熔断器作用,不影响最小路,所以不计算在评估结果中。
(2) 负荷LP3没有分支线保护,线路4段在孤岛范围内,其设备故障时,负荷LP3的停运时间等于GW3动作时间,并且检修时对LP3没有影响。
(3) 负荷分支线B没有熔断器,在孤岛范围之外,当它发生故障时,隔离开关GW2动作和孤岛运行断路器QF3倒闸时间最大值就是LP3停运时间。
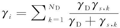
按照式(8)—式(10)计算分布式电源和主馈线二重故障时负荷节点的故障率λi以及节点i的等值年平均停电时间Ui[11]。
(8)
(9)
(10)
式中:λD为DG故障率;γD为DG平均故障停运时间;λs,k为第k段线路故障概率;γs,k为第k段线路停电平均时间;ND为分布式电源和负荷节点前的主馈线段数。
改进最小路方法考虑到每台设备故障对负荷节点的影响情况,有助于提高电网薄弱环节评估可靠性。改进的最小路法程序流程如图4所示。

图4 最小路法程序流程
图5为以IEEE-RBTS Bus6系统主馈线F4为基础模拟的1条1.1 kV等级煤矿地面配电系统[12],DG1、DG2为分布式电源,L1—L23为负荷节点,这23条负荷分支都装有熔断器和变压器。图中负荷数据明细见表1。
实验假设:各段的断路器100%可靠动作;隔离开关动作时间为0.5 h;熔断器故障时必熔断,且动作时间为0;一、二、三类负荷权重系数ω分别为0.5,0.3,0.2;馈线线路λs,k=0.05,γs,k=4;分布式

图5 煤矿地面配电系统实例
表1 负荷数据明细

电源λD=5,γD=50。
提出2种配电方案。方案1:不考虑分布式电源DG1、DG2影响;方案2:考虑分布式电源影响,DG1、DG2输出功率均为1 MW。运用BFS-最小路法并结合式(1)—式(10),在Visual C++ 6.0编译环境下对配电系统可靠性进行评估,评估结果见表2。
表2 评估结果

从表2可以看出,方案2的系统平均停电频率指标SAIFI虽然比方案1略高,但是其他指标的数据均要优于方案1,尤其是SAIDI、CAIDI和ENSI指标均有大幅度的下降,这说明在煤矿传统配电系统中建设分布式电源大大提高了配电系统的可靠性,孤岛运行的优势也体现出来了。
改进的BFS-最小路评估方法适用于煤矿配电网设计与故障整修方案的评估,故障时利用BFS方法能迅速求出孤岛运行范围和所有路集,发挥出最小路法对电网薄弱环节的评估效能。实验结果表明,该方法可快速模拟电网故障,准确得出配电系统可靠性指标,有效解决了传统评估方法对系统薄弱环节计算效率低、故障时不能及时反应的难题,对煤矿故障源头防控和减少供电灾害事故、提高故障快速反应能力有着较高的参考价值。
参考文献:
[1] 田书,刘颖,梅小丽.分布式电源并网对配电网电流保护影响的研究[J].工矿自动化,2011,37(10):39-43.
[2] 刘恩德.蒙特卡罗模拟在配电系统可靠性研究中的应用[J].电网技术,2002,6(3):53-55.
[3] 伍婷婷,刘涤尘,王波,等.带分布式电源配电网的最小路可靠性分析方法[J].南方电网技术,2012,6(1):46-50.
[4] 万华,李乃湖,陈琦,等.基于广度优先的快速拓扑分析法[J].电力系统及其自动化学报,1995,7(2):17-23.
[5] 杨飞虎,史友仁.基于分布式计算的电网运行可靠性评估算法研究[J].工矿自动化,2014,40(8):22-25.
[6] 刘传铨.计及分布式电源的配电网供电可靠性评估[D].上海:上海交通大学,2008:18-53.
[7] 郭慧敏.应用最小路-广度优先搜索的配电系统可靠性评估[D].西安:西安理工大学,2007:10-26.
[8] 许先锋,龚乐年,陈星莺.基于广度优先搜索和优化算法的输电网故障诊断[J].电力系统及其自动化学报,2004,16(5):5-8.
[9] NAGATA T,SASAKI H.A multi-agent approach to power system restoration[J].IEEE Transaction on Power Systems,2002,17(2):457-462.
[10] 沈宏,付广春.改进最小路法在配电系统可靠性评估中的应用[J].中国电力,2010,43(10):20-22.
[11] 施伟国,宋平,刘传铨.计及分布式电源的配电网供电可靠性研究[J].黑龙江电力,2012,34(1):1-8.
[12] 肖杨明.安吉县10 kV配电网的供电可靠性评估与研究[D].北京:华北电力大学,2012:15-37.
公茂法,周立人,张超,等.煤矿分布式电源供电可靠性评估方法研究[J].工矿自动化,2016,42(1):23-27.
GONG Maofa, ZHOU Liren, ZHANG Chao, WU Na, YU Yongjin
(College of Electrical Engineering and Automation, Shandong University of
Science and Technology, Qingdao 266510, China)
Abstract:In view of problem of low computation efficiency and poor generality of existing evaluation method of coal mine power grid, an improved BFS-the minimal path evaluation method was proposed. The method uses the breadth-first search method to quickly solve division optimization model of distribution network island, and then adopts the minimal path evaluation method to evaluate reliability of power supply according to the operation scope of island. The experimental results show that the method improves evaluation speed of weak links of power grid, and evaluation results are safe, reliable, accurate and effective.
Key words:coal mine distributed generation; grid island; breadth-first search method; the minimal path evaluation method; reliability evaluation
中图分类号:TD611
文献标志码:A 网络出版时间:2015-12-31 15:54
文章编号:1671-251X(2016)01-0023-05 DOI:10.13272/j.issn.1671-251x.2016.01.008